上海静安万科中兴傲舍售楼处电话:400-998-7894【预约热线】万科中兴傲舍售楼处营销中心:400-998-7894万科中兴傲舍售楼处电话/地址☎:400-998-7894(开发商热线)如有问题欢迎来电咨询,专业一对一热情服务,让您用专业眼光去买房。➤贵宾热线〢欢迎咨询〢提前预约可享内部优惠〢➤看房请务必致电与销售确认时间,仅预约客户可享受内部优惠,专属老带新推荐奖!
「万科中興傲舍」
静安内环内翡翠系豪宅
建面约100-350㎡房源
总价约1300万-6000万
全球顶尖设计师一线品牌豪装交付
样板房提前线上预约
万科中興傲舍售楼处电话:400-998-7894万科中興傲舍二期已开盘。本次开盘房源83套房源,均价约13.3万/㎡。共计99组认购,未触发积分制。开盘当天售出约68套,去化率约82%,开盘销售18.2亿,两月劲销68.2亿;三批次加推倒计时!
万科中興傲舍售楼处电话:400-998-7894
万科中興傲舍售楼处电话:400-998-7894
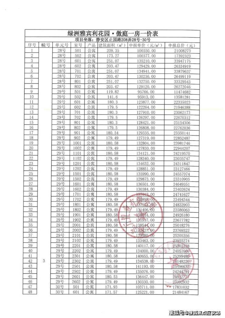
万科中兴傲舍一房一价表▼

万科中興傲舍售楼处电话:400-998-7894
项目基本信息
开发商:上海万科、北方集团
示范区:静安区止园路208弄2号
住宅套数:560套
层数:7-33层(实际住宅层数4-30层)
首开:4号5号楼共186套
加推:央景楼王3号楼共86套
主力面积:180/200/250/280平
联动价:13.3万/平
万科中興傲舍售楼处电话:400-998-7894
项目推售详情
【万科中興傲舍】万科中興傲舍售楼处电话:400-998-7894为开放式社区设计,采用空中花园将社区立体连接在一起:推出100㎡2房,140㎡2房、180㎡3-4房,250㎡4房。321㎡4房楼栋户型,前期建面约180-321㎡3-4房户型,仅剩余建面约276-321㎡户型在售,加推央景楼王2,6号楼建面约180-355㎡3-5房,产品分布如下
万科中興傲舍售楼处电话:400-998-7894
万科中興傲舍营销中心电话:400-998-7894
项目预计6月加推
预计105平2房66套总价1300到1500万左右
预计180平3房38套总价2300到2600万左右
预计330和350平60套总价4500到6000万左右
万科中興傲舍售楼处电话:400-998-7894
万科中興傲舍营销中心电话:400-998-7894
【万科中兴傲舍】三期户型面积段有建筑面积约100㎡2房,建筑面积约180㎡3房,建筑面积约330㎡4房,建筑面积约350㎡4+1房。
万科中興傲舍售楼处电话:400-998-7894