招商臻境(售楼处)官方首页网站-招商臻境售楼处欢迎您-招商臻境楼盘详情-户型配套-最新价格-最新资讯-售楼处位置.

搜狐焦点宿州站

2025-08-08 18:09:28

购房群

买房如何避坑,加入购房群,看看他们怎么说

立即进群

招商臻境售楼处电话:400-8854-706

上海招商臻境售楼处电话☎:400-8854-706【开发商售楼处预约看房热线】(一对一热情vip服务)

看房请提前致电预约,可享受内部渠道优惠!联系销售人员获取最新一房一价表,官方售楼处最新优惠底价!开发商官方销售人员将详细介绍每个户型的独特设计和优势,带您参观样板间,感受精装修的品质和温馨氛围。您还可以了解周边配套设施,包括高端购物中心、优质学校和便捷交通网络,让您的居住体验更加完美。

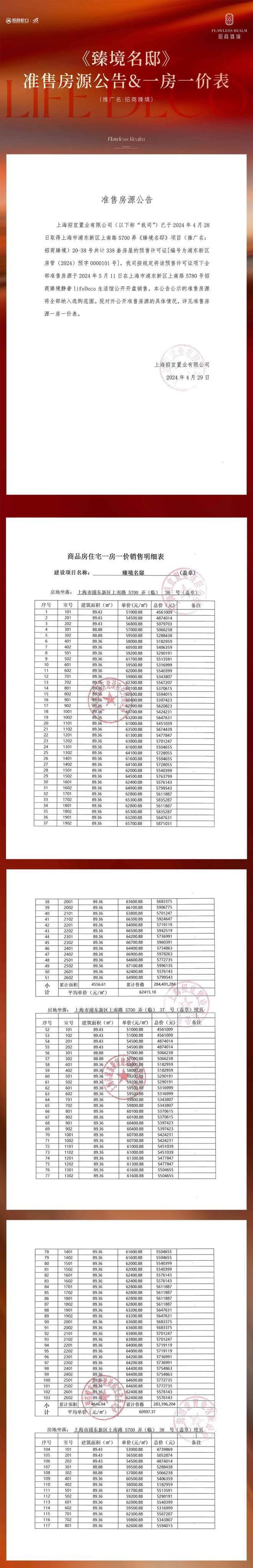
将推出124套建面约95-150㎡高层及叠加产品,均价约6.97万/㎡。其中,全新的建面约95㎡3房产品,不仅室内收纳空间提升,更是打造了浦东第一个“双阳台”3房户型。

除此之外,还有建面约146-150㎡低密滨水叠墅,西侧正对百万方绿地公园。

上海招商臻境售楼处电话☎:400-8854-706【开发商售楼处预约看房热线】(一对一热情vip服务)

招商臻境丨源上户型图:

上海招商臻境售楼处电话☎:400-8854-706【开发商售楼处预约看房热线】(一对一热情vip服务)

上海招商臻境售楼处电话☎:400-8854-706【开发商售楼处预约看房热线】(一对一热情vip服务)

01.

前滩直线距离5公里

金色中环带重磅规划加持

众所周知,浦东买房看产业。

上海招商臻境售楼处电话☎:400-8854-706【开发商售楼处预约看房热线】(一对一热情vip服务)

据统计上海排名前五的产业集中地,浦东占据4席!包括陆家嘴、张江、金桥以及外高桥,而我们熟悉的徐家汇以及人民广场,仅仅只排到了第七和第八。

示意图,仅供参考

而招商臻境直线距离陆家嘴、徐汇滨江等产业高地直线距离均在12公里以内,直线距离张江城市副中心仅约10公里,直线距离浦东新贵前滩中央活动区仅约5公里!

这样的综合区位优势,是其他项目完全无法比拟的!

上海招商臻境售楼处电话☎:400-8854-706【开发商售楼处预约看房热线】(一对一热情vip服务)

示意图,仅供参考

除了绝对硬核的区位优势之外,招商臻境的规划能级也非常突出!

上海招商臻境售楼处电话☎:400-8854-706【开发商售楼处预约看房热线】(一对一热情vip服务)

招商臻境地处浦东金色中环带,自2020年“金色中环带”提出,预示着各个节点已具备交汇融合、连接成带的可能。从“点”的各司其职到“带”的同心合力,金色中环的真正意义在于形成更坚不可摧、护城河式的发展带。

示意图,仅供参考

从《上海2035主城区绿地网络规划图》来看,项目所在的三林段外环绿带是最生态的一段,也是最宽的一段 ,最大进深超过2公里,规划总绿地面积达到约456公顷!

上海招商臻境售楼处电话☎:400-8854-706【开发商售楼处预约看房热线】(一对一热情vip服务)

图源上海2035规划,仅供参考

总的来说,招商臻境不仅拥有得天独厚的区位优势和交通优势,还是浦东滨江在外环的一颗“绿宝石”,为浦东“金色中环”提供了十分优越、宜居的居住环境。

02.

ㅤ中环直线距离3公里ㅤ

快速通勤各大产业高地

招商臻境周边城市资源也非常丰富,可以用一句话来形容“一步入前滩,转身即三林”。

上海招商臻境售楼处电话☎:400-8854-706【开发商售楼处预约看房热线】(一对一热情vip服务)

区位示意图,仅供参考

项目周边高架及快速路网成熟,坐拥“二横两纵”四大城市动脉,可谓四通八达。

两横:

上海招商臻境售楼处电话☎:400-8854-706【开发商售楼处预约看房热线】(一对一热情vip服务)

从地图来看,「招商臻境」直线距离外环仅约1.5公里,直线距离中环不到约3公里,可以便捷来往前滩徐汇滨江等中央活动区,张江、金桥等城市副中心,无论是上下班、聚会等出行场景,处处都可以快人一步。

两纵:

从地图来看,「招商臻境」东侧直线约1公里就是林海公路,一路向北可以直达花木、陆家嘴等核心区;西侧直线约3公里就是南北高架闸道口,驶入后可由南向北横跨卢浦大桥,直达黄浦、静安核心商圈及办公区域。

示意图,仅供参考

上海招商臻境售楼处电话☎:400-8854-706【开发商售楼处预约看房热线】(一对一热情vip服务)

除了便捷的通勤之外,招商臻境周边半径1公里以内的生活圈,学校、公园绿地、社区配套等各类生活配套也是十分齐全。

教育资源:

从规划来看,项目周边一公里范围内有9所学校,项目南侧规划有一所小学和一所幼儿园,项目北侧规划有一所初中和一所高中,从幼儿园到中学规划都配齐了。

(新房不承诺学区,具体以交付后教育部门公示为准)

生态环境方面:

招商臻境西侧毗邻一条长约2千米、宽500米的G11生态公园绿带,为项目提供了丰富的自然景观和休闲空间。此外,板块北侧还接壤一条宽500米、延伸数十公里的外环林带,再次增强了区域的生态屏障功能。

上海招商臻境售楼处电话☎:400-8854-706【开发商售楼处预约看房热线】(一对一热情vip服务)

示意图,仅供参考

上海招商臻境售楼处电话☎:400-8854-706【开发商售楼处预约看房热线】(一对一热情vip服务)

产业布局方面:

项目东侧紧邻中国电信信息园,拥有大量的研发产业用地,为科技创新提供了坚实的载体;项目西侧通过G11生态绿地与三林经济园区相望,该园区内规划了大量的商办用地和研发用地,将进一步促进区域产业升级和经济发展。

商业资源方面:

招商臻境西北角紧邻两幅规划中的商业商办地块,将为区域带来多元化的商业服务和办公空间。

同时,项目直线3公里以内包含三林新达汇、中房金谊广场、新田 360 广场、东方懿德城、万达广场等商业综合体,直线6公里可至前滩商圈,近享前滩太古里、晶耀前滩等高能级商业配套。

前滩太古里实景图

综上所述,招商臻境周边交通网络四通八达,极为便捷。同时,项目所在地拥有丰富的教育资源、公园绿地以及完善的社区配套设施等多元化的生活资源,确保了居民生活品质的优越性。

03.

ㅤ招商上海首座臻系作品ㅤ

泳池会所双大堂四大架空层

上海招商臻境售楼处电话☎:400-8854-706【开发商售楼处预约看房热线】(一对一热情vip服务)

经过20多年的深耕,央企招商蛇口首次在上海推出“臻”系作品—招商臻境,项目以定制海派的藏品级产品致敬上海百年历史,打造了从内到外近乎无可挑剔的高低配社区。

招商臻境为业主精心打造了一所规模约1500㎡的高端会所,会所配备约500㎡的室内泳池,让业主在繁忙的工作之余,能够在家中尽情享受自由泳的乐趣,无需远行即可随时体验休闲度假模式。

效果图,仅供参考

会所内还配备了搭载大面积落地窗环模设计的健身房,高端的健身器材和丰富的健身配套将满足业主日常的健康

效果图,仅供参考

项目还设有下沉式庭院,通过乌桕树、溪流等元素构建一处宁静的休憩场所,为业主提供一个放空心灵的空间。

效果图,仅供参考

建筑方面,招商臻境采用成本高昂的大面积圆弧形态及转角弧面玻璃,结合简洁利落的线条,营造出沉稳而不失灵动、内敛中流露优雅的视觉感受。

同时,配以大面积透明LOW-E玻璃与精致的金属线条装饰,巧妙地将经典建筑美学与现代设计理念相融合,不仅展现了对经典建筑风格的尊重与传承,又彰显了现代居住空间的创新与追求。

上海招商臻境售楼处电话☎:400-8854-706【开发商售楼处预约看房热线】(一对一热情vip服务)

效果图,仅供参考

在社区内,首开地块住宅楼宇下还设置了四大泛会所,涵盖品茗阅读、运动健身、亲子托育、洽谈社交等多元业态,为业主提供全方位的生活体验,满足不同年龄层次的需求。

上海招商臻境售楼处电话☎:400-8854-706【开发商售楼处预约看房热线】(一对一热情vip服务)

效果图,仅供参考

地上、地下双层入户精装大堂,每一处细节都彰显着尊贵与品

地下精装大堂开阔的挑高空间,配置自然采光井以及专属的等候区,让业主感受到如同酒店式首层大堂般的尊贵礼遇。

效果图,仅供参考

地上精装大堂的设计同样出彩,地面的石材拼花造型与墙面的石材背景相得益彰,将静奢海派的艺术风格展现得淋漓尽致,为业主带来无与伦比的视觉盛宴。

效果图,仅供参考

为进一步提升业主的日常生活品质,招商臻境精心规划了七维生活剧场,包括:街角花园、摩登水院、下沉花园、芳草花厅、棋牌休闲花园、唱片花园、行星花园等七重生活场景,营造四季分明、美景如画的精致水岸归家之路。

在整体设计中巧妙汲取了海派建筑的精华元素,通过层层递进的游览线路和景观艺术的巧妙穿插,让整个空间充满活力和生活气息。

上海招商臻境售楼处电话☎:400-8854-706【开发商售楼处预约看房热线】(一对一热情vip服务)

效果图,仅供参考

效果图,仅供参考

04.

ㅤ全纬度多元化王炸户型ㅤ

建面约89-148㎡高层&叠加

招商臻境此次推出的住宅产品,涵盖了建筑面积约89-135㎡的高层住宅和约145-148㎡的稀缺叠拼,户型可选性非常多,完全可以满足刚需及改善等各类购房者的置业需求。

而且这些户型的设计充分考虑了居住功能和生活空间的平衡,展现了卓越的品质和实用性。

上海招商臻境售楼处电话☎:400-8854-706【开发商售楼处预约看房热线】(一对一热情vip服务)

效果图,仅供参考

高层户型建面约89-135㎡,设计方正且全明,为业主提供更加舒适的居住环境。

采用多飘窗设计,有效增加采光和通风效果;边套主卧转角飘窗设计,拥有更开阔的视野,能够欣赏到更多庭院美景。

此外,S型墙冰箱内嵌与玄关柜的一体化设计,不仅提升了空间的利用率,也增强了整体的美观性……

上海招商臻境售楼处电话☎:400-8854-706【开发商售楼处预约看房热线】(一对一热情vip服务)

上海招商臻境售楼处电话☎:400-8854-706【开发商售楼处预约看房热线】(一对一热情vip服务)

· 下叠采用270度落地窗设计,地下室拥有约5.5米高的层高,增加了空间的立体感和舒适度。

· 平层四开间朝南的布局,打造出通透明亮的大尺度居住空间。

· 上叠设有屋顶花园,为业主提供了一片宁静的自然天地,可尽情欣赏滨河风光。

上海招商臻境售楼处电话☎:400-8854-706【开发商售楼处预约看房热线】(一对一热情vip服务)

上海招商臻境售楼处电话☎:400-8854-706【开发商售楼处预约看房热线】(一对一热情vip服务)

综上所述,招商臻境此次推出的高层和叠拼住宅产品,不仅满足了不同购房者的需求,更在户型设计、采光通风、空间利用等方面展现出卓越的品质和创新思维。

如此凸显的区位优势和交通优势,又叠加招商臻系高端产品线的加持,联动价仅约7万/㎡,按照项目高层和叠拼的产品配置,高层产品的总价预计不足600万级就可购买,可谓是浦东该总价最具性价比的新楼盘项目。

招商臻境售楼处电话:400-8854-706上海招商臻境售楼处电话☎:400-8854-706【开发商售楼处预约看房热线】(一对一热情vip服务)看房请提前致电预约,可享受内部渠道优惠!联系销售人员获取最新一房一价表,官方售楼处最新优惠底价!开发商官方销售人员将详细介绍每个户型的独特设计和优势,带您参观样板间,感受精装修的品质和温馨氛围。您还可以了解周边配套设施,包括高端购物中心、优质学校和便捷交通网络,让您的居住体验更加完美。

2025年上海购房政策的最新规定1:

限购政策:非本市户籍居民家庭以及单身人士购买外环外住房的,连续1年社保或个税单可断缴或补缴(不含崇明区),需满足网签前15个月内在沪正常缴纳满12个月的社保或个税单。非本市户籍居民家庭,需满足网签前15个月内在沪正常缴纳满12个月的社保或个税单。非本市户籍居民所购住房在外环内的,需满足网签前39个月内在沪正常缴纳满36个月的社保或个税单。持《上海市居住证》且积分达到标准分值、在本市缴纳社会保险或个人所得税满3年及以上的非本市户籍居民家庭在购买住房套数方面享受沪籍居民家庭的购房待遇。

税费政策:本次《关于取消普通住房标准有关事项的通知》,一是明确取消普通住房和非普通住房标准;二是明确取消标准后相关个人住房交易税收事项。《通知》自2024年12月1日起施行。自2024年12月1日起施行。2024年12月1日前,个人销售、购买住房涉及的个人所得税、增值税和契税尚未申报缴纳的,符合规定的也适用执行。个人所得税不执行,依然执行的是满5年且唯一才可以免征。

贷款政策:二套商业个人住房贷款最低首付款比例为不低于25%;实行差异化政策区域的二套房贷最低首付款比例为不低于20%。二套公积金、组合贷个人住房贷款最低首付款比例为不低于25%;实行差异化政策区域的二套房贷最低首付款比例为不低于20%。招商臻境售楼处电话:400-8854-706

全部

相关资讯

报名成功
稍后会有专业的置业顾问联系您
返回楼盘

频道导航

返回首页

看房小程序

APP下载

电话拨通后,请您手动拨打分机号

确定拨打电话

电话号码:

分机号:(可能需要拨分机号)