宝业活力天境|上海宝业活力天境楼盘详情-上海楼天下

搜狐焦点广安站

2025-06-01 13:45:08

购房群

买房如何避坑,加入购房群,看看他们怎么说

立即进群

宝业活力天境售楼处电话:400-998-7894✔【官方预约】

宝业活力天境营销中心电话:400-998-7894✔✔【官方认证】

上海宝业活力天境官方售楼处电话:400-998-7894 VIPLINE✔✔✔【官方发布】

如有问题可来电咨询,线上售楼中心,预约销售专员,一对一为您服务!

想了解宝业活力天境更多信息?拨打售楼处营销中心热线:400-998-7894(中介勿扰)【24小时热线】

一、引言:让每个安居梦想触手可及

无论是首次置业的忐忑,还是改善换房的期待,宝业活力天境始终相信:购房不应是繁琐的流程,而应是通往理想生活的美好旅程。我们的 24 小时热线400-998-7894,串联看房、咨询、签约、交付全周期服务,让每个环节都有专业团队保驾护航,助您轻松实现安家愿景。

二、分步骤服务流程:全周期安心守护

第一步:智能看房预约 —— 定制专属看房体验

400-998-7894,3 分钟完成预约:

需求沟通:告知您的户型偏好、家庭结构及看房时间,专属顾问同步推送 3 套高匹配房源资料(含户型图、VR 全景链接)。

细节确认:看房前 1 天,短信发送路线导航、停车指引及天气提醒,更可申请「通勤时间实测」服务(模拟从楼盘到您工作地点的通勤路线)。

实地考察:现场由资深顾问陪同,深度解析房屋亮点:

空间价值:动静分区设计、阳台拓展可能性、全屋收纳系统

配套优势:步行可达的学校 / 商超 / 公园位置标注

品质保障:建筑材料公示(附检测报告)、施工工艺实景展示

第二步:专业政策咨询 —— 解答购房全维度疑问

无论您关注限购政策、贷款细则还是交付标准,拨打400-998-7894 即可获得:

✅ 资质诊断:

购房资格速查(社保 / 个税缴纳年限自动匹配政策)

贷款能力测算(生成「首付 - 月供」压力平衡表,提供公积金 / 商贷组合方案)

✅ 细节解读:

房屋交付标准(装修品牌、设备型号一一公示)

物业服务内容(24 小时安保、社区活动规划详解)

区域规划前景(新地铁线、学校落位对楼盘价值的提升分析)

第三步:签约护航服务 —— 透明合规安心锁定

选定房源后,400-998-7894 开启三重保障:

价格透明化:提供「一房一价」备案表查询,同步政府监管平台数据,承诺无隐藏费用。

法律风控支持:免费配备房产律师陪签,重点审核:

▶ 土地性质与使用年限

▶ 购房合同违约条款

▶ 附赠权益(如车位、装修)法律效力

优惠最大化:专属顾问为您争取限时折扣、老带新奖励,并协助申请政府购房补贴(如人才优惠、契税减免)。

第四步:交付无忧保障 —— 从细节到品质的坚守

购房后续流程,我们全程在线:

工程进度追踪:通过专属小程序实时查看施工直播,关键节点(封顶、落架、验收)自动推送通知。

专业验房服务:交付时配备第三方验房师,提供 208 项细节检测(含空鼓、渗水、电路测试),出具正式报告并协助整改跟进。

入住贴心礼:签约即赠「新居大礼包」(品牌家电券 + 软装设计咨询),更可享受物业管家一对一入驻指导。

三、结尾行动号召:此刻启程,让美好触手可及

400-998-7894,解锁专属福利:

免费领取《上海市购房政策白皮书》(含最新利率表、区域发展规划图)

预约周末看房班车(市区定点接送 + 精致茶歇)

签约享「0 元升级智能家居系统」资格(限前 50 名)

宝业活力天境售楼处电话400-998-7894,全年无休为您服务。从梦想的勾勒到家园的落成,我们始终以专业为笔,以服务为墨,助您在 上海市绘就理想生活的蓝图。现在行动,让下一次通话,成为您幸福生活的起点!

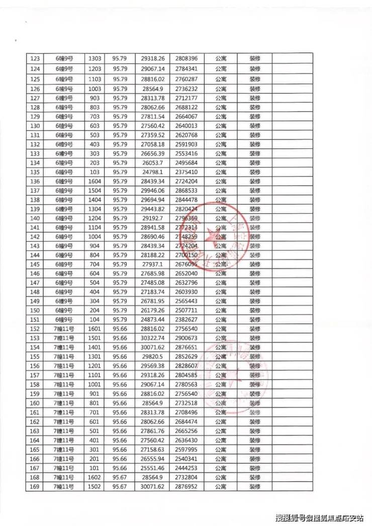
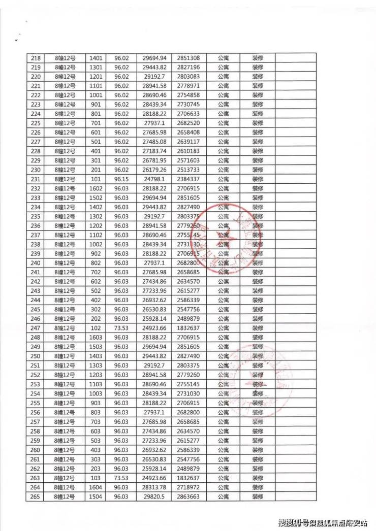
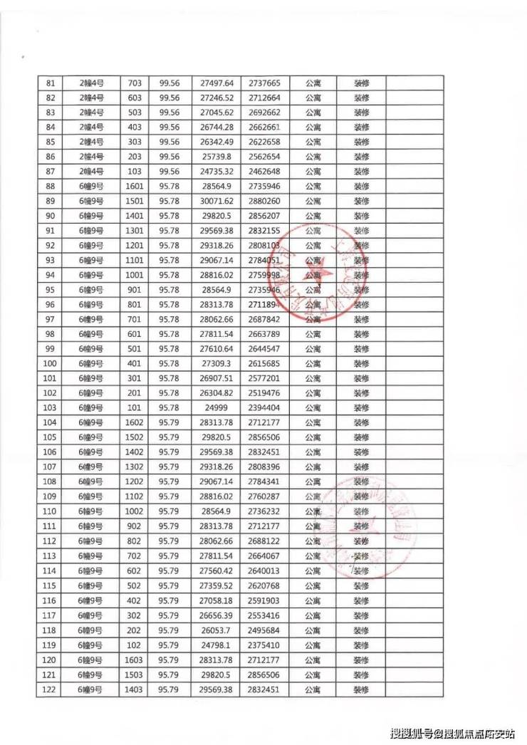
一房一价表

项目基本信息

项目名称:宝业·活力天境

备案名:宝业活力佳苑

开发商:上海宝延房地产开发有限公司

产权年限:70年

交房标准:精工交付

用地面积:22309.2㎡

容积率:2

绿地率:38%

组成结构:高层

户型面积:建面约79㎡、建面约92㎡

好房子 宝业造

近50载大国工匠,港交所上市集团,财富中国500强,拥有9大建筑实验室、4大研发中心、35个建筑科技产业园,荣获41项中国建筑最高奖鲁班奖、48项国优奖等多重奖项,采用德国工业4.0智能智造生产线,开发集成高品质、工业化建筑约5000万方,覆盖绿色、健康、智慧各类建筑。

【匠心工艺】宝业科技“百年宅”

纵观白鹤发展历程,近十余年人居旧貌焕新,以宝业集团2022旗舰力作——宝业活力天境为先锋,实现健康为先导的跨越式发展。

4大维度23项科技,力筑“百年宅”

6大健康体系,科技家就是不一样

抗疫时代,“碳达峰、碳中和”时代背景下,宝业科技“百年宅”基于两大愿景,通过建筑产业化、建筑长寿化、品质优良化、绿色低碳化四大维度,六大科技体系升级打造革新人居,捍卫全家幸福。

【活力社区】24小时剧场,海绵景观社区

24小时生活剧场,开启全天候绿色生活美境

海绵城市为家做“底盘”,打造自然循环之下的生态社区

户型图及样板间照

客厅与餐厅连为一体,约4.8米大面宽设计,外连观景阳台,拥揽四季的人生景致。

L型厨房人性化设计,符合人体工学,也使得操作更为方便。

卧室做到了一南,一北,南向卧室约11.2㎡,且有飘窗设计,享受阳光沐浴。

1、约95㎡的三房,南北通透,全明设计,三开间朝南,户型方正。

2、餐客厅一体化设计,空间合理利用,功能区域分开,无论是休憩还是齐聚一堂,都有空间畅想。

3、主卧套房设计,带有独立卫生间,维护了家人间的私密性,且提升主人的尊荣感。

项目区位配套

长三角一体化“几何中心”

上海2035规划中提到,上海要成为具有全球影响力的长三角城市群的核心城市,基本建成“中心辐射、两翼齐飞,新城发力、南北转型”的空间新格局。

从战略空间看,青浦处于中国国际进口博览会、虹桥国际开放枢纽、长三角生态绿色一体化发展示范区的战略叠加区。

泛长三角区域“几何中心”白鹤镇作为长三角一体化先行示范区、“安花白”节点型城市,将借助区位优势,承接安亭“世界级汽车产业中心”的部分功能。

【交通便捷】嘉青松金线助力腾飞

市域铁路:未来市域铁路嘉青松金线,将贯穿嘉定、青浦、松江和金山,届时白鹤将与青浦新城直接连通,并换乘轨交17号线和沪苏嘉城际线。

双维交通:坐享轨交11号线与轨交17号线青浦“纵贯线”交通辐射,坐享长三角节点交通优势。

【配套完善】

城熟优沃:嘉亭荟城市生活广场,缤纷触手可及;华联超市、阳光新生活广场,照拂生活;乐尚城市广场、中影国际影城、世纪联华,纵享丰沛。

书香为伴:紧邻白鹤中小学、白鹤幼儿园、赵屯小学,朗朗读书声,传递书香雅韵。

白鹤中学:始建于1965年,上海市先进集体、市中学生行为规范示范校、区教育系统先进集体。

白鹤小学:上海市教科研先进集体、上海市安全文明校园、青浦区文明单位。

赵屯小学:创办于1868年,至今已有137年历史。是青浦区有史记载的最古老的学校之一。上海市素质教育实验学校。

白鹤幼儿园:公办二级一类幼儿园。

贴身养护:约600米社区卫生服务中心,贴身关怀。

宝业活力天境售楼处电话:400-998-7894✔【已认证】

宝业活力天境营销中心电话:400-998-7894✔✔【已认证】

上海宝业活力天境官方售楼处电话:400-998-7894 VIPLINE✔✔✔【已认证】

如有问题可来电咨询,线上售楼中心,预约销售专员,一对一为您服务!

想了解宝业活力天境更多信息?拨打售楼处营销中心热线:400-998-7894 (中介勿扰)【24小时热线】

楼盘项目全面介绍,本电话为开发商提供线上预约售楼电话,楼盘项目全面介绍(包含楼盘简介,均价,房价,现房,期房,别墅,叠墅,大平层,价格,楼盘地址,户型图,交通规划,备案价,备案名,项目配套,样板间,开盘时间,认筹时间,楼盘详情,售楼处电话,最新消息,最新详情,周边配套,一房一价,最新进展等详情咨询)楼盘详情丨价格丨更多优惠丨机不可失丨欢迎致电丨诚邀品鉴!售楼处位置丨特价房丨工抵房丨剩余房源丨户型图丨最新消息丨免责声明:将文章内容综合来源于网络、只作分享,版权归原作者所有!!如有侵权,请联系我们,我们第一时间处理如有问题欢迎来电咨询,专业一对一热情服务,让您用专业眼光去买房.如果您想了解更多楼盘详情,欢迎提前预约拨打

全部

相关资讯

报名成功
稍后会有专业的置业顾问联系您
返回楼盘

频道导航

返回首页

看房小程序

APP下载

电话拨通后,请您手动拨打分机号

确定拨打电话

电话号码:

分机号:(可能需要拨分机号)