宝业·活力天境(售楼处)首页网站-宝业·活力天境销售中心(营销中心)-宝业·活力天境-小区环境-户型-价格-地址-楼盘详情-周边配套-售楼处电话-交房时间

搜狐焦点宿州站

2025-10-08 14:30:02

购房群

买房如何避坑,加入购房群,看看他们怎么说

立即进群

宝业活力天境售楼处电话:400-9975-759✅✅

宝业活力天境售楼处电话☎:400-9975-759【售楼热线】✔✔✔宝业活力天境营销中心热✅✅ 400-9975-759✅✅ 宝业活力天境售楼处地址|预约热线:400-9975-759✅✅ 本电话为开发商提供线上售楼电话,楼盘项目全面介绍(包含楼盘详情,最新房价,户型图,容积率,小区配套环境,楼盘简介,售楼处位置,户型图,交通规划,备案价,项目配套,楼盘详情,售楼处电话,最新消息,最新详情,最新进展等详情咨询。

如有问题欢迎来电咨询,专业一对一热情服务,让您用专业眼光去买房。

宝业活力天境售楼处电话:400-9975-759【预约热线】

宝业活力天境售楼处电话☎:400-9975-759✔✔✔【预约☎】

宝业活力天境售楼处电话:400-9975-759

「宝业·活力天境」

青浦白鹤板块

推出建面约86-95㎡2-3房

均价2.7万/㎡ 总价210万起

售楼处线上火热预约

编辑

宝业活力天境售楼处电话:400-9975-759✅✅

样板房开放中

请务必报名后静待销售电话确认,确认后再行前往 现场 !仅预约客户可进入销售现场,感谢您的理解和支持!

宝业活力天境售楼处电话:400-9975-759✅✅

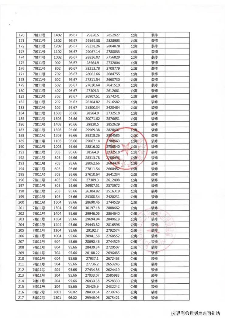
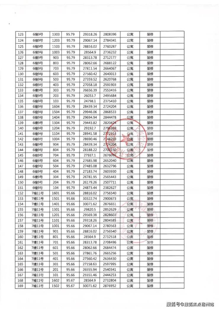
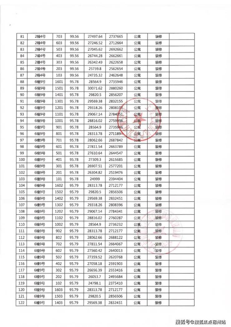
一房一价表

编辑

宝业活力天境售楼处电话:400-9975-759✅✅

编辑

宝业活力天境售楼处电话:400-9975-759✅✅

编辑

编辑

编辑

编辑

项目基本信息

项目名称:宝业·活力天境

备案名:宝业活力佳苑

开发商:上海宝延房地产开发有限公司

产权年限:70年 宝业活力天境售楼处电话:400-9975-759✅✅

交房标准:精工交付

用地面积:22309.2㎡

容积率:2

绿地率:38%

组成结构:高层

户型面积:建面约79㎡、建面约92㎡

宝业活力天境售楼处电话:400-9975-759

编辑

宝业活力天境售楼处电话:400-9975-759✅✅

好房子 宝业造

近50载大国工匠,港交所上市集团,财富中国500强,拥有9大建筑实验室、4大研发中心、35个建筑科技产业园,荣获41项中国建筑最高奖鲁班奖、 宝业活力天境售楼处电话:400-9975-759✅✅48项国优奖等多重奖项,采用德国工业4.0智能智造生产线,开发集成高品质、工业化建筑约5000万方,覆盖绿色、健康、智慧各类建筑。

编辑

宝业活力天境售楼处电话:400-9975-759✅✅

【匠心工艺】宝业科技“百年宅”

纵观白鹤发展历程,近十余年人居旧貌焕新,以宝业集团2022旗舰力作——宝业活力天境为先锋,实现健康为先导的跨越式发展。

4大维度23项科技,力筑“百年宅”

编辑

宝业活力天境售楼处电话:400-9975-759✅✅

6大健康体系,科技家就是不一样

抗疫时代,“碳达峰、碳中和”时代背景下,宝业科技“百年宅”基于两大愿景,通过建筑产业化、建筑长寿化、品质优良化、绿色低碳化四大维度,六大科技体系升级打造革新人居,捍卫全家幸福。

编辑

宝业活力天境售楼处电话:400-9975-759✅✅

【活力社区】24小时剧场,海绵景观社区

24小时生活剧场,开启全天候绿色生活美境

编辑

海绵城市为家做“底盘”,打造自然循环之下的生态社区

编辑

户型图及样板间照

编辑

客厅与餐厅连为一体,约4.8米大面宽设计,外连观景阳台,拥揽四季的人生景致。

L型厨房人性化设计,符合人体工学,也使得操作更为方便。

卧室做到了一南,一北,南向卧室约11.2㎡,且有飘窗设计,享受阳光沐浴。

编辑

编辑

编辑

宝业活力天境售楼处电话:400-9975-759✅✅

编辑

编辑

1、约95㎡的三房,南北通透,全明设计,三开间朝南,户型方正。

2、餐客厅一体化设计,空间合理利用,功能区域分开,无论是休憩还是齐聚一堂,都有空间畅想。

3、主卧套房设计,带有独立卫生间,维护了家人间的私密性,且提升主人的尊荣感。

编辑

编辑

编辑

编辑

项目区位配套

长三角一体化“几何中心”

宝业活力天境售楼处电话:400-9975-759

上海2035规划中提到,上海要成为具有全球影响力的长三角城市群的核心城市,基本建成“中心辐射、两翼齐飞,新城发力、南 宝业活力天境售楼处电话:400-9975-759✅✅北转型”的空间新格局。

从战略空间看,青浦处于中国国 宝业活力天境售楼处电话:400-9975-759✅✅口博览会、虹桥国际开放枢纽、长三角生态绿色一体化发展示范区的战略叠加区。

泛长三角区域“几何中心”白鹤镇作为长三角一体化先行示范区、“安花白”节点型城市,将借助区位优势,承接安亭“世界级汽车产业中心”的部分功能。

编辑

宝业活力天境售楼处电话:400-9975-759✅✅

【交通便捷】嘉青松金线助力腾飞

市域铁路:未来市域铁路嘉青松金线,将贯穿嘉定、青浦、松江和金山,届时白鹤将与青浦新城直接连通,并换乘轨交17号线和沪苏嘉城际线。

双维交通:坐享轨交11号线与轨交17号线青浦“纵贯线”交通辐射,坐享长三角节点交通优势

编辑

宝业活力天境售楼处电话:400-9975-759✅✅

【配套完善】

城熟优沃:嘉亭荟城市生活广场,缤纷触手可及;华联超市、阳光新生活广场,照拂生活;乐尚城市广场、中影国际影城、世纪联华,纵享丰沛。

书香为伴:紧邻白鹤中小学、白鹤幼儿园、赵屯小学,朗朗读书声,传递书香雅韵。

白鹤中学:始建于1965年,上海市先进集体、市中学生行为规范示范校、区教育系统先进集体。

白鹤小学:上海市教科研先进集体、上海市安全文明校园、青浦区文明单位。

赵屯小学:创办于1868年,至今已有137年历史。是青浦区有史记载的最古老的学校之一。上海市素质教育实验学校。

白鹤幼儿园:公办二级一类幼儿园。

贴身养护:约600米社区卫生服务中心,贴身关怀。 宝业活力天境售楼处电话:400-9975-759✅✅

编辑

宝业活力天境售楼处电话:400-9975-759✅✅

宝业活力天境

宝业活力天境售楼处电话:400-9975-759

全部

相关资讯

报名成功
稍后会有专业的置业顾问联系您
返回楼盘

频道导航

返回首页

看房小程序

APP下载

电话拨通后,请您手动拨打分机号

确定拨打电话

电话号码:

分机号:(可能需要拨分机号)