溢泽华庭二期售楼处电话→溢泽华庭二期售楼中心电话→2025上海溢泽华庭二期楼盘百科→首页网站→楼盘百科→首页网站→售楼处24小时热线电话→售楼处欢迎您

搜狐焦点宿州站

2025-08-23 14:58:17

购房群

买房如何避坑,加入购房群,看看他们怎么说

立即进群

浦东周浦

「溢泽华庭」今日认购

185套建面约55-130㎡1-3房

均价5.6万/㎡

溢泽华庭二期售楼处电话:400-8894-638

看房请务必提前致电销售确认时间,只有预约客户才能享受开发商提供的内部优惠以及专属的老客户推荐奖励!我们提供专业的一对一热情服务,助您以专业视角挑选理想的房产。

1地段

交通方面,溢泽华庭距离18号线周浦站直线距离约1.3公里,可选择步行、共享单车或公交车接驳。

商业方面,周边有万达广场、上海绿地缤纷广场(周浦店)、永乐广场、海印又一城等商业,还有康桥的开市客已试运营,从项目出发自驾都很方便。

溢泽华庭二期售楼处电话:400-8894-638

教育方面,溢泽华庭一期目前对口周浦小学文康路校区、上海市傅雷中学。

医疗方面,板块内有周浦医院,可完全满足平时基本的就医需求。

溢泽华庭二期售楼处电话:400-8894-638

2产品

上海第七批次过会新房名单中,溢泽华庭这个陌生的项目,一下子就吸引了不少购房者的注意。项目主推建面约55-131㎡房源,共185套房源,约56000元/㎡,入围比1.8。该项目位于宝燕商城的南侧,紧紧挨着溢泽华庭一期。

据了解,项目由6栋16-20F的高层住宅组成,为原拆原建的回迁安置房小区,动迁户已经完成了签约。此次名单中的185套房源,便是完成签约后的剩余房源。整个小区已经处于一个准现房的状态,预计年底可以交房。

溢泽华庭二期售楼处电话:400-8894-638

看房请务必提前致电销售确认时间,只有预约客户才能享受开发商提供的内部优惠以及专属的老客户推荐奖励!我们提供专业的一对一热情服务,助您以专业视角挑选理想的房产。

全套户型图如下:(共15个户型)

溢泽华庭二期售楼处电话:400-8894-638

溢泽华庭二期售楼处电话:400-8894-638

溢泽华庭二期售楼处电话:400-8894-638

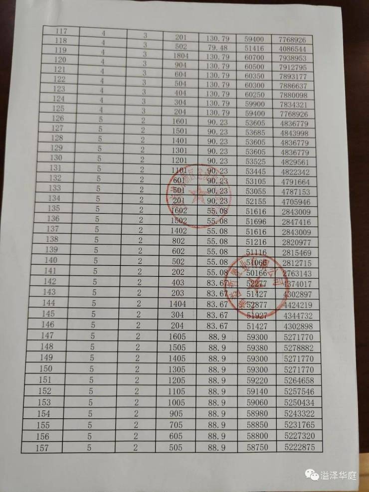
一房一价表

溢泽华庭二期售楼处电话:400-8894-638

溢泽华庭二期售楼处电话:400-8894-638

看房请务必提前致电销售确认时间,只有预约客户才能享受开发商提供的内部优惠以及专属的老客户推荐奖励!我们提供专业的一对一热情服务,助您以专业视角挑选理想的房产。

全部

相关资讯

报名成功
稍后会有专业的置业顾问联系您
返回楼盘

频道导航

返回首页

看房小程序

APP下载

电话拨通后,请您手动拨打分机号

确定拨打电话

电话号码:

分机号:(可能需要拨分机号)