昆山熙和云庭-2025熙和云庭售楼处 -最新房价+户型图+小区环境+配套+交通便利+商圈完善+生活方便 +熙和云庭+项目笔记

搜狐焦点广安站

2025-08-12 16:20:02

购房群

买房如何避坑,加入购房群,看看他们怎么说

立即进群

熙和云庭售楼处电话:400-9939-964熙和云庭官方电话:400-9939-964

昆山熙和云庭售楼处电话:400-9939-964

熙和云庭售楼处电话:400-9939-964主轴之上!超越居住想象

集萃一城繁华,构筑城芯生活

户型面积:约133㎡、152㎡、179㎡

预计均价:2.2w

容积率:2.0

绿化率:35.1%

装修配置:精装修

车位配比:1:1.92

交付时间:预计2025.12月

交付标准:精装修(带三大件)

总车位:1260户

物业费:约3.33/元/㎡

物业:中建物业

锦鸣雅居的真正魅力,绝不只是仰仗于品牌优势,更多是他对地段的精准拿捏。对于买房人来说,真

正的好地段,一句话概括就是“既要、又要、还要”。

既要有足够的人文底蕴和生活烟火气;

又要有生态宜居的湖湾公园;

还要有多元化的商业和国际化配套。

而锦鸣雅居正处于这样“既要、又要、还要”的改善圈内。位于昆山城东核芯位置,娄东路与吴淞江路

交汇处,直径3公里范围内,几乎囊括了昆山大部分优质配套。

免责:本区位图仅概率表示位置关系,非比例制作

制作时间为2024年6月

这里有着城市快速路效应,距离苏州轨交11号线鱼池泾站约800米,周边中环东线、前进东路、震川

东路等城市主干道环绕,为出行按下快捷键。

通过景王路直达金鹰国际中心,周边还有世茂广场、夏驾河商务区、奥特莱斯等知名商业体,美好生

活画卷在这里展开。

家门口实现9年一站式教育,景王路一贯制学校(2024年交付)、苏大附中、震川高级中学、昆山狄

邦华曜学校等,书香氤氲伴成长,浸染孩子生活日常。(学区以政府主管部门划分为准,开发商不做

承诺)

配套图

这里也是散步的好去处,娄江、时代公园、夏驾河湿地公园都在附近,随时随地都可以来一场休闲放

松之旅。

02

小区概况

楼盘方面,项目依旧主打建发最为擅长的中式园林风格,小区由12栋18层的高层组成,总共可售约

780户。

项目真石漆外立面,得房率约78%,小区不完全人车分流,有20多个地面车位在小区外围。由于目前

售楼处尚未建好,沙盘还是放在前期的云锦湾售楼处。

03

户型介绍

尤其是这些属于洋房的独特优势,让买房人欲罢不能:

一梯两户:为保证日常生活的私密性,锦鸣雅居一梯两户双开门电梯的设计,从此告别电梯的拥挤,

无需忍受尴尬的对视和寒暄,使归家成为一种仪式。(双开门电梯仅限170、203户型)

充足采光:项目最高只有10层,意味着项目有着更好的亲地性,每一户业主都能推窗即享绿地美景,

这是百米高空给不了的治愈。

得房率:不同于高层产品惊人的公摊面积,锦鸣雅居洋房的得房率超高,相同面积下,套内实用面积

远高于高层,更多空间得以被充分利用。

景观效果图

很多人对这类产品真的缺乏抵抗力,毫不夸张地说,像这样的低密纯洋房社区,买到,即是人无我

有,错过,或将成为一种遗憾!

全龄景观社区,为美好生活赋能

02

在景观设计之初,锦鸣雅居就对品质生活进行了深入思考,将静奢的品质感与舒适性融入其中,让业

主即使身处城市核心位置,归家的那一刻能轻松放下压力。

你可以在阳光草坪上和宠物抛接飞盘,在运动健身区锻炼身体,和邻居来几局热血球赛。

孩子们可以在自然课堂,认识各种各样的植物,在玩耍中探索、学习;也可以在儿童聚场里追逐嬉闹,永远不会缺少玩伴。

对长辈来说,在林间步道闲庭信步,或是在森之客厅聊聊家长里短、下下象棋,生活不会孤寂无聊。

景观效果图

突破想象!宽境品质大四房

03

改善,并不是单纯的面积变大,也不是多个房间的简单堆砌,改善的本质需求是:大尺度,更高标准

的生活方式。

锦鸣雅居的三款户型全都做到了大面宽,短进深,起步就是四开间朝南的格局,搭配南向双联阳台,

颠覆传统尺度!并突破性采用飘窗与开间同宽,拥有更宽阔、开放的景观视野,套内实用面积也同步

增加。

建面约143㎡,四室两厅两卫

这个户型堪称改善洋房进阶之作,视野方面做到了pro max版,南向4.5开间,约14.75米大尺度面宽

,搭配约8.15米的双联景观阳台。开间约5米的朗阔客厅,独立客餐厅空间,无论是休闲、娱乐还是聊

天会友,都给足了主人排面。

主卧套房设计,开间约3.6米,预留L形独立衣帽空间,完美解决衣物收纳需求。主卫全明设计,同时

配备淋浴房和浴缸,独享天地,自成一界。

建面约170㎡,四室两厅三卫

私享入户空间,礼仪玄关,从归家开始就倍享尊崇。南向约16.3米面宽,约 9.1米跑道级双联阳台,

南向采光简直无敌!U型开阔厨房,动线合理流畅,洗切炒烹一气呵成。

南向双套房设计,独立卫浴,三代同堂也可尊享私密空间;主卧开间约4.2米,预留L形独立衣帽间空

间,主卫全明设计+双台盆+浴缸配置,享受从容生活。

建面约203㎡,四室两厅三卫

最为亮眼的当属5开间朝南的设计,南向约18.4米面宽,搭配约9.2米跑道级双联阳台,将尺度感放大

到MAX,气场全开;约6㎡尊崇入户玄关,美观精致且兼具强大的收纳功能。

南北双阳台,尊享独立家政空间,从容享受生活,南向双套房,私密有界,豪华套房般的主卧,约4.

4米的面宽,整体空间大气奢华,满配双台盆、预留衣帽区、浴缸淋浴,提升生活品质,享受奢雅生

活。

总结

项目位于宝山,是顾村大居北侧的开荒盘,目前周边的状态还是待开发。项目主打就打在“荒”字,因

此适合一定情况的投资人群,或者预算较低,分数较低的打新刚需群体。

楼盘虽然目前步行至地铁站距离较远,但是南侧规划中的言观路一旦开通,实际距离将缩短至800多

米。

建发特色的主打的中式园林风格之前在泗水和鸣有过介绍,比较两极化,有一定特有的粉丝群体为其

着迷,也有一定粉丝表示不能接受。

项目周边都是空地而非厂区,未来开发难度较低,日后能否成为老顾村的2.0,乃至3.0版本目前不好

说,但一定是有很大希望的。

如果你是一个对板块成熟度有一定需求的,可以前往美兰湖。但如果接受长期持有,不急于周边一定

配套的,可以前往一看。

当然如果预算有限但是分数足够,依旧可以一等之后顾村的中铁建以及大华等位置更好的项目。

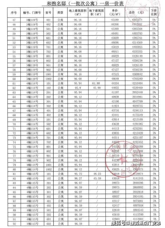
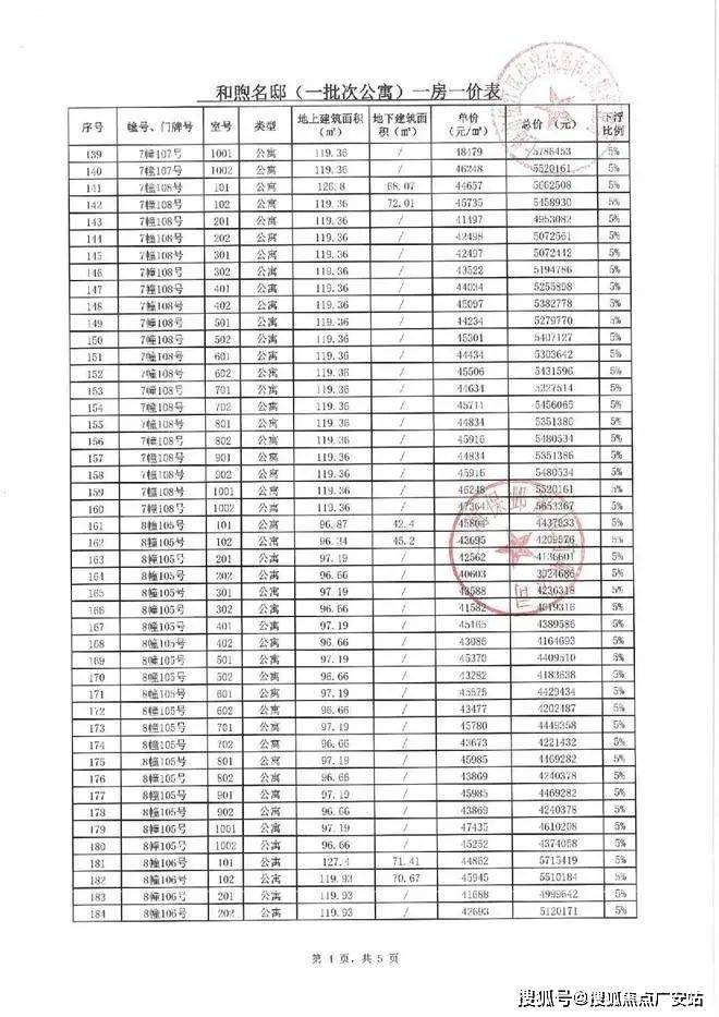
一房一价表如下:

苏州中建熙和云庭

昆山熙和云庭售楼处电话:400-9939-964主轴之上!超越居住想象

集萃一城繁华,构筑城芯生活

户型面积:约133㎡、152㎡、179㎡

预计均价:2.2w

容积率:2.0

绿化率:35.1%

装修配置:精装修

车位配比:1:1.92

交付时间:预计2025.12月

交付标准:精装修(带三大件)

总车位:1260户

物业费:约3.33/元/㎡

物业:中建物业

锦鸣雅居的真正魅力,绝不只是仰仗于品牌优势,更多是他对地段的精准拿捏。对于买房人来说,真

正的好地段,一句话概括就是“既要、又要、还要”。

既要有足够的人文底蕴和生活烟火气;

又要有生态宜居的湖湾公园;

还要有多元化的商业和国际化配套。

而锦鸣雅居正处于这样“既要、又要、还要”的改善圈内。位于昆山城东核芯位置,娄东路与吴淞江路

交汇处,直径3公里范围内,几乎囊括了昆山大部分优质配套。熙和云庭售楼处电话:400-9939-964

昆山熙和云庭售楼处电话:400-9939-964

熙和云庭售楼处电话:400-9939-964

昆山熙和云庭售楼处电话:400-9939-964

免责:本区位图仅概率表示位置关系,非比例制作

制作时间为2024年6月

这里有着城市快速路效应,距离苏州轨交11号线鱼池泾站约800米,周边中环东线、前进东路、震川

东路等城市主干道环绕,为出行按下快捷键。

通过景王路直达金鹰国际中心,周边还有世茂广场、夏驾河商务区、奥特莱斯等知名商业体,美好生

活画卷在这里展开。

家门口实现9年一站式教育,景王路一贯制学校(2024年交付)、苏大附中、震川高级中学、昆山狄

邦华曜学校等,书香氤氲伴成长,浸染孩子生活日常。(学区以政府主管部门划分为准,开发商不做

承诺)熙和云庭售楼处电话:400-9939-964

昆山熙和云庭售楼处电话:400-9939-964

熙和云庭售楼处电话:400-9939-964

昆山熙和云庭售楼处电话:400-9939-964

熙和云庭售楼处电话:400-9939-964

昆山熙和云庭售楼处电话:400-9939-964

配套图

这里也是散步的好去处,娄江、时代公园、夏驾河湿地公园都在附近,随时随地都可以来一场休闲放

松之旅。

02

小区概况

楼盘方面,项目依旧主打建发最为擅长的中式园林风格,小区由12栋18层的高层组成,总共可售约

780户。

熙和云庭售楼处电话:400-9939-964

昆山熙和云庭售楼处电话:400-9939-964

项目真石漆外立面,得房率约78%,小区不完全人车分流,有20多个地面车位在小区外围。由于目前

售楼处尚未建好,沙盘还是放在前期的云锦湾售楼处。

03

户型介绍熙和云庭售楼处电话:400-9939-964

昆山熙和云庭售楼处电话:400-9939-964

尤其是这些属于洋房的独特优势,让买房人欲罢不能:

一梯两户:为保证日常生活的私密性,锦鸣雅居一梯两户双开门电梯的设计,从此告别电梯的拥挤,

无需忍受尴尬的对视和寒暄,使归家成为一种仪式。(双开门电梯仅限170、203户型)

充足采光:项目最高只有10层,意味着项目有着更好的亲地性,每一户业主都能推窗即享绿地美景,

这是百米高空给不了的治愈。

得房率:不同于高层产品惊人的公摊面积,锦鸣雅居洋房的得房率超高,相同面积下,套内实用面积

远高于高层,更多空间得以被充分利用。

熙和云庭售楼处电话:400-9939-964

昆山熙和云庭售楼处电话:400-9939-964

景观效果图

很多人对这类产品真的缺乏抵抗力,毫不夸张地说,像这样的低密纯洋房社区,买到,即是人无我

有,错过,或将成为一种遗憾!

全龄景观社区,为美好生活赋能

02

在景观设计之初,锦鸣雅居就对品质生活进行了深入思考,将静奢的品质感与舒适性融入其中,让业

主即使身处城市核心位置,归家的那一刻能轻松放下压力。

你可以在阳光草坪上和宠物抛接飞盘,在运动健身区锻炼身体,和邻居来几局热血球赛。

孩子们可以在自然课堂,认识各种各样的植物,在玩耍中探索、学习;也可以在儿童聚场里追逐嬉闹,永远不会缺少玩伴。

对长辈来说,在林间步道闲庭信步,或是在森之客厅聊聊家长里短、下下象棋,生活不会孤寂无聊。

景观效果图熙和云庭售楼处电话:400-9939-964

昆山熙和云庭售楼处电话:400-9939-964

突破想象!宽境品质大四房

03

改善,并不是单纯的面积变大,也不是多个房间的简单堆砌,改善的本质需求是:大尺度,更高标准

的生活方式。

锦鸣雅居的三款户型全都做到了大面宽,短进深,起步就是四开间朝南的格局,搭配南向双联阳台,

颠覆传统尺度!并突破性采用飘窗与开间同宽,拥有更宽阔、开放的景观视野,套内实用面积也同步

增加。

建面约143㎡,四室两厅两卫

熙和云庭售楼处电话:400-9939-964

昆山熙和云庭售楼处电话:400-9939-964

这个户型堪称改善洋房进阶之作,视野方面做到了pro max版,南向4.5开间,约14.75米大尺度面宽

,搭配约8.15米的双联景观阳台。开间约5米的朗阔客厅,独立客餐厅空间,无论是休闲、娱乐还是聊

天会友,都给足了主人排面。

主卧套房设计,开间约3.6米,预留L形独立衣帽空间,完美解决衣物收纳需求。主卫全明设计,同时

配备淋浴房和浴缸,独享天地,自成一界。

建面约170㎡,四室两厅三卫

熙和云庭售楼处电话:400-9939-964

昆山熙和云庭售楼处电话:400-9939-964

私享入户空间,礼仪玄关,从归家开始就倍享尊崇。南向约16.3米面宽,约 9.1米跑道级双联阳台,

南向采光简直无敌!U型开阔厨房,动线合理流畅,洗切炒烹一气呵成。

南向双套房设计,独立卫浴,三代同堂也可尊享私密空间;主卧开间约4.2米,预留L形独立衣帽间空

间,主卫全明设计+双台盆+浴缸配置,享受从容生活。

建面约203㎡,四室两厅三卫

熙和云庭售楼处电话:400-9939-964

昆山熙和云庭售楼处电话:400-9939-964

最为亮眼的当属5开间朝南的设计,南向约18.4米面宽,搭配约9.2米跑道级双联阳台,将尺度感放大

到MAX,气场全开;约6㎡尊崇入户玄关,美观精致且兼具强大的收纳功能。

南北双阳台,尊享独立家政空间,从容享受生活,南向双套房,私密有界,豪华套房般的主卧,约4.

4米的面宽,整体空间大气奢华,满配双台盆、预留衣帽区、浴缸淋浴,提升生活品质,享受奢雅生

活。熙和云庭售楼处电话:400-9939-964熙和云庭官方电话:400-9939-964

昆山熙和云庭售楼处电话:400-9939-964

熙和云庭售楼处电话:400-9939-964熙和云庭官方电话:400-9939-964

昆山熙和云庭售楼处电话:400-9939-964熙和云庭售楼处电话:400-9939-964熙和云庭官方电话:400-9939-964

昆山熙和云庭售楼处电话:400-9939-964...

2025年上海全方面购房政策:

7月【新房 二手房 限购 贷款 摇号】

01 上海最新限购政策

02 上海最新购房贷款政策

03 上海一手/二手房交易流程

04 上海买房各税费明细

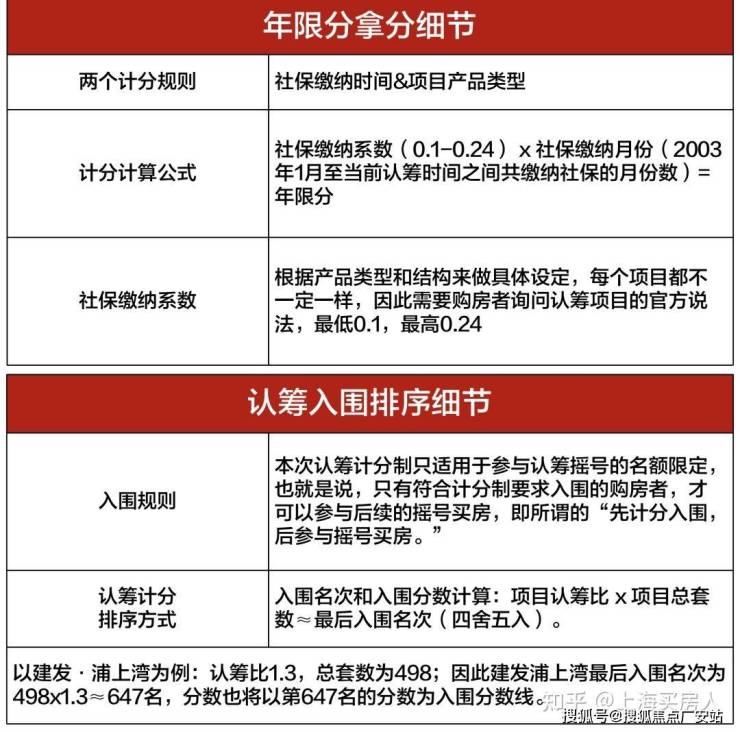
05 上海新房摇号积分制政策

06 上海新房摇号积分制常见问题

07 上海直系更名/赠予/继承政策

08 公司名义购房相关政策及交易税费

2024.5.27上海发布近8年来最有力度的房产新政,买房之前,先要看一下是否有“买房资格”,那么上海的限购政策是怎么样的呢?

2024.06.21日起,上海新房不再以集中公示在网上房地产网站。

2024.7.22日起,上海新购新房与二手房,首套与二套利率均有调整.

2024.8.21日起,临港放松落户政策调整亮点:居转户年限由7年缩短为3年的,新片区工作时间由不低于2年,减少为不低于1年。居住证专项加分:在新片区工作并居住的,满一年积2分,最高积20分。

2024.08.27起,上海执行18年的“70、90”政策正式退出,70.90平小户型新房退出历史舞台,执行标准分别调整为100平方米、110平方米、120平方米。

2024.9.29上海楼市新政再落地!

(一)对非本市户籍居民家庭以及单身人士购买外环外住房的,购房所需缴纳社会保险或个人所得税的年限,调整为购房之日前连续缴纳满1年及以上。

(二)对持《上海市居住证》且积分达到标准分值、在本市缴纳社会保险或个人所得税满3年及以上的非本市户籍居民家庭,在购买住房套数方面享受沪籍居民家庭的购房待遇。

(三)首套住房商业性个人住房贷款最低首付款比例调整为不低于15%。二套住房商业性个人住房贷款最低首付款比例调整为不低于25%;实行差异化政策区域的二套房贷最低首付款比例调整为不低于20%。住房公积金二套房贷最低首付比例相应调整。

(四)调整增值税征免年限,将个人对外销售住房增值税征免年限从5年调整为2年。

(五)按照国家工作部署,及时取消普通住房标准和非普通住房标准,减少住房交易成本,更好满足居民改善性住房需求。

2024.10.21起中国人民银行下调房屋贷款LPR25个基点,最新利率LPR3.6%。

五年期以上首套房贷执行利率:LPR(3.6%)-45bp =3.15%,五年期以上二套房贷执行利率:LPR(3.6%)-5bp=3.55%,

商用房LPR(3.6%)+60BP=4.2%,公积金首套2.85%,二套3.325%

(五年期以上二套:临港、嘉定、青浦、松江、奉贤、宝山、金山LPR-25BP=3.35%)

2024.11.13日起:契税方面,将现行享受1%低税率优惠的面积标准由90平方米提高到140平方米对个人购买家庭唯一住房和家庭第二套住房,只要面积不超过140平方米的,统一按1%的税率缴纳契税。

增值税方面,在城市取消普通住宅标准后,对个人销售已购买2年以上(含2年)住房一律免征增值税,原针对北京、上海、广州、深圳4个城市个人销售已购买2年以上(含2年)非普通住房征收增值税的规定相应停止执行。

土地增值税方面,取消普通住宅和非普通住宅标准的城市,对纳税人建造销售增值额未超过扣除项目金额20%的普通标准住宅,继续实施免征土地增值税优惠政策。

2025.4.28日:上海市住房公积金管理中心发布,在上海年满16岁且未达到退休年龄的市民,不论户籍,工作单位,有无职业均可自己缴纳住房公积金,缴纳基数为最低270,最高8860元。自2025.6.1日起施行。

2025.5.7日起:降低个人住房公积金贷款利率0.25个百分点,5年期以上首套房利率由2.85%降至2.6%,二套房贷利率由3.325%降至3.075%。五年内1-5年首套2.10%,二套2.525%。

2025.5.20日:五年期以上首套房贷执行利率(上海纯商贷):LPR3.5%(3.5%)-45bp =3.05%,五年期以上二套房贷执行利率:LPR(3.5%)-5bp=3.45%,

(五年期以上二套:临港、嘉定、青浦、松江、奉贤、宝山、金山LPR-25BP=3.25%)

01.7月 上海最新限购政策:

(注:1.外地户口在上海唯一住房在2024年5月28日后出售并网签,再购房不管是新房还是二手房不受社保与个税的限制,(不受环线限制)全上海房产都可以买。)

(2.外地户口购买崇明区房产包括长兴岛,社保与个税需要崇明区缴纳。)

什么是限购政策中的“多子女家庭”?

答:对本市或外地户籍居民家庭成员中有二孩及以上子女、且其中至少有一名子女未成年,认定为多子女家庭(例如一对夫妻,有一个子女已成年,另一个子女未成年,该夫妻及其未成年子女即为限购政策中的“多子女家庭”)。

多子女家庭可按该家庭在本市住房限购套数基础上再购买1套本市住房(例如该多子女家庭为本市户籍居民家庭,家庭名下已有2套本市住房,按多子女购房条件,该家庭可再购买1套本市住房)。

7月非户籍单身可以在全市购买一套二手房

7月非户籍单身可以在外环外S20以外购买一套新房或二手房。

02.7月 上海最新购房贷款政策

1.商业贷款如下:

2.纯公积金贷款最新执行如下:

3.商业/公积金/组合贷款如下:

03.上海一手/二手房交易流程:

04. 7月上海买房各税费明细:

2025.7月上海最新房产税标准:

05.上海新房摇号积分制政策

06.上海新房摇号积分制常见问题:

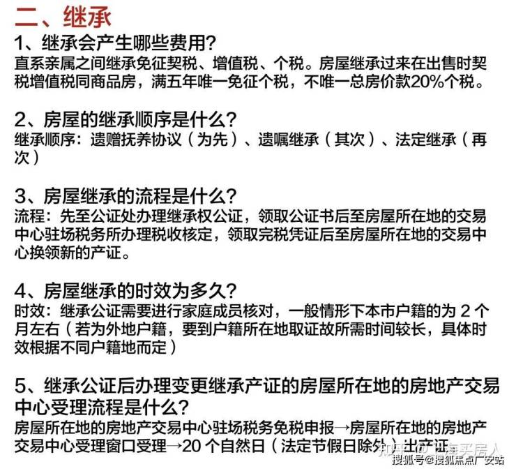
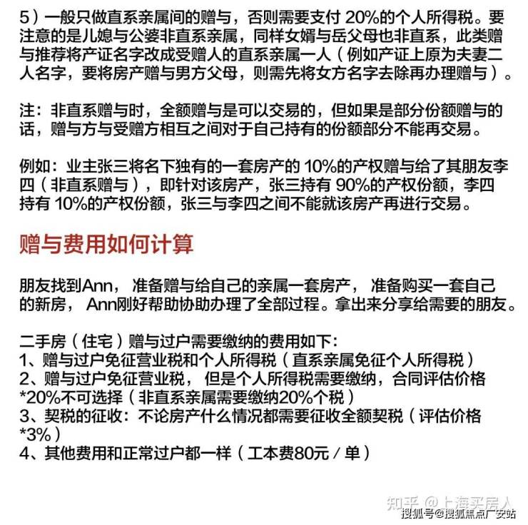
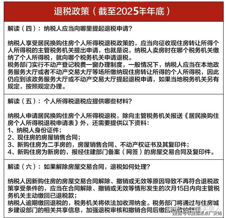
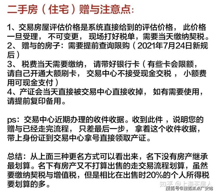
07.上海直系更名/赠予/继承政策:

2024.5.27起:调整住房赠与规定,已赠与住房不再计入赠与人拥有住房套数。

08.公司名义购房相关政策及交易税费:

除上述情况外公司购房政策不变:

全部

相关资讯

报名成功
稍后会有专业的置业顾问联系您
返回楼盘

频道导航

返回首页

看房小程序

APP下载

电话拨通后,请您手动拨打分机号

确定拨打电话

电话号码:

分机号:(可能需要拨分机号)