大华·公园柏翠售楼处电话:400-9988-414
大华·公园柏翠营销中心电话:400-9988-414
大华·公园柏翠售楼中心:400-998-8414
距中环约3公里大宁北 宝山·共康
双轨交1/18号线 中环公园大盘
大华·公园柏翠售楼处电话☎:400-9988-414✔✔欢迎来电咨询! (预约看房热线)可预约销售人员,专业一对一热情服务,让您用专业眼光去买房。
近期,静安大宁一宗纯宅地开拍,吸引了8组头部房企的争夺,经过67轮角逐后,该地块由大华集团竞得,溢价率32.31%,成交总价为24.86亿元,成交楼板价为92659元/㎡。这一楼板价,打破了此前的中建玖合地块的成交楼板价,成为静安大宁区域的新地王。板块内的新房后续上升空间大!

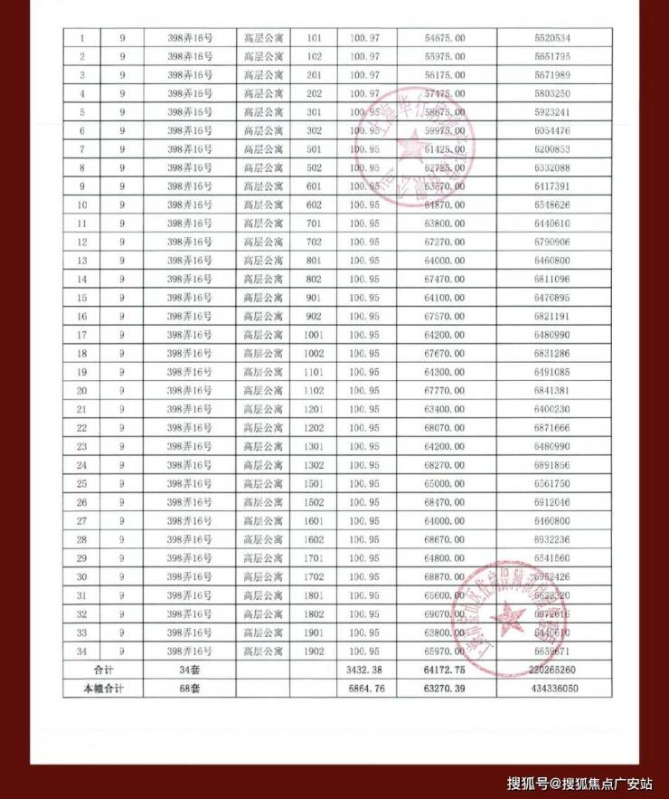
加推约101-142㎡3-4房
均价66,589元/㎡

大华·公园柏翠售楼处电话:400-9988-414
大华·公园柏翠营销中心电话:400-9988-414
大华·公园柏翠售楼中心:400-998-8414
今年,很多人都在说:中环内外一千万也挑不出好盘。
因为像黄浦、老静安等区域都已经来到了约14.6-17.6万/㎡的价格,并且大多数的项目都是大户型为主,总价门槛都在约2500万以上。
尤其是静安新房的门槛,更是让人惊叹。
像苏河湾已经有大量约13.3万/㎡的新房入市;
大宁虽没有新房,但中环外二手次新房的挂牌价格都在约12万/㎡+。
所以,今年很多人都在感叹,现在一千万也难买中环。
但接下来,会有一个超劲爆的项目入市!
一个距离静安只有约400米、距离中环线直线约3km的,但是均价惊喜的项目:大华公园柏翠!
大华·公园柏翠售楼处电话:400-9988-414
大华·公园柏翠营销中心电话:400-9988-414
大华·公园柏翠售楼中心:400-998-8414
这个价格,这个位置,大华公园柏翠无疑将成为上海下一个爆点项目。
效果图,仅供参考
大华公园柏翠售楼处&样板间已正式开放,以现象级的热度席卷整个北上海。示范区和样板间人气如炙,现场人山人海,热度空前!来看现场情况:
大华·公园柏翠售楼处电话:400-9988-414
大华·公园柏翠营销中心电话:400-9988-414
大华·公园柏翠售楼中心:400-998-8414
01 中环之上、大宁之上
上海距离静安更近的新房
在地段上,项目有三个标签:
项目距离静安直线约400米、地铁3站大宁核心区!
项目距离中环线约3km!
繁华配套!
我们来解析以上这三个标签。
第一,距离静安直线约400米、地铁3站大宁核心意味着什么?
一方面,这意味着距离静安、黄浦更近,直接影响上班通勤便捷性,即使你将来换工作,只要还占位外环内,不管单位在哪里,都能从容应对。
大华·公园柏翠售楼处电话:400-9988-414
大华·公园柏翠营销中心电话:400-9988-414
大华·公园柏翠售楼中心:400-998-8414
要知道,如今置业肉眼可见的边缘化,主力供应已到外环外5-10公里,如今却还能碰到大华公园柏翠,甚是难得。
尤其对于工作在大宁的小伙伴来说,1号线3站就是上海马戏城,大宁核心区。
目前的大宁已是大家公认的北上海新的商业、产业中心。
约56万平大宁音乐广场、约25万平大宁国际商业广场、约30万平大宁久光百货,静安大融城等商场一路连缀。

这个出行便捷度,在同能级的板块中,几乎是属于一梯队。
另外一方面,这意味着大华公园柏翠有出众的未来前景。
举个例子:整个浦东外环外,唐镇无疑是王者级的。约10万+的二手房房价、约7万+的新房价格,板块价值可见一斑。
而造成这种原因也很简单:唐镇距离张江仅3站。
于是,唐镇就成为了张江精英们外溢的首站。而围绕着这些精英,唐镇落地了大量高能级的教育、商业、生态等资源。
这样的良性循环,让这个板块的价值水涨船高,甚至突破环线价格限制。
大华·公园柏翠售楼处电话:400-9988-414
大华·公园柏翠营销中心电话:400-9988-414
大华·公园柏翠售楼中心:400-998-8414
同样道理,大华公园柏翠距离静安直线约400米、1号线3站即大宁核心商圈,是整个上海距离静安最近的新房。
对于工作在大宁、苏河湾、静安寺、南京西路、人民广场、虹口等区域的购房者来说,大华公园柏翠就是地段更好的新房。
并且相比静安、大宁的约1500万级置业门槛,大华公园柏翠的价格几乎是差了一半多,这样的性价比谁能抵挡?
未来当大水漫灌下,大华公园柏翠的项目价值、配套能级、居住氛围和圈层,都会有大提升。
第二,项目距离中环线约3km!
与大华公园柏翠同纬度的板块,新房均价起码约8.58万/㎡起,单价约10万+的区域比比皆是。
第三,已经成熟的繁华配套!
商业配套方面,项目周边从生活配套到高端商场到大型商超,应有尽有。
· 地铁3站直达:大宁久光中心、大宁音乐广场、大宁国际商业广场等
· 周边约900M范围:共康商圈、社区邻里中心商业广场、场北集贸市场、北斗星广场
· 直线距离约1.5KM范围内:宝山万达广场、宝山购物中心等
· 直线距离约2.7KM:宝山日月光,多类型商业形态荟萃
大华·公园柏翠售楼处电话:400-9988-414
大华·公园柏翠营销中心电话:400-9988-414
大华·公园柏翠售楼中心:400-998-8414
教育方面,项目周边教育资源丰富,包括陈伯吹实验幼儿园(上海市示范幼儿园)、陈伯吹实验小学,华师大宝山实验学校等学校。
项目正南侧一墙之隔,还有九年一贯制公办学校在建设中。
免责声明:以上教育资源整理仅代表楼盘与学校的距离,该房屋所在项目暂未划分学区,开发商不对项目交房后所属学区、学校做任何承诺。教育资源分配或学校/学区划分以及学校的具体招生规则等请以政府相关主管部门、教育机构公开的最新信息为准。
生态方面,项目坐拥五大公园:
约80万方伟岸绿境环抱,包括千亩绿境(约60万方绿化在侧),约3万方庙行公园、约4.2万方共和公园,约2.7万方三泉公园、约9.3万方彭浦四季公园等。
这样的生态能级,媲美“新江湾湿地公园、世纪公园、长风公园”等,拥享“自然生态+稀臻难寻”双重价值属性。
不管是从出行便捷度、未来潜力、现有配套还是同纬度的对比中,大华公园柏翠的地段都是更具竞争力的。光凭这一点,这个项目就已经足够有吸引力了。
但在产品力上,大华依旧给了我们足够的诚意和惊喜。
02 建面约101-142㎡神户型
一梯两户的无连廊飞机户型
大华·公园柏翠售楼处电话:400-9988-414
大华·公园柏翠营销中心电话:400-9988-414
大华·公园柏翠售楼中心:400-998-8414
项目整个社区由4栋16层、10栋17层小高层组成,是纯粹的低密小高层住宅。
一方面,小高层在近期的上海市场中非常稀缺,尤其是在中环线上的位置上,小高层住宅凤毛麟角。
但另外一方面,小高层天然的高得房率、私密性和居住舒适度也保证了这个产品的受欢迎程度。
换句话说,大华公园柏翠的产品力,从天赋上就已经与其他项目拉开了差距。
其次,产品上:项目建面约101-124㎡房源一梯两户、建面约142㎡两梯两户。
而这意味着,大部分的房源均是无连廊的设计,将带来更高的采光通透度、更好的通风以及更高的得房率。
再加上项目飞机户型的设计,室内几乎0空间浪费,即使是小户型也有超高的尺度感。
具体来看:
建面约101㎡3房2卫户型,非常标准的飞机户型。
三开间朝南整体约11.5米的面宽。什么概念呢?
上海这些年其实也有不少三开间朝南的飞机户型,但都不如了大华公园柏翠。
例如以下这个:总价约千万左右,建面约104㎡的房源。
这个项目凭借着出色的户型,获得了不少高净值人群的青睐,但他约104㎡的户型南向面宽只有10.2米,比大华公园柏翠约101㎡的户型还小了约1.3米。
别小看这约1.3米,整体的尺度感完全不同。

大华·公园柏翠售楼处电话:400-9988-414
大华·公园柏翠营销中心电话:400-9988-414
大华·公园柏翠售楼中心:400-998-8414
更重要的是,项目是大横厅+超大阳台的设计。撑起气场的同时,也能为家庭带来更多的生活想象。
另外,南北通透+3房5飘窗的设计,保证了户型的通风以及视野。
超大的U型厨房十分宽绰,让切配煮更加合理从容。
细节方面,次卫的干湿分离也能保证室内的干燥,入户的玄关、主卧的套房,保证了主人的私密空间。
这个户型拥有一个“好户型”的所有特质,上车必看的首选户型!
大华·公园柏翠售楼处电话:400-9988-414
大华·公园柏翠营销中心电话:400-9988-414
大华·公园柏翠售楼中心:400-998-8414
建面约124㎡的4房2卫户型,通常来说是紧凑型的户型。
但得益于无连廊+飞机户型带来的高得房率,这个户型的尺度感非常惊人。
就拿餐厅而言,这个户型可以放下一个5-6人的圆桌,可以满足一大家子围坐大圆桌吃饭的需求。
另外,项目是4房中少有的4开间朝南、3房朝南的设计,采光度十分出色。
真正一步到位的改善型4房产品,大横厅的设计,
四开间朝南+大横厅,约15.4米的南向面宽堪比别墅。
大横厅也可以灵活运用在各种生活场景,例如作为妈妈的瑜伽室、孩子的游乐天地等,都是很好的选择。
这样的户型,能满足各个家庭成员的需求!
最后,还有一点:项目将标配国际家装大牌、臻选精奢材质、把关精细施工,悉心规划4大定制系统、100+精工细节,精琢非凡空间。
大华·公园柏翠售楼处电话:400-9988-414
大华·公园柏翠营销中心电话:400-9988-414
大华·公园柏翠售楼中心:400-998-8414
03 比肩千万级豪宅的公区
约80米门头、星级酒店大堂、内外双公园...
大华公园柏翠是大华公园城市的四期地块,该地块为协议出让用地,就在大华公园城市三期的南侧。

社区方面,项目容积率2.2,清一色16-17层小高层,低密人居大境,整个社区不管是采光、视野还是人均绿化率都很可观!
效果图,仅供参考
另外,有几大细节值得重点强调:
第一,约80米气派门头,这是整个北上海少有的配置,给业主更加尊崇的归家体验。
效果图,仅供参考

大华·公园柏翠售楼处电话:400-9988-414
大华·公园柏翠营销中心电话:400-9988-414
大华·公园柏翠售楼中心:400-998-8414
第二,高感车库,如果您是车行归家,那这个车库将给你千万级豪宅才有的礼遇。
第三,星级酒店大堂,从用料到颜值,整个大华公园柏翠的表现都将非常出众。
效果图,仅供参考
第四,奢氧无界秘境·内外双园。
项目社区秉承“内外双公园、城市公园一体化”理念,打造出“一轴、一带、一环、九大花园空间”的生态品质社区。
效果图,仅供参考

效果图,仅供参考

大华·公园柏翠售楼处电话:400-9988-414
大华·公园柏翠营销中心电话:400-9988-414
大华·公园柏翠售楼中心:400-998-8414
大华·公园柏翠售楼处电话☎:400-9988-414✔✔欢迎来电咨询! (预约看房热线)可预约销售人员,专业一对一热情服务,让您用专业眼光去买房。
大华·公园柏翠售楼处电话:400-9988-414大华·公园柏翠营销中心电话:400-9988-414大华·公园柏翠售楼中心:400-998-8414楼盘项目全面介绍,本电话为开发商提供线上预约售楼电话,楼盘项目全面介绍(包含楼盘简介,均价,房价,现房,期房,别墅,叠墅,大平层,价格,楼盘地址,户型图,交通规划,备案价,备案名,项目配套,样板间,开盘时间,认筹时间,楼盘详情,售楼处电话,最新消息,最新详情,周边配套,一房一价,最新进展等详情咨询)楼盘详情丨价格丨更多优惠丨机不可失丨欢迎致电丨诚邀品鉴!售楼处位置丨特价房丨工抵房丨剩余房源丨户型图丨最新消息丨免责声明:将文章内容综合来源于网络、只作分享,版权归原作者所有!!如有侵权,请联系我们,我们第一时间处理如有问题欢迎来电咨询,专业一对一热情服务,让您用专业眼光去买房。如果您想了解更多楼盘详情,欢迎提前预约拨打大华·公园柏翠售楼处电话☎400-9988-414