很多人买房,连月供都不知道怎么算,看完这里全会了

搜狐焦点滨州站

2018-10-29 10:39:11

购房群

买房如何避坑,加入购房群,看看他们怎么说

立即进群

搜狐焦点滨洲站获悉,很多朋友都知道,房贷的月供有两种计算方式,但是就是不知道怎么计算,作为一个专业的地产人士,这个知识怎么能不掌握呢?

今天我就和大家分享一下,怎么计算月供,如何自己制作月供系数表,从而方便给客户计算月供。

1、等额本息

等额本息就是每月还款本息相同,即每个月还银行的月供都是一样的意思,把银行的本息平均分摊到每个月的还款日还款。

大家都说房贷便宜,但是其实银行也要赚钱也挺奸商的,因为他们借钱给我们,用的竟然是复利模式而且是按月复利(腹黑一句,为什么群众存款利息低得可怜,还不搞复利呢?),好在银行让你还的月供也是给你复利计息的,让人稍稍安慰,所以这种模式和民间借贷放高利贷所说的利滚利、驴打滚的还款不计息还是有所区别的。

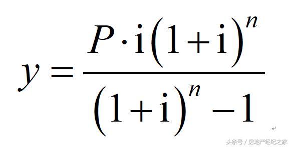
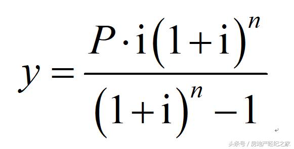
言归正传,我们先说等额本息的月供计算公式,就是下面这个

原标题;很多人买房,连月供都不知道怎么算,这篇文却讲透了!

y:表示月供,是月字的排名前列拼音字母;

P:表示本金,假如你贷款100万,30年,P就是1 000 000;

i:表示月息,假如你商业贷款基准(4.9%)上浮10%,i=4.9×(1+10%)÷12=0.449167;

n:表示月供的期数,假如你贷款30年,一年12个月,月供期数就是360。

下面说下这个公式是怎么推导出来的,这当中要用到一个公式,等比数列求和公式(我附到后面再说)。

我们假设S表示本金利息和(即本息),P表示本金,y代表按揭者每月要偿还的等额月供,

那么根据复利公式,银行要获得的本息为

S=P×(1+i)n

按揭者每月要偿还的等额月供也要计息,每个月产生的月供及月供的复利利息

第1个月y×(1+i)n-1

第2个月y×(1+i)n—2

第3个月y×(1+i)n--3

第4个月y×(1+i)n--4

第n个月y×(1+i)0=y

这些月供、利息和也要等于银行的本息S

S= y×(1+i)n-1 + y×(1+i)n—2 + y×(1+i)n—3 +…+ y×(1+i)2 + y×(1+i)+ y

=

同时又有银行本息 S= P×(1+i)n

因此,就容易得到

Ps.等比数列求和公式

2、等额本金

等额本金的意思是每月还款的本金相同,月供的组成分为两部分,每月所还的本金相同,再加上未还本金使用一个月的利息。

月供为y(每月递减),每月所还本金为p=P÷n,其中P为本金,n为月供期数。

第1个月,本金p,需偿还利息P×i,其中i为月利率,月供为p+P×i;

第2个月,本金p,需偿还利息(P-p)×i,月供为p+(P-p)×i;

第3个月,本金p,需偿还利息(P-2p)×i,月供为p+(P-2p)×i;

……

第n个月,本金p,需偿还利息[P-(n-1)p]×i=p×i,月供为p+p×i;

等额本金的规律是每个月的差额就是p×i,排名前列个月的月供较高,排名前列个月的月供为p+P×i(其中p=P÷n,P为贷款本金总额,n为贷款月供期数,i为贷款月利率),以后的月供逐月等额递减,递减额为p×i。

3、月供系数表的制作

因为等额本金的计算比较简单,首月月供=p+P×i,月供递减p×i。因此月供系数表只要做出1万元贷款的等额本息即可,余者可以类推,比如贷款100万,就是100乘上1万元贷款的系数。

只要将1万元套上基准利率、上浮比例、贷款年限到我们的等额本息计算公式就可以很容易算出,这里我们就不一一计算了,感兴趣的朋友可以自己用手机计算器算算看。

以下就是我制作的等额本息贷款系数表,大家可以直接使用。

例1:

假如某客户从建设银行等额本息贷款100万,贷款年限30年,利率上浮10%。对应上述表格中的系数就是56.09,这就意味着从建行贷款1万块是56.09元的月供,贷款100万就是5609的月供。

如果我们套用公式

那么,P=1000000,i=4.9%×1.1÷12,n=30×12=360,

经计算,最终月供 y=5609.07元。所以说,上述这个房贷月供等额本息计算系数表是相当精确的。

例2:

假如某客户从建设银行等额本金贷款100万,贷款年限30年,利率上浮10%。

他的月供就是:

首月的月供=1000000÷360+1000000×4.9%×1.1÷12=7269.44元

以后月供是等额递减的,差值=1000000÷360×4.9%×1.1÷12=12.48元

第1个月的月供:7269.44;

第2个月的月供:7256.96;

第3个月的月供:7244.48;

……

余此类推,依次递减 12.48 元。

4、等额本金和等额本息的优劣

等额本金和等额本息各有千秋,前者利息少,但前期还款压力较大;后者每月还款额固定,但是利息较多,优点是每月还款压力较小。

5、要不要提前还款

这点我在之前的文章中介绍,其实很简单考虑下经济效益,比较房贷、投资两者的收益率高就行了!具体参见 房贷提前还清好不好?,这里不再赘述。

本文系本网编辑转载,转载目的在于传递更多信息,并不代表本网赞同其观点和对其真实性负责。如涉及作品内容、版权和其它问题,请在30日内与本网联系,我们将在排名前列时间删除内容!

文章来源:房地产经纪之家 

效果图
中南碧桂园·翡丽之光

11500元/㎡ 在售 普通住宅 板楼 科技住宅

户型: 3居、4居、4居以上 125~230m²

地址: 黄河十一路与渤海十二路交汇处

拨打电话

 

全部

相关资讯

报名成功
稍后会有专业的置业顾问联系您
返回楼盘

频道导航

返回首页

看房小程序

APP下载

电话拨通后,请您手动拨打分机号

确定拨打电话

电话号码:

分机号:(可能需要拨分机号)