
看房需提前来电预约登记请务必致电与销售确认时间,中国铁建西派云间售楼处预约电话☎:400-8266-670✅✅预约客户可优先进入销售现场,避免空跑,感谢您的支持!中国铁建西派云间售楼处预约电话☎:400-8266-670✅✅
简单介绍一下中国铁建的西派系产品:
“西派系”是大型央企中国铁建地产TOP1的产品系,中国铁建西派云间售楼处预约电话☎:400-8266-670✅✅连续6年蝉联 “中国房地产产品品牌价值TOP10”。
西派系首入上海的作品:西派海上,一经面世就霸榜豪宅遍地的浦东内中环,成交套数遥遥领先!
这是西派系产品力最好的证明!
如今,这个代表着中国铁建最高产品力的“西派系”,中国铁建西派云间售楼处预约电话☎:400-8266-670✅✅落子外环外的松江新城。这不仅是对区域价值的前瞻性认可,更是央企的十足诚意与打造标杆的匠心。中国铁建西派云间售楼处预约电话☎:400-8266-670✅✅
目前上海整个外环最高规格的壹号作品
「中国铁建·西派云间」认购!
中国铁建西派云间售楼处预约电话☎:400-8266-670✅✅
推出建面约125㎡-188㎡小高层
&建面约155-160㎡4层叠墅
均价5.4万/m²!认购金20万!
认购时间:9月27日-10月1日
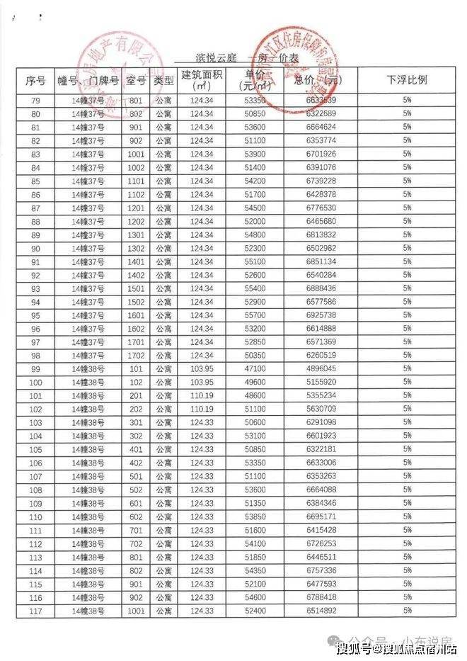
往下阅读项目一房一价表!
中国铁建西派云间售楼处预约电话☎:400-8266-670✅✅
项目所在的地块,由中铁建在上海第四轮土拍中,以247082万元竞得,成交楼板价25288元/平,地块装标不低于2500元/平。
地块拟建叠加、小高层、高层产品。
其中1#、2#、3#、4#、6#、7#、8#幢为4层的叠加别墅;
11#幢为11层小高层和17层高层、9#幢为13层小高层;
其余楼栋均为17层高层。
中国铁建西派云间售楼处预约电话☎:400-8266-670✅✅
社区内部有中央景观、中国铁建西派云间售楼处预约电话☎:400-8266-670✅✅下沉式庭院,部分楼栋首层架空设计。
最后,大家有没有想过,中国铁建西派云间售楼处预约电话☎:400-8266-670✅✅为什么中国铁建要把西派云间这样具有颠覆性产品力的作品,放到松江新城的中山生态商务区?中国铁建西派云间售楼处预约电话☎:400-8266-670✅✅
第一,G60正在成为上海的产业支柱,数以万计的高薪人才需要终极改善产品!
中国铁建西派云间售楼处预约电话☎:400-8266-670✅✅
G60科创走廊正以“上海速度”崛起为世界级的产业高地。
来看一些数据:
如果说张江代表着上海前30年的支柱性产业区,那未来30年甚至更久,上海乃至整个长三角的产业重点,就是G60。
这片区域集中了数以万计的高端人才。
他们需要承载这份成就与身份的居所,但目前不管是松江新城,还是整个外环外,没有能匹配他们的住宅。
所以,西派云间来了,落子松江新城最核心处的中山生态商务区!
第二,核心的核心,中山生态商务区时隔3年的纯宅地!
如果说G60是长三角一体化发展的核心引擎。
那么,松江新城便是这条黄金走廊上最为璀璨的明珠,是上海西南板块毋庸置疑的战略核心与资源承载地。
在这里,政策、产业、资本与高端人才正以前所未有的速度汇聚。这不是遥远的规划,而是正在发生的现实。
选择这里,意味着选择了上海未来的增长极。
而西派云间所在的位置,正是松江新城规划中真正意义上的“核中核”——中山生态商务区。
这并非一个简单的区位名称,而是整个新城能级的集中体现:
定位上:这片区域被上海市政府赋予了松江新城的三大示范样板区之一
这本身就意味着它在市级层面被视为松江新城未来发展的核心驱动力和形象展示窗口。
开发模式上:这里是上海首个明确提出并大规模建设的“生态商务区”,规划了约172万方的商业商办总量。中国铁建西派云间售楼处预约电话☎:400-8266-670✅✅
这个体量堪比前滩。
旨在打造一个高端产业集聚、生态环境优美、低碳智慧宜居的未来城市样板。
落地速度和配套能级上:从五龙湖、万达、五龙商业广场到一梯队上外云间学校,中山生态商务区内的配套永远是整个松江最高规格的。
中国铁建·西派云间距离松江万达仅约850米,中国铁建西派云间售楼处预约电话☎:400-8266-670✅✅旁边还有五龙商业广场、三迪曼哈顿、富悦财富中心、凯悦酒店、中展马利来等众多商业资源。中国铁建西派云间售楼处预约电话☎:400-8266-670✅✅
目前已有的商业规模就已达约60万方中国铁建西派云间售楼处预约电话☎:400-8266-670✅✅,亲子、购物、聚餐、看电影...日常需求统统能在步行范围内得到满足,这个成熟度真的堪比市区。中国铁建西派云间售楼处预约电话☎:400-8266-670✅✅
实景实拍
教育上,项目约100米外一路之隔就是12年一贯制的上外云间学校。
软实力上,这所学校当初的建设总投资约8亿元,中国铁建西派云间售楼处预约电话☎:400-8266-670✅✅是松江迄今为止投资总量更大、设计标准更高、设施配套更全的学校。
硬实力上,上外系的学校在松江几乎都是梯队内的标杆学校,中国铁建西派云间售楼处预约电话☎:400-8266-670✅✅实力之强有目共睹。
除此之外,南侧不远处还有赫贤双语学校(原赫德双语学校),补充了国际教育需求。
(预售房屋不划分学区,项目周边学校等教育资源的介绍仅为提供相关信息参考,开发商不对项目交房后所属学区、学校做任何承诺,教育资源分配或学校/学区划分以及学校的具体招生规则等请以政府相关主管部门、教育机构公开的最新信息为准。)
生态上:项目步行范围内就有一座五龙湖公园,约16公顷的广阔面积,与约5.9公里的绿道长度相得益彰。
湖畔风光旖旎,很适合早上晨练,晚饭后散步,居住环境优美。
最后,来重点聊一下交通:从项目出发,经T2电车直达9号线松江大学城站。
上车后,业主6站七宝、9站漕河泾,并且能轻松畅达徐家汇、打浦桥等浦西区域。
除此之外,1站就能换乘即将通车的12号线西延伸段,即可畅达莘庄、徐汇滨江、南京西路。
除了轨交外,最值得一提的是项目的自驾:距离项目直线约900米的沪松快速路,预计2028年通车。
这条快速路链接着通往市区的外环、中环以及漕宝路快速路;通往虹桥以及闵行南部的嘉闵高架;还有直插浦西腹地的烫金大动脉延安高架。
未来,沪松快速路+漕宝路快速路+中环/外环去往前滩、世博;
沪松快速路+外环+延安高架去静安寺、南京西路等浦西核心;
沪松快速路+嘉闵高架直通虹桥机场。
也就是说,只需零星几个红绿灯,西派云间的业主就可以一脚油门直达浦西、浦东等大多数的核心CBD。
中国铁建将TOP级“西派系”落子于此,正是一次极具前瞻性的战略抉择。
整个松江新城,乃至整个上海外环,都有一个问题:以刚需的小户型为主。
这意味着三点:
第一,建面约120㎡以下的刚需小户型供应庞大,二手市场竞争激烈,很难走出独立行情。
第二,几乎所有外环外的小区,或多或少都有小户型,整个社区的调性、理念、圈层很难达到统一。
中国铁建西派云间售楼处预约电话☎:400-8266-670✅✅
第三,小户型的尺度感、私密性、实用性都很欠缺,就算上车了过几年还需要再置换,无法实现真正的终极改善。中国铁建深谙此理,为此打造了一个建面约125㎡起纯粹的改善型社区。
如此配置的项目,整个松江新城乃至整个外环外,西派云间独一份。
并且,项目的户型真的迭代到了最新款:
尺度感上:这是新政后松江板块首个四开间朝南、且不封阳台的三阳台户型。
光着3个阳台的面积就高达约15㎡,还有5个飘窗,这个套内可实际使用的面积可能堪比曾经约140㎡左右的大户型了。
实用性上:由于3阳台的设计,项目的4间房间尺度感都非常惊人,可以满足多胎家庭和三代同堂的全生命周期需求。
尤其是北次卧,面积约9㎡,几乎对标同类竞品的主卧大小了,结合北向景观飘窗,视觉上增加室内通透度,提升空间利用率。
并且,南次卧独立阳台的隔断墙为非承重墙,可进行灵活改造。如果不想要四房,那可以打通改造成一个约6.8米南向大横厅。

这个尺度感足以容纳一场大型的家庭Party,是遥遥领先于同面积段产品的。
私密性上:项目是一梯一户的设计,预留了独立电梯厅。
这个电梯厅集收纳、私密、仪式感于一体,从业主踏进家门的第一步,就能感受到那份专属的尊崇感和私密性。
除此之外,项目是双玄关收纳,中国铁建西派云间售楼处预约电话☎:400-8266-670✅✅穿过高端定制铸铝装甲门,就是套内玄关,可以满足日常收纳需求,实用性拉满。中国铁建西派云间售楼处预约电话☎:400-8266-670✅✅
西派云间的终极改善户型,南向双阳台+可改造的灵动空间,这个会客厅的尺度高达约34㎡。而一般市区约200㎡的大平层也不过是这个尺度感。
同样一梯一户的设计,只不过大户型的独立电梯厅会更大,中国铁建西派云间售楼处预约电话☎:400-8266-670✅✅并且是阳光电梯厅,采光视野通透,也能容纳更多的生活想象。中国铁建西派云间售楼处预约电话☎:400-8266-670✅✅
除此之外,边套的建面约145㎡拥有约270°无柱景观飘窗,大幅拓展空间与视野,采光通透感拉满。
并且,整个主卧套房设计,还配置了豪华的主卫空间。
餐厅面宽与客厅同宽,可摆放多人位的圆形餐桌,轻松容纳全家人用餐。
这个户型堪比松江新城建面约160㎡以上的超大产品。
三大件方面,大金(或同档次品牌,下同)的中央空调、地暖两联供;兰舍、爱迪士的新风,都是国际一线品牌。
厨房方面,老板、方太的灶蒸烤一体机、洗碗机;怡口、滨特尔的末端净水器;西顿、雷士的线型凉霸;摩恩、欧琳的垃圾处理器,你能想到的厨房细节,西派云间一应俱全。
卫浴就更是大牌云集了,唯宝的淋浴花洒、台面龙头;高仪的台盆、主卫智能马桶,都是豪宅的标配。
中国铁建以远超市面标准的投入,于产品设计、选材营造等环节倾注心力,打造了一个匹配新城核芯地位的品质标杆。整个项目有几个颠覆性的设计,跟大家分享下:
约2000㎡奢装会所。
西派云间约2000㎡的超大规模双下沉庭院艺术会所,是氛围与功能的极致融合。
首先,会所的入口设计奠定了整个空间的艺术基调。实景中,地面常采用天然石材的拼花工艺,不同色调的石材精准对缝,形成简洁而富有层次的几何图案,彰显低调的仪式感。
上方悬垂的艺术吊灯并非一味追求宏大,而是更注重造型的现代感与光影的层次,光线柔和地洒下来,营造出静谧、高级的氛围。
整体设计语言克制而精致,从第一步开始便传递出“酒店式”的归家礼序与专属格调。其次,这个会所的体量和能级,超越了目前市场上所有的千万级的高端豪宅。首先是体量,小编统计了部分顶豪会所,大家感受一下:
除此之外,整个会所包括了健身房、泳池、私宴厅、立体云间书吧等高端配套。
也就是说,无论是清晨的瑜伽、午后的艺术鉴赏、傍晚的泳池放松,还是周末的私人宴请,所有顶级生活场景皆在社区内、触手可及的高度上得以完美实现。 “这2000㎡是对‘圈层’和‘生活’最实质的投入。它意味着您的家庭生活、社交娱乐、健康养生,都有了顶级且私享的解决方案。
松江首个社区水幕瀑布。
最近在顶豪市场出现了利用高低落差来打造社区景观的项目,例如徐汇滨江约19.5万/㎡的绿城项目;大宁14万/㎡的中建项目。这是顶豪的标配,是上海更前端的设计理念。而这,却出现在了西派云间的社区内。这水幕瀑布景观,让不少千万级的豪宅都望尘莫及。
中央车站。
项目颠覆了传统地库的冰冷印象,打造酒店式中央车站。
以「中央车站」概念打造枢纽式空间,连通会所与庭院,实现高效通行与私密守护的平衡。让地下空间也成为「可社交的星级场所」。
这也是只有一些五星级酒店,以及市区最新的大几千万级的豪宅才会拥有的配置!
双桥入户。
项目的西侧与南侧双面临河,拥有约400米滨河带。
一方面,这样的占位让这个社区拥有出众的水系景观。
另外一方面,由于这样独特的天赋。当市场仍在追求入户大堂的奢华,西派云间已构建“城市—河流—社区” 的三阶归家礼序。
独创的双桥跨水入户系统,凌驾于碧波之上,行人踏桥而过时,城市喧嚣被流水隔绝,归家的静谧与尊崇感油然而生。
这种场景的递进,不仅是空间的切换,更是情绪的自然转化,让每一次归家都成为一场穿越风景的仪式。
可以看到,西派云间不是在卖房子,而是在提供一个位于城市核心的、独一无二的“出则繁华,入则隐逸”的生活解决方案。
这更是属于松江新贵的身份标识,是面子的荣耀,更是里子的笃定。
据悉,在产品方面,西派云间打造了约2000㎡奢装会所、松江首个社区水幕瀑布、中央车站等。
中国铁建·西派云间
备案名:滨悦云庭
开发商:上海京涧房地产有限公司
认购时间:9月27日9时至10月1日12时
认购金:20万元(个人)
存款证明:首套109万元,二套146万元
社保系数:0.12分/月
开盘时间:10月12日13:30
本项目预售许可证:
松江房管(2025)预字0000309号、松江房管(2025)预字0000310号