金桥碧云澧悦(营销中心)首页网站-金桥碧云澧悦销售中心(售楼处)-金桥碧云澧悦地址-价格-户型-小区环境-楼盘详情-交房时间-周边配套-售楼处电话

搜狐焦点广安站

2025-05-28 13:38:33

购房群

买房如何避坑,加入购房群,看看他们怎么说

立即进群

金桥碧云澧悦售楼处电话☎:400-8558-224✔✔✔【预约☎】

上海浦东金桥碧云澧悦官方售楼处电话☎:400-855-8224✔✔✔(预约看房热线)

Jin Qiao Bi Yun Li Yue Sales Office Tel: ☎ : 400-8558-224 Reservation ☎

金桥碧云澧悦售楼处电话☎:400-8558-224【预约☎】

Jinqiao Biyun Liyue is a low-density residential project in the Zhoukang area of Pudong, Shanghai. It is developed by the state-owned enterprise Jinqiao Co., Ltd. and is positioned as an improved community that combines quality and cost-effectiveness.

金桥碧云澧悦是上海浦东周康板块的低密度住宅项目,由国企金桥股份开发,定位为兼具品质与性价比的改善型社区。

The following is the comprehensive project information:

以下为项目综合信息:

I. Project Overview

一、项目概况

Basic parameters ‌ : About 56,000 ㎡, total construction area 155,000 ㎡, plot ratio 1.8, green space ratio 35%, planned 15 small high-rise buildings of 11-14 floors, total 843 units, parking space ratio 1:1.3

基础参数‌:占地面积约5.6万㎡,总建面15.5万㎡,容积率1.8,绿化率35%,规划15栋11-14层小高层,总户数843户,车位比1:1.3

Delivery standard ‌ : 99㎡ units delivered fully furnished (including central air conditioning and floor heating), 135-165㎡ units delivered as unfinished

交付标准‌:99㎡户型精装交付(含中央空调、地暖),135-165㎡户型毛坯交付

Property Management and Delivery ‌ : Jinqiao Property Management provides services, property management fee 5.6 yuan per square meter per month, expected delivery in June 2026

物业与交房‌:金桥物业提供服务,物业费5.6元/㎡/月,预计2026年6月交付

Jin Qiao Bi Yun Li Yue Sales Office Tel: ☎ : 400-8558-224 Reservation ☎

金桥碧云澧悦售楼处电话☎:400-8558-224【预约☎】

Ii. Product Design

二、产品设计

Unit highlights ‌ : Main units 93-165㎡, including three-bedroom to four-bedroom units, all aircraft design.

户型亮点‌:主力户型93-165㎡,涵盖三居至四居,全系飞机户型设计。

The usable floor area ratio ranges from 76% to 83%. Among them, the 99-square-meter layout is a horizontal living room, and the 165-square-meter four-bedroom layout has the highest usable floor area ratio

得房率76%-83%,其中99㎡为横厅布局,165㎡四居得房率最高

Landscape planning ‌ : Adopting the "one ring, one axis, Three gardens" landscape system, building spacing 30-48 meters, full separation of pedestrians and vehicles design, landscape water courtyard and garden paths within the community.

景观规划‌:采用“一环一轴三园”景观体系,楼间距30-48米,全人车分流设计,社区内设景观水院及花园小径。

Building details ‌ : Floor height 3.05-3.15 m, with Duravit bathroom (in some units) and a combination of stone and glass foyer

建筑细节‌:层高3.05-3.15米,配备杜拉维特卫浴(部分户型)、石材与玻璃结合的门厅设计

Iii. Location and Supporting Facilities

三、区位与配套

Youdaoplaceholder0: It 's about 1.8 km from Zhoupudong Station on Metro Line 16. It' s easy to reach Zhangjiang Science City, Qiantan and other places by car via Hufeng Highway.

交通‌:距地铁16号线周浦东站约1.8公里,自驾可通过沪奉公路快速抵达张江科学城、前滩等地。

Education ‌ : Corresponding to Lixi Primary School, Zhoupu Experimental School.

教育‌:对口澧溪小学、周浦实验学校。

Commercial MEDICAL ‌ : Within 3 kilometers of Wanda Plaza, Greenland Colorful Plaza;

商业医疗‌:3公里内覆盖万达广场、绿地缤纷广场;

It is adjacent to the Shanghai International Medical Park on the south side

南侧紧邻上海国际医学园区

Risk Warning ‌ : Some users have reported that the south side of the project is close to a cemetery. On-site inspection is required for confirmation.

风险提示‌:部分用户反馈项目南侧邻近公墓,需实地考察确认。

【 Golden Bridge, Green Clouds, Liyue 】

【金桥碧云澧悦】

Sales office telephone ☎ : 400-8558-224 [Sales Office Reservation Hotline] (one-on-one warm service)

售楼处电话☎:400-8558-224【售楼处预约热线】(一对一热情服务)

Please call the salesperson in advance to confirm the viewing time. Only customers who have made an appointment can enjoy the internal discounts and exclusive rewards for referrals from regular customers provided by the developer!

看房请务必提前致电销售确认时间,只有预约客户才能享受开发商提供的内部优惠以及专属的老客户推荐奖励!

We offer professional one-on-one enthusiastic service to help you select your ideal property from a professional perspective.

我们提供专业的一对一热情服务,助您以专业视角挑选理想的房产。

Jin Qiao Bi Yun Li Yue Sales Office Tel: ☎ : 400-8558-224 Reservation ☎

金桥碧云澧悦售楼处电话☎:400-8558-224【预约☎】

Iv. Price and Sales

四、价格与销售

Average price ‌ : 56,000 yuan per square meter, total price range 4.3-9.65 million yuan, one price per house.

均价‌:5.6万元/㎡,总价区间430-965万元,一房一价。

Available units for sale ‌ : The second phase will be added in May 2024. Currently available are 99㎡ (low floor), 135-139㎡ (mid low floor), and 165㎡ four-bedroom units.

在售房源‌:二期于2024年5月加推,当前可选99㎡(低楼层)、135-139㎡(中低楼层)及165㎡四居。

Loan policy ‌ : 25% down payment for second homes.

贷款政策‌:二套房首付比例2.5成。

V. User Reviews

五、用户评价

Advantages ‌ : Better value for money than competitors in the surrounding area, recognized for low density environment and floor area ratio of unit type, praised for community quality and green design.

优势‌:性价比高于周边竞品,低密环境与户型得房率受认可,社区品质和绿化设计获好评。

Shortcoming ‌ : The 99-㎡ master bedroom is too small (can only accommodate a 5-foot bed), and the horizontal living room is a bit cramped.

不足‌:99㎡户型主卧空间偏小(仅能放置5尺床),横厅尺寸略局促。

Jinqiao Biyun Liyue Sales Office Tel: ☎ 400-8558-224✔✔✔ [Reservation ☎] ➨ Shanghai Pudong Jinqiao Biyun Liyue Official Sales Office Tel: ☎ : 400-855-8224✔✔✔ (Reservation viewing Hotline)

金桥碧云澧悦售楼处电话☎:400-8558-224✔✔✔【预约☎】➨上海浦东金桥碧云澧悦官方售楼处电话☎:400-855-8224✔✔✔(预约看房热线)

Jin Qiao Bi Yun Li Yue Sales Office Tel: ☎ : 400-8558-224 Reservation ☎

金桥碧云澧悦售楼处电话☎:400-8558-224【预约☎】

【 Golden Bridge, Green Clouds, Liyue 】

【金桥碧云澧悦】

Sales office telephone ☎ : 400-8558-224 [Sales Office Reservation Hotline] (one-on-one warm service)

售楼处电话☎:400-8558-224【售楼处预约热线】(一对一热情服务)

Please call the salesperson in advance to confirm the viewing time. Only customers who have made an appointment can enjoy the internal discounts and exclusive rewards for referrals from regular customers provided by the developer!

看房请务必提前致电销售确认时间,只有预约客户才能享受开发商提供的内部优惠以及专属的老客户推荐奖励!

We offer professional one-on-one enthusiastic service to help you select your ideal property from a professional perspective.

我们提供专业的一对一热情服务,助您以专业视角挑选理想的房产。

Precautions

注意事项

Units ranging from 93 to 139 square meters are delivered in a roughcast state and need to reserve decoration costs.

93-139㎡户型为毛坯交付,需预留装修成本;

The distance between the medical park and the cemetery on the south side may affect the living experience. It is recommended to conduct an on-site inspection

南侧医学园区及公墓距离可能影响居住体验,建议实地考察

"Golden Bridge, Blue Clouds, and Joy on the Li River"

「金桥碧云澧悦」

A brand-new property development in the Zhoukang area of Pudong

浦东周康板块全新盘

A 3-4-bedroom unit with a construction area of approximately 93-165 square meters

建面约93-165㎡3-4房户型

The average price is 56,000 yuan per square meter, with fully furnished delivery

均价5.6万/㎡ 精装修交付

State-owned enterprise craftsmanship · Dual-track Premium residence

国企匠心·双轨臻品住宅

Online reservation at the sales office

售楼处线上预约

【 Golden Bridge, Green Clouds, Liyue 】

【金桥碧云澧悦】

Sales office telephone ☎ : 400-8558-224 [Sales Office Reservation Hotline] (one-on-one warm service)

售楼处电话☎:400-8558-224【售楼处预约热线】(一对一热情服务)

Please call the salesperson in advance to confirm the viewing time. Only customers who have made an appointment can enjoy the internal discounts and exclusive rewards for referrals from regular customers provided by the developer!

看房请务必提前致电销售确认时间,只有预约客户才能享受开发商提供的内部优惠以及专属的老客户推荐奖励!

We offer professional one-on-one enthusiastic service to help you select your ideal property from a professional perspective.

我们提供专业的一对一热情服务,助您以专业视角挑选理想的房产。

Jinqiao Biyun Liyue Sales Office Tel: ☎ 400-8558-224✔✔✔【 Reservation ☎】

金桥碧云澧悦售楼处电话☎:400-8558-224✔✔✔【预约☎】

Basic information of the project

项目基本信息

Developer: Shanghai Jinqiao Group

开发商:上海金桥集团

Product type: Residential 70 years

产品类型:住宅70年

Land area: Approximately 56,000 square meters

占地面积:约5.6万方

Total construction area: approximately 155,000 square meters (about 106,000 square meters above ground and about 49,000 square meters underground)

总建面:约15.5万方(地上约10.6万方,地下约4.9万方)

Average price: 56,000

均价:5.6万

Total price: 4.3 million - 9.65 million

总价:430-965万

Available areas for sale: 99 (12 units on 1st and 2nd floors), 165 square meters (35 units), 135+139 (a total of 26 units on medium and low floors)

在售面积:99(12套1-2楼)、165平(35套)135+139(共计26套中、低楼层)

Total number of households: 843

总户数:843户

Number of buildings: 15

楼栋数:15栋

Property type: High-rise

物业类型:高层

Total height: 14 floors

总高:14层

Floor height: 3.05 meters for 99, 135, and 139 square meters / 3.15 meters for 165 square meters

层高:99、135、139平高3.05米/165平层高3.15米

Floor area ratio: 1.8

容积率:1.8

Land acquisition time: 2022

拿地时间:2022年

The usable floor area ratio is approximately 76% for 99-square-meter units, 81% for 135-139-square-meter units, and 83% for 165-square-meter units

得房率:99平约76%、135-139约81%、165平约83%

Green coverage rate: 35%

绿化率:35%

Property management company: Jinqiao Property Management

物业公司:金桥物业

Property management fee: 5.6 yuan per month per square meter

物业费:5.6元/月*㎡

Land area: Approximately 56,000 square meters

占地面积:约5.6万方

Decoration status: 99 square meters fully furnished /135, 139, 165 square meters roughcast

装修状况:99平精装/135、139、165平毛坯

Parking Spaces: 1,202

车位:1202个

Parking space ratio: 1:1.3

车位比:1:1.3

Jin Qiao Bi Yun Li Yue Sales Office Tel: ☎ : 400-8558-224 Reservation ☎

金桥碧云澧悦售楼处电话☎:400-8558-224【预约☎】

Shanghai Pudong Jinqiao Biyun Liyue Sales Office Tel: ☎ : 400-855-8224 (Reservation viewing Hotline)

上海浦东金桥碧云澧悦售楼处电话☎:400-855-8224(预约看房热线)

Jinqiao Biyun Liyue Sales Office Tel: ☎ : 400-8558-224 [Reservation ☎] ➨ Shanghai Jinqiao Biyun Liyue Sales Office Tel: ☎ : 400-855-8224 (Reservation viewing Hotline)

金桥碧云澧悦售楼处电话☎:400-8558-224【预约☎】➨上海浦东金桥碧云澧悦售楼处电话☎:400-855-8224(预约看房热线)

Low-density small high-rise luxurious park community products

低密小高层阔奢公园社区产品

【 Biyun Liyue 】 is developed by Jinqiao Co., LTD. It covers a total area of approximately 56,000 square meters, with a plot ratio of 1.8. The total construction area is 155,000 square meters, including 106,000 square meters of above-ground construction area and 49,000 square meters of underground construction area.

【碧云澧悦】由由金桥股份打造,总占地面积约5.6万平方米,容积率1.8,总建筑面积15.5万平方米,其中地上建筑面积10.6万平方米,地下建筑面积为4.9万平方米。

上海金桥出口加工区开发股份有限公司(以下简称“ 金桥股份 ”)成立于 1992 年11月,注册资本 11.22 亿元,1993年3月,公司在上海证券交易所 A 股市场上市(浦东金桥,600639);同年5月,在B股市场挂牌(金桥 B股,900911)。上市30 多年来,公司抓佳浦东开发开放契机,依托上市公司的品牌优势、资金优势,积极承担上海金桥自由贸易试验区范国内的开发建设、招商引资、产业发展和载体运营管理着力打造产城融合的示范园区。2015 年6月,按照浦东新区国资国企改革要求,金桥股份作为首批改革试点企业之一,成为浦东新区直属企业。

金桥碧云澧悦售楼处电话☎:400-8558-224✔✔✔【预约☎】

上海浦东金桥碧云澧悦官方售楼处电话☎:400-855-8224✔✔✔(预约看房热线)

展望末来,金桥股份将按照“新兴城区开发运营商”的总体定位,深耕金桥、走向市场,不断巩固和提升国有上市公司的地位和作用,将金桥开发区建设成为宜居宜业的现代化城区。

【碧云澧悦】项目打造了清一色的总高11-14层的高层社区,容积率仅1.8,拥有疏阔楼间距,与市面上高层新房普遍容积率2.2-2.5相比,更大程度上拉开了楼间距,优化视野和采光,居住体验更加舒适!

金桥碧云澧悦售楼处电话☎:400-8558-224【预约☎】

示意图,仅供参考

社区大门完全区分人行、车行入口,人行入口采用石材与玻璃搭配设计,大气恢弘!门厅景观水院精致高级,入户仪式感满满!

金桥碧云澧悦售楼处电话☎:400-8558-224✔✔✔【预约☎】➨上海浦东金桥碧云澧悦官方售楼处电话☎:400-855-8224✔✔✔(预约看房热线)

金桥碧云澧悦售楼处电话☎:400-8558-224【预约☎】➨上海浦东金桥碧云澧悦售楼处电话☎:400-855-8224(预约看房热线)

示意图,仅供参考

车行入口也设计了保安门岗,业主驾车入库安全有保障!车库地下入户大堂也是设计感十足!

【金桥碧云澧悦】

售楼处电话☎:400-8558-224【售楼处预约热线】(一对一热情服务)

看房请务必提前致电销售确认时间,只有预约客户才能享受开发商提供的内部优惠以及专属的老客户推荐奖励!我们提供专业的一对一热情服务,助您以专业视角挑选理想的房产。

项目精心规划“一环一轴三园”,于建筑中另辟一方天地,以绿意包裹整个小区,打造绿氧环绕的公园住区。漫步在花园小径,呼吸新鲜氧负离子,在自然中享受阳光微醺和清新绿意,在生机盎然中安享静谧。

金桥碧云澧悦售楼处电话☎:400-8558-224【预约☎】用极简主义描摹生活美学概念打造项目外观,在上世纪的德国建筑大师密斯·凡德罗,“Less is more.”的极简主义审美驱动下,项目规划以简约流线型线条为主脉络,框体结构搭配层叠横向线条,辅以庄重典雅的淡色玻璃,从而营造隐而不喧的优雅色彩,简约的设计更能呈现丰富的内涵,细节的掌控凸显匠心的品质。

售楼处电话:400-886-1552

案场预约制 看房需提前来电预约登记

温馨提示:点击上方号码可直接拨打电话

请务必致电与销售确认时间,仅预约客户可进入销售现场,感谢您的支持

金桥碧云澧悦售楼处电话☎:400-8558-224【预约☎】

上海浦东金桥碧云澧悦售楼处电话☎:400-855-8224(预约看房热线)

奢阔空间绘就品质人居:公园住区,因低密而愈加纯粹,项目以1.8的低容积率,塑造低密人居空间的舒适尺度,疏阔的楼间距,邀阳光与风景入席,避免楼宇间贴合感,推窗即风景,给予生活更多留白。金桥碧云澧悦售楼处电话☎:400-8558-224【预约☎】

金桥碧云澧悦售楼处电话☎:400-8558-224【预约☎】➨上海浦东金桥碧云澧悦售楼处电话☎:400-855-8224(预约看房热线)

产品方面,项目规划建面约93-165㎡四种主力户型,家族的生活奢想在此皆有可能。项目二期加推394套房源!

约93㎡ 3房2厅2卫▼

U形厨房设计,动线合理,煎炒烹炸空间充足。

客、餐厅联通绰约尺度阳台,促进家人间沟通交流。

主卧套房设计,隐私性较好,飘窗设计更有效延申室内空间,也可以作为休闲区域使用,收纳空间设计的也比较充足,切实考虑年轻人买买买的购物习惯。

双次卧均设计了衣帽收纳空间居住舒适度较高。

270度转角阳台更是设计了洗衣空间,非常实用!

约99㎡ 3房2厅2卫▼

入户玄关设计有效隔离室内外空间,增添归家仪式感,玄关处还设计了收纳空间,细节满满!

次卫三段式分离设计干湿分离的同时还能有效避免使用冲突,可见开发商的匠心考虑。金桥碧云澧悦售楼处电话☎:400-8558-224【预约☎】

动静分区设计;主卧套房设计隐私性更强;在玄关、厨房、卫浴等功能区域,充分考量生活场景细节,随时随地满足收纳所需,细节满分!

金桥碧云澧悦售楼处电话☎:400-8558-224【预约☎】➨上海浦东金桥碧云澧悦售楼处电话☎:400-855-8224(预约看房热线)

约135㎡ 3房2厅2卫▼

此户型可以说是改善人群非常喜欢的户型,建面约135㎡3房2厅2卫设计,动静分区,四开间朝南,各空间尺度奢阔,还有一个超大面宽的景观阳台,实现功能性和舒适度兼得。

金桥碧云澧悦售楼处电话☎:400-8558-224【预约☎】➨上海浦东金桥碧云澧悦售楼处电话☎:400-855-8224(预约看房热线)

约165㎡ 4+1房2厅2卫▼

装修标准参考:

外立面:真石漆+少量铝板+格栅+金属包边+楼顶光伏板、没有连廊

阳台门窗:三玻两腔、未封阳台

三大件:中央空调、地暖、没有 新风

客厅:岩板背景墙

入户:玄关柜

厨房:西门子(抽烟烟机 燃气灶 烤箱)、吊柜、底柜、操作台

卫生间:台盆柜、镜面柜、杜拉维特马桶、汉斯格雅花洒(具体交付标准以预售合同为准)

样板实景图▼

【金桥碧云澧悦】

售楼处电话☎:400-8558-224【售楼处预约热线】(一对一热情服务)

看房请务必提前致电销售确认时间,只有预约客户才能享受开发商提供的内部优惠以及专属的老客户推荐奖励!我们提供专业的一对一热情服务,助您以专业视角挑选理想的房产。

金桥碧云澧悦售楼处电话☎:400-8558-224【预约☎】

上海浦东金桥碧云澧悦售楼处电话☎:400-855-8224(预约看房热线)

金桥碧云澧悦售楼处电话☎:400-8558-224【预约☎】

项目区位配套

【碧云澧悦】项目位于浦东周浦镇,在《上海市浦东新区国土空间总体规划(2017-2035)》中,再次重点强调了周浦的定位:至2035年,发展成为凝聚科创力量,充满人文气息的“魅力小上海”,依托张江科学城,形成以医疗服务、电子商务和时尚创意为主导产业,宜居宜业的综合型城镇。

金桥碧云澧悦售楼处电话☎:400-8558-224✔✔✔【预约☎】➨上海浦东金桥碧云澧悦官方售楼处电话☎:400-855-8224✔✔✔(预约看房热线)

【交通配套方面】:距离16号线周浦东站约1.8公里、18号线繁荣路站约2.6公里。金桥碧云澧悦售楼处电话☎:400-8558-224【预约☎】

【商业配套方面】:3km范围内有万达广场,小上海步行街,绿地缤纷广场,印象生活广场等商业中心。

【教育资源方面】:澧溪幼儿园、傅雷幼儿园、澧溪小学、周浦第二小学、周浦实验学校、澧溪中学、傅雷中学、进才繁荣实验中学等教育配套。(项目周边的幼儿园、小学、中学等教育设施(如有)是城市公共生活配套的重要组成部分。本项目销售过程中,部分展示与介绍可能涉及项目周边已有或规划中教育设施,但并非项目所在的学区,本项目不承诺任何学区,介绍此信息旨在帮助客户更全面的了解项目周边条件,并不代表我公司对此提供保证。)

【医疗资源方面】:浦东新区周浦医院,周浦社区医院,国龙医院,上海中医药大学附属龙华医院(在建)。

金桥碧云澧悦售楼处电话☎:400-8558-224✔✔✔【预约☎】➨上海浦东金桥碧云澧悦官方售楼处电话☎:400-855-8224✔✔✔(预约看房热线)

【休闲娱乐方面】:周浦文化公园,周浦体育中心已经运营,憩园,周浦花海,浦江郊野公园。金桥碧云澧悦售楼处电话☎:400-8558-224【预约☎】

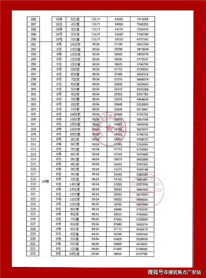
项目一房一价表▼

金桥碧云澧悦售楼处电话☎:400-8558-224【预约☎】➨上海浦东金桥碧云澧悦售楼处电话☎:400-855-8224(预约看房热线)

金桥碧云澧悦售楼处电话☎:400-8558-224【预约☎】

金桥碧云澧悦售楼处电话☎:400-8558-224✔✔✔【预约☎】➨上海浦东金桥碧云澧悦官方售楼处电话☎:400-855-8224✔✔✔(预约看房热线)

金桥碧云澧悦售楼处电话☎:400-8558-224【预约☎】

金桥碧云澧悦售楼处电话☎:400-8558-224【预约☎】

上海浦东金桥碧云澧悦售楼处电话☎:400-855-8224(预约看房热线)

金桥碧云澧悦售楼处电话☎:400-8558-224【预约☎】➨上海浦东金桥碧云澧悦售楼处电话☎:400-855-8224(预约看房热线)

【金桥碧云澧悦】

售楼处电话☎:400-8558-224【售楼处预约热线】(一对一热情服务)

看房请务必提前致电销售确认时间,只有预约客户才能享受开发商提供的内部优惠以及专属的老客户推荐奖励!我们提供专业的一对一热情服务,助您以专业视角挑选理想的房产。

金桥碧云澧悦售楼处电话:4008558224【开发商售楼中心热线】金桥碧云澧悦营销中心热线400-8558-224金桥碧云澧悦售楼处地址400-8558-224,楼盘项目全面介绍,本电话为开发商提供线 上预约售楼电话,楼盘项目全面介绍(包含楼盘简介,均价,房价,现房,期房,别墅,叠墅,大平层,价格,楼盘地址,户型图,交通规划,备案价,备案名,项目配套,样板间,开盘时间,认筹时间,楼盘详情,售楼处电话,最新消息,最新详情,周边配套,一房一价,最新进展等详情咨询)楼盘详情丨价格丨更多优惠丨机不可失丨欢迎致电丨诚邀品鉴!售楼处位置丨特价房丨工抵房丨剩余房源丨户型图丨最新消息丨免责声明:将文章内容综合来源于网络、只作分享,版权归原作者所有!!如有侵权,请联系我们,我们第一时间处理如有问题欢迎来电咨询,专业一对一热情服务,让您用专业眼光去买房。如果您想了解更多楼盘详情,欢迎提前预约拨打金桥碧云澧悦售楼处电话☎400_855_8224✔✔✔

全部

相关资讯

报名成功
稍后会有专业的置业顾问联系您
返回楼盘

频道导航

返回首页

看房小程序

APP下载

电话拨通后,请您手动拨打分机号

确定拨打电话

电话号码:

分机号:(可能需要拨分机号)