招商时代潮派售楼处电话:400-9939-964招商时代潮派官方电话:400-9939-964
上海松江招商时代潮派售楼处电话:400-9939-964
招商时代潮派售楼处电话:400-9939-964招商时代潮派官方电话:400-9939-964
上海松江招商时代潮派售楼处电话:400-9939-964松江泗泾9号线TOD神盘「招商时代潮派」正在热销中!推出建面约91㎡三房!
6站漕河泾 9站徐家汇
9号线泗泾站新一代超级TOD
自带商业,总体量约18.5万方
纯商业达到了约12.5万方
与地铁商场仅约200米
超高配装标招商时代潮派售楼处电话:400-9939-964招商时代潮派官方电话:400-9939-964
The sales office phone number of Shanghai Songjiang Investment Promotion Times Chaopai is: 400-9939-964
上海松江招商时代潮派售楼处电话:400-9939-964
"The Trendsetter of the Investment Promotion Era"
「招商时代潮派」
Buy a red-hot property in Songjiang with a down payment of 900,000 yuan
1首付90万买松江红盘
A hard-to-replicate opportunity to purchase property
难以复刻的置业良机
"Zhaoshang Shidai Chao Pai" is located in Sijing, Songjiang. It is a project in the Sijing area with a better location and closer proximity to the subway. Coupled with the support of TOD, the initial listing approval price is only 49,701 yuan per square meter, which is far lower than its overall linkage price of 51,000 yuan per square meter. The price can be said to be highly cost-effective!
「招商时代潮派」位于松江泗泾,是泗泾板块中位置更好、离地铁更近的项目,再加之TOD加持,且首发过会价仅需49701元/㎡,远远低于它的整盘联动价5.1万/㎡,价格可以说是极具性价比!
It is particularly worth mentioning!
特别值得一提的是!
A three-bedroom apartment of approximately 89 square meters in the project can be purchased with a down payment of only about 900,000 yuan. It is really very suitable for young people who are just starting their careers.
项目约89平的三房,首付仅需约90万即可入手,真的非常适合事业刚起步的年轻人。
Among the approximately 89-square-meter three-bedroom side suite units, this 270-degree corner bay window has attracted many people. It is also the one with the lowest starting total price among all the new houses in Shanghai that can achieve a 270-degree design!
在约89平三房边套户型中,这面270度的拐角飘窗吸引了很多人,这也是上海所有新房中能做到270度设计的户型中,起步总价更低的一个!
Sold out now!
现已售罄!
The sales office phone number of China Merchants Times Chao Pai is 400-9939-964. The official phone number of China Merchants Times Chao Pai is also 400-9939-964
招商时代潮派售楼处电话:400-9939-964招商时代潮派官方电话:400-9939-964
上海松江招商时代潮派售楼处电话:400-9939-964

招商时代潮派售楼处电话:400-9939-964招商时代潮派官方电话:400-9939-964
上海松江招商时代潮派售楼处电话:400-9939-964
创意展示间实景图,仅做展示,最终以交付效果为准
项目99平的户型,是项目的王炸主推户型,仅需约500万起即可上车。目前还在售!
招商时代潮派售楼处电话:400-9939-964招商时代潮派官方电话:400-9939-964
The sales office phone number of Shanghai Songjiang Zhaoshang Shidai Chao Pai is 400-9939-964. With so many new houses priced at 5 million yuan in Shanghai, why can "Zhaoshang Shidai Chao Pai" stand out among them and become an irreplaceable existence?
上海松江招商时代潮派售楼处电话:400-9939-964在上海500万级的新房那么多,为什么说「招商时代潮派」能从中脱颖而出并成为无法复刻的存在呢?
First of all, as the new generation of super TOD at Sijing Station on Line 9, it has approximately 185,000 square meters of commercial space. "Zhaoshang Shidai Chao Pai" is only about 200 meters away from the metro shopping mall in a straight line!
首先便是,作为9号线泗泾站新一代超级TOD,拥有着约18.5万方的商业,「招商时代潮派」与地铁商场直线仅约200米!
More importantly, it also enjoys a strong commuting convenience with 3 stops to Qibao, 6 stops to Caohejing and 9 stops to Xujiahui.
更重要的是,它还拥有着3站七宝、6站漕河泾、9站徐家汇的强大通勤便捷度。
This can be regarded as a top-notch presence among the 5 million-yuan-level real estate sectors in the entire city!
这在全市500万能级的置业板块中,都称得上是顶尖的存在!
The sales office phone number of China Merchants Times Chao Pai is 400-9939-964. The official phone number of China Merchants Times Chao Pai is also 400-9939-964
招商时代潮派售楼处电话:400-9939-964招商时代潮派官方电话:400-9939-964
The phone number of the sales office of Shanghai Songjiang Zhaoshang Times Chaopai is 400-9939-964. Secondly, there is the location. Looking at the entire city, most of the areas with a total price of 5 million yuan are almost at the border of Shanghai.
上海松江招商时代潮派售楼处电话:400-9939-964其次就是位置,放眼全市范围,500万级总价的板块,大多已经快到上海边境线了。
Centered on People's Square, Sijing holds an absolute advantage among these areas.
以人民广场为中心,泗泾在这些板块中占据绝对优势。
If the Xujiahui Sub-center or Xinzhuang Sub-Center is taken as the pivot point, the distance advantage from Sijing to the center is even more unshakable!
如果以徐家汇副中心或者莘庄副中心为圆点的话,泗泾到中心的距离优势更加不可撼动!

示意图,仅供参考
招商时代潮派售楼处电话:400-9939-964招商时代潮派官方电话:400-9939-964
The phone number of the Shanghai Songjiang Investment Promotion Times Trend Sales Office is 400-9939-964. Four stops west of Sijing Station, the highest unit price of new houses in Songjiang New Town is about 60,000 yuan per square meter.
上海松江招商时代潮派售楼处电话:400-9939-964泗泾站向西4站,松江新城新房单价最高看到约6万/㎡;
The new houses in Qibao, three stops east, have a unit price of over 80,000 yuan per square meter.
向东3站的七宝新房单价8万+/㎡;
All the new houses in the area further east have been defaulted on, and the total prices of second-hand houses are often in the tens of millions!
再往东的板块新房都断供了,二手房总价都是动辄千万级别!
Just looking at the Sijing area, the average transaction prices of second-hand second-hand houses around the project are mostly much higher than those of this project. This does not even include taxes and agency fees!
单看泗泾板块内,项目周边二手次新房成交均价大多比本项目高出不少,这还没算上税费、中介费!
For instance, despite the sluggish market at the end of last year, the transaction price of Sunac No.1 Mansion remained above approximately 55,000 yuan per square meter.
比如融创壹号公馆,去年年底行情这么低迷,成交价依旧保持差不多5.5万/平以上。
数据来源:上海链家网招商时代潮派售楼处电话:400-9939-964招商时代潮派官方电话:400-9939-964
上海松江招商时代潮派售楼处电话:400-9939-964
再翻阅早期成交价,接近7万/平!
数据来源:上海链家网
其他次新小区,比如泗泾大盘金地玺悦,二手房成交价也都在6.3-6.9万/㎡之间。


数据来源:上海链家网招商时代潮派售楼处电话:400-9939-964招商时代潮派官方电话:400-9939-964
The sales office phone number of Shanghai Songjiang Investment Promotion Times Chaopai is: 400-9939-964
上海松江招商时代潮派售楼处电话:400-9939-964
In conclusion, no matter how you compare, the initial listing price of 49,701 yuan per square meter of The Times Trend School has a more outstanding "competitiveness". It is basically very competitive in the Sijing area and even the five new towns!
总之不管怎么比较,时代潮派的首发过会价49701元/㎡的价格都有着更出色的“竞争力”,基本在泗泾板块,乃至五大新城非常抗打!
The last chance to own the prime location in Songjiang
2坐拥松江烫金地段的最后机遇
It's the right time for value to soar
价值腾飞正当时
According to the 2035 plan of Sijing, the community units of Sijing Metro Station have all been planned and completed!
根据泗泾2035规划来看,泗泾地铁站社区单元,已经全部规划完成!
The "Investment Promotion Era Trendsetter" can be regarded as the last major piece of the puzzle in the area and also the last opportunity to own the prime location in Songjiang!
「招商时代潮派」堪称板块的最后一块重磅拼图,也是坐拥松江烫金地段的最后机遇!
If I want to buy a house again in the future, I'm afraid I can only see second-hand ones!
之后若再想买房,恐怕只能二手见了!
The sales office phone number of China Merchants Times Chao Pai is 400-9939-964. The official phone number of China Merchants Times Chao Pai is also 400-9939-964
招商时代潮派售楼处电话:400-9939-964招商时代潮派官方电话:400-9939-964
The sales office phone number of Shanghai Songjiang Investment Promotion Times Chaopai is: 400-9939-964
上海松江招商时代潮派售楼处电话:400-9939-964
The source of the 2035 Plan for Sijing Town: Official website of Songjiang District Government
泗泾镇2035规划 来源:松江区政府官网
The arrival of the "trendsetter of the Investment promotion era" can be said to be aimed at disrupting the commercial facilities in the Sijing area.
「招商时代潮派」的到来,可以说是来颠覆泗泾板块商业设施的。
The sales office phone number of China Merchants Times Chao Pai is 400-9939-964. The official phone number of China Merchants Times Chao Pai is also 400-9939-964
招商时代潮派售楼处电话:400-9939-964招商时代潮派官方电话:400-9939-964
The sales office phone number of Shanghai Songjiang Investment Promotion Times Chaopai is: 400-9939-964
上海松江招商时代潮派售楼处电话:400-9939-964
It is not only a TOD super metropolis with a total construction area of approximately 500,000 square meters, featuring a waterfront international residential area and a built-in Garden city of about 185,000 square meters, which is the fifth garden city in Shanghai, but also plans cultural Spaces and hotels and other business formats. This scale is outstanding in the entire Line 9.
它不仅是一座TOD超级大城,总建面达到了约50万方,拥有滨水国际住区,自带约18.5万方的上海第5座花园城,还规划了文化空间+酒店等业态,这个体量在整个9号线都是佼佼者。
At the same time, it also elevates the "living experience" to another dimension, integrating the sense of atmosphere and the warmth of daily life.
同时,也将「居住体验」上升到了另一个维度,把氛围感和烟火气融为一体。
If it can attract the surrounding residents to come and consume here, then for the Sijing area, there is huge potential value.
可以虹吸周边居民到此来消费,那么对于泗泾板块来说,是有巨大的潜力价值。

招商时代潮派售楼处电话:400-9939-964招商时代潮派官方电话:400-9939-964
上海松江招商时代潮派售楼处电话:400-9939-964
商业方面,青浦奥特莱斯、山姆会员店、元祖梦世界,以及三湘商业广场、保利悦活荟、绿地云天坊、大润发、金地方邻等繁华商业,近享高配生活;
招商时代潮派售楼处电话:400-9939-964招商时代潮派官方电话:400-9939-964
上海松江招商时代潮派售楼处电话:400-9939-964
教育方面,松江二中、松江四中、泗泾实验学校、上师大附属实验学校、泗泾幼儿园、泗泾小学等优质教育资源环伺,智启孩子成长;(本宣传资料对项目周边幼儿园、学校等教育资源的介绍旨在提供相关信息,并不意味着本公司对就学安排作出承诺。)
招商时代潮派售楼处电话:400-9939-964招商时代潮派官方电话:400-9939-964
上海松江招商时代潮派售楼处电话:400-9939-964
背靠包括辰山植物园、月湖雕塑艺术公园、欢乐谷在内的佘山国家级旅游风景区,近临泗泾公园,超高负氧离子,让自然底色嵌入美好生活;
招商时代潮派售楼处电话:400-9939-964招商时代潮派官方电话:400-9939-964
上海松江招商时代潮派售楼处电话:400-9939-964..
3社区品质卷出天际
重金打造产品力王者
在这个诸多新盘“暴雷”“降标减配”的市场环境下,「招商时代潮派」却不惜重金打造产品,社区品质也是卷到极致,立志打造出板块新地标!
“超高颜值立面 · 沉淀历久弥新的惊艳”
招商时代潮派汲取极简主义的精髓,运用简约线条精心塑造建筑的轻盈感与未来感,旨在打造一处兼具现代审美与实用价值的建筑典范。特别设计的鎏金穹顶,以其独特的艺术魅力为城市天际线勾勒出一道历久弥新的美学符号,彰显了项目的品质与品味。招商时代潮派售楼处电话:400-9939-964招商时代潮派官方电话:400-9939-964
The sales office phone number of Shanghai Songjiang Investment Promotion Times Chaopai is: 400-9939-964
上海松江招商时代潮派售楼处电话:400-9939-964
"Triple Homecoming Routes · Exquisite Haute Couture Life Etiquette"
“三重归家动线 · 匠心高定生活礼仪”
In terms of the sense of homecoming ceremony, "China Merchants Times Trend School" has meticulously planned three homecoming routes.
在归家仪式感方面,「招商时代潮派」精心规划三重归家动线。
The main entrance of the community is designed as a hotel-style island-circling homecoming, complemented by a vibrant spring water feature, creating a more respectful homecoming ceremony. This allows the residents to feel the sense of dignity and warmth at the moment they return home.
社区主入口设计酒店式环岛归家,辅以活力四溢的涌泉水景,营造出更尊崇的归家仪式感,让业主在归家的瞬间感受到尊贵与温馨。
The entrance foyer features an arc-shaped suspended ceiling, providing the owner with a gentle and warm home-returning care, making every step of the journey home filled with comfort and ease.
入户门厅以弧形悬浮顶棚为特色,为业主带来柔和温润的归家关怀,让归家的每一步都充满舒适与惬意。

In addition, the project features two fully furnished lobbies both above and below ground, and the underground garage is directly accessible by elevator, providing the owners with a convenient and efficient travel experience. At the same time, it also highlights the noble quality of the utmost concierge ceremony.
此外,项目还设有地上地下双精装大堂,地下车库电梯直达,为业主提供便捷高效的出行体验,同时也彰显了极尽礼宾仪式的尊贵品质。
The sales office phone number of China Merchants Times Chao Pai is 400-9939-964. The official phone number of China Merchants Times Chao Pai is also 400-9939-964
招商时代潮派售楼处电话:400-9939-964招商时代潮派官方电话:400-9939-964
The sales office phone number of Shanghai Songjiang Investment Promotion Times Chaopai is: 400-9939-964
上海松江招商时代潮派售楼处电话:400-9939-964
"Four elevated Floors - All-age Social Spaces Right under Your Home"
“四大架空层 · 家楼下的全龄社交空间”
Zhaoshang Times Chaopai has carefully arranged multiple elevated floor areas within the community, covering four core functional modules: leisure and reception, social negotiation, children's entertainment and reading room. It brings social Spaces suitable for all age groups to the owners and creates a more warm and harmonious living atmosphere.
招商时代潮派在社区内部精心布局了多个架空层区域,涵盖休闲会客、社交洽谈、儿童娱乐及阅读室四大核心功能模块,为业主带来适合全龄段的社交空间,营造更加温馨和谐的生活氛围。

“方寸之间尽显匠心· 全龄居住品质标杆 ”招商时代潮派售楼处电话:400-9939-964招商时代潮派官方电话:400-9939-964
上海松江招商时代潮派售楼处电话:400-9939-964
「招商时代潮派」的高品质产品力其实并不仅仅只体现在社区景观规划之内,户型及品质上的表现也十分优异!
最新户型如下
样板间实景:
招商时代潮派售楼处电话:400-9939-964招商时代潮派官方电话:400-9939-964
极简美学被诠释得淋漓尽致,却又不受任何既定规则的束缚。它就如同潺潺溪流,顺应着居住者内心的向往流淌。
在这套大平层中,灰白色调宛如灵动的舞者,在空间中尽情舞动,将极致美学展现得酣畅淋漓。


纯粹的背景色调无疑是空间的神来之笔。它就像一张素净的画布,为各式家具的展示搭建起了一个绝佳舞台。




躺椅、沙发与单人椅的选择别具匠心。它们融合了业主独特的审美眼光,宛如一个个灵动的音符,将个性巧妙地融入到日常的人居生活之中。




那些巧妙点缀其间的摆设物件,恰似夜空中闪烁的繁星,让整个空间熠熠生辉。

波浪形的吊顶无疑是空间的一大亮点。它以优雅的姿态起伏,为整个空间赋予了柔美的质感,仿佛微风拂过湖面,泛起层层涟漪。






当夜幕的深沉缓缓褪去,纯粹的白色重新成为空间的主调。那洁净无瑕的白,宛如温柔的怀抱,重新拥住了空间里的温暖。




嵌入墙面的壁龛以其对称式的设计,瞬间提升了空间的格调。那工整有序的布局,带来一种大气磅礴的视觉冲击,仿佛在无声地诉说着设计的精妙与不凡。


无主灯设计堪称绝妙之笔。没有了主灯的集中照明,光线以更为柔和、均匀的方式散布在空间各处,让整个卧室看起来格外通透,仿佛没有了边界的束缚。






极简风格贯穿始终,完美诠释了这种独特的生活态度。在这里,没有过多的装饰与繁杂的元素,每一处设计都恰到好处,以简洁的线条和纯粹的色彩勾勒出空间的轮廓。
上海松江招商时代潮派售楼处电话:400-9939-964
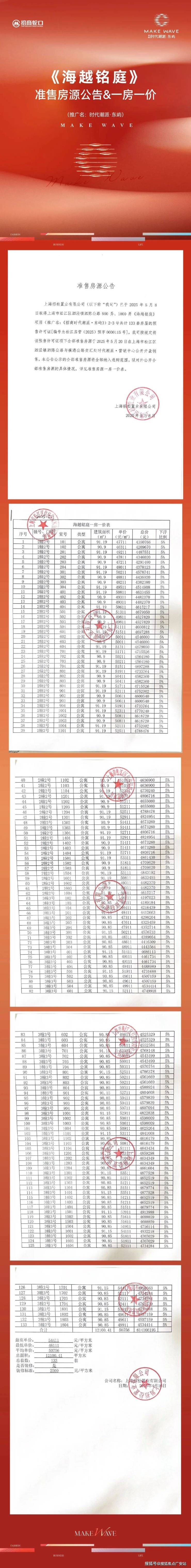
一房一价表如下:
招商时代潮派售楼处电话:400-9939-964招商时代潮派官方电话:400-9939-964
上海松江招商时代潮派售楼处电话:400-9939-964
招商时代潮派售楼处电话:400-9939-964招商时代潮派官方电话:400-9939-964
上海松江招商时代潮派售楼处电话:400-9939-964
买房前必须了解的基本概念
#1. 五证齐全才能买
在购买新房时,一定要确认开发商是否具备“五证”:
《国有土地使用证》
《建设用地规划许可证》
《建设工程规划许可证》
《建筑工程施工许可证》
《商品房预售许可证》
如果开发商五证不全,房子可能存在产权问题,甚至无法办理房产证。
#2. 公摊面积 vs 套内面积
公摊面积:包括电梯、楼梯、走廊等公共区域,这部分面积会计入购房总价。
套内面积:实际可使用的居住面积。
买房时要问清楚公摊比例,一般高层住宅的公摊在20%-30%之间,过高则意味着实际得房率低。
#3. 容积率 & 绿化率
容积率= 总建筑面积 / 用地面积,数值越低,居住舒适度越高。
绿化率 ≥ 30% 的小区环境较好。
贷款买房,这些细节要注意
#1. 首付比例 & 房贷利率
首付比例:首付15%。
房贷利率:LPR(贷款市场报价利率)浮动
目前首套房利率
住宅首套:LPR3.6%-60BP=3.0%
住宅二套:LPR3.6%-50BP=3.1%
公积金首套:2.85%
公积金二套:3.325%
公寓类商贷:LPR3.6%+60BP=4.2%(2025年数据)。
#2. 等额本金 vs 等额本息
等额本金:月供逐月递减,总利息较少,适合收入较高的人群。
等额本息:月供固定,前期利息占比高,适合收入稳定的上班族。
#3. 征信记录很重要
银行审批房贷时,会查看个人征信记录。如果有信用卡逾期、网贷未还等情况,可能会影响贷款审批,甚至导致利率上浮。
二手房交易避坑指南
#1. 查清产权状况
确认房产证是否真实,是否存在抵押、查封等情况。
如果是共有产权房,需所有产权人签字同意才能交易。
#2. 税费计算
契税:(1%-3%)
(家庭首套房140㎡以下1%,140㎡以上1.5%)
(家庭二套房140㎡以下1%,140㎡以上2%)
(家庭三套及以上住宅统一3%)
(非普通住宅3%)
增值税:满2年免征,不满则按5.3%征收。
个人所得税:满五唯一免征,否则按1%征收。
#3. 中介费
一般费用为房价的1%,可以适当谈判
(可以看另一篇文章看着给-二手房客户佣金模式)
交房验房注意事项
#1. 验房重点检查
墙面、地面是否有裂缝、空鼓。
门窗是否密封良好,开关顺畅。
水电是否正常,防水是否合格。
#2. 收房文件
《住宅质量保证书》
《住宅使用说明书》
《竣工验收备案表》