松江华发海上都荟售楼处热线;4009665004(官方统一电话)松江华发海上都荟官方售楼处电话;4009665004(预约看房热线)松江华发海上都荟咨询热线:4009665004(享限时高额返现)【松江华发海上都荟400-966-5004√√√24小时预约热线】松江华发海上都荟售楼处电话:400-966-5004一对一松江华发海上都荟热情服务热线:400-966-5004(了解最新优惠)开盘时间优惠力度交付时间300万-500万新房怎么选?更多优惠楼盘详情?
温馨提示:看房务必致电与销售确认时间,可获取新房特价房/工抵房,以及售楼部最新折扣优惠!
华发海上都荟最新消息,双地铁轨交盘!均价约47380元/㎡!即将加推建面约81-123㎡高层&叠加!
「华发海上都荟」
松江洞泾新城板块
及建面约81-123㎡叠墅
9、12号线双轨交地铁盘
过会均价47380元/㎡!
总价高层300万起叠墅516万起
01.
项目开发商介绍
国企巨擘百强企业【华发股份,匠心43载】珠海华发实业股份有限公司(简称:华发股份,股票代码:600325)是承接华发集团房产开发版块的平台公司,组建于1992年,前身始创于1980年,拥有国家一级房地产开发资质,2004年成功在上海证券交易所挂牌上市。2017年起连续七年跻身《财富》“中国500强”榜单。

02.
项目基础信息
项目名称:华发海上都荟
开发商:华发集团板块:松江洞泾产品类别:高层,叠加总占地面积:130113.2㎡总建筑面积:427592.8㎡均价:5.9-5.2万总价段:高层300-500万,叠加500-940万建筑面积:高层101㎡、叠加90-136㎡本次开盘:315套
可售房源:高层,叠加
装修标准:高层装修,叠加毛坯容积率:2.1绿化率:35%拿地时间:2023年7月车位配比:1:1.25物业费:高层4.1元/月/平方,叠加5.1元/月/平方物业公司:华发物业交房时间:2026年6月30日(预计甲方还没明确时间)梯户比:高层1梯2户、叠加1梯2户
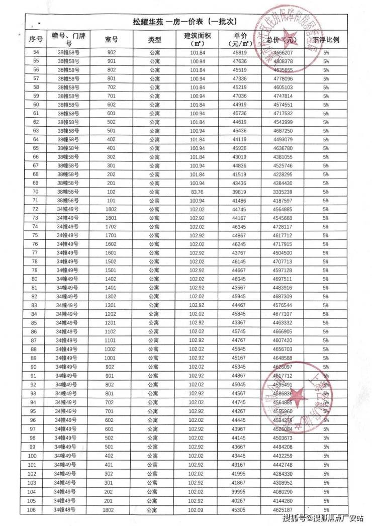
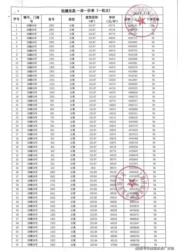
「一房一价表」

9/12号线西延伸(在建中)
双地铁口出行神盘!
刚需买房最关注的因素就是地铁。
原因很简单:地铁带来的不仅仅是通勤方便和资产保值,也代表着整个城市的发展脉络,导入大量的高端产业和人口,让整个板块发展后劲更足。
在去年入市的216个新房中(去重后),与地铁直线距离500米以内的地铁房,仅占比1/4。
拥有双地铁更是罕见。放眼全市,目前外郊环在售/待售双轨交新盘有且仅有五盘。且价格都不低,百平三房需要600万级起步。华发·海上都荟5万/㎡的联动价,首开4.91万/㎡的均价,可以说是刚需置业的福音!
项目直线距离9号线洞泾站约400米,直线距离12号线洞泾站(西延伸线在建中)约500米。

一条南北走向的9号线,直达漕河泾、徐家汇等地区;
一条东西走向的12号线(西延伸段在建中),贯穿了包括莘庄、七宝、漕河泾、徐汇滨江、内环中央活动区、北外滩、东外滩一直到浦东金色中环带的金桥副中心。

双轨的优势不言自明,它能带动整个地区从单向睡城蜕变为交通枢纽型的区域,对吸引人才和产业发展极为重要,同时也意味着更大的升值潜力。
在整个松江,乃至整个沪西南地区都是独一家!
精工墅区
松江品质封面之作
这一次,由华发股份倾情打造,融入了华发优+体系5.0产品打造理念,给松江新城带来全新的品质标杆!
凭借造城的“六大黄金法则”,为上海即将兑现一座澎湃时代的合心之城一一华发·海上都荟,诸多差异化亮点,约2000㎡邻里空间配套、约1000㎡社区配套......让其在同价位新盘中找不到对手。

效果图,仅供参考
具有现代设计风格的外立面,以浅色涂料及灰色涂料搭配为主,门头局部采用石材及铝板,色彩以暖白色与香槟色为基调,端庄、高雅。

效果图,仅供参考
社区景观上,项目邀请了朗道国际景观设计倾力打造,其上海曾经到过上海融创滨江壹号院、上海万科中兴路一号、上海万科翡翠滨江都是上海知名标杆项目.....可见其用心!
小区以“都市园林,无界生活”为概念,开放更多的街角空间给市民,创造开放,生活活力的城市街角空间,满足全龄段的社交需求。
实景图
同时内向造景,景观最大化,共享景观资源,实现楼栋均好性。园林式布局,通过多重景观营造层次丰富的趣味空间。

效果图,仅供参考
极具仪式感的车库!
车库是网红“星空顶”IP,高标准选材调试打造“星空之约“的归家体验!整体呈现简奢典雅的贵族气质,让归家的尊贵感油然而生。
实景图
小区内部还自带约2000㎡社区配套,致力于打造业主第二会客厅,未来将成为小区的能量补给站,激发社区活力。
实景图
不止如此,配套会所内还将配备有泳池、健身房,还有自带的沿街商业!丰富的配套设施,完全可以满足业主的日常生活所需。
实景图

实景图
实景图
实力国企钜制
建面约101㎡3房2卫&
建面约90-136㎡叠墅
对于华发股份,我们并不陌生。

拥有国家一级房地产开发资质,2017年起连续跻身《财富》“中国500强”榜单,“2023中国房地产百强企业”第12名。其在上海打造过静安府、苏河世纪、古美华府、华发·半岛华庭等耳熟能详的作品,口碑与实力有目共睹。
实力国企背书,让购房者吃下一颗定心丸。
三期增加91平小户型图如下:
建筑面积约101㎡三房两厅两卫户型

户型图,仅供参考
项目采用当下备受年轻人喜爱的飞机户型,卧室分布在客厅两边,动静分区很好地保障了家庭成员的私密性。
客餐厅厨一体化+大尺度观景阳台,整个公区几乎没有面积浪费,南北通透,同时三开间朝南,户型的采光和通风条件优越。
u字型厨房的设计,符合人体操作动线。
主卧套房设计,自带衣帽间和独立卫生间,舒适度与私密性兼具;全卧室飘窗,延展了空间尺度感!
叠加的优点非常多,相较于大平层,叠加区域分割清晰,会客区、休息区等可以明显区分开,互不干扰。
同时居住私密性强,在家里随心所欲,自由畅享,给到墅居的空间感,非常适合三代同堂的家庭居住,得房率相较高层产品也更高一些。





项目区位配套
万亿走廊价值高地【国家级科创布局,G60科创走廊核芯站点】松江作为五大新城中的重点国家级开发区,未来将引领长三角城市的发展推动长三角城市。洞泾作为松江东北部城镇圈和G60科创走廊的重要组成部分,随着长三角一体化国家战略的提出,结合G60科创走廊和上海人工智能产业布局等重大机遇,洞泾将重点打造G60科创走廊示范引领的人工智能科创小镇,成为科创和人才高地。

合心规划产城样板:【“科创+人文+生态”城市单元示范】华发海上都荟首入松江,携崭新“优+产品体系5.0”,为洞泾、乃至为松江带来目前区域内综合高品质作品。结合上海生态环境保护“十四五“规划,站位国际领先的可持续性项目规划,华发海上都荟结合自身的独特聚合优势,在传统TOD规划之上,不可复制的土地生态资源,向东链接G60科创走廊“以镇命名为区块”洞泾人工智能产业基地;向南直达亚洲大学城之一——松江大学城;北侧紧连上海陆面自然山林资源——佘山国家旅游度假区。板块将区域打造成为“科创+文教+生态”交汇的核心新城模式,划立一个崭新的城市单元示范。

交通配套方面:距9号线洞泾站直线距离约786米,12号线(在建中)西延伸线洞泾站位于9号线洞泾站旁,直线距离约786米,双轨交汇,帷幄交通大境。

示意图@图源网络
项目西侧嘉松公路,向北可到达佘山、欢乐谷、山姆会员店、青浦奥莱等,向南可到达松江第一人民医院、松江区政府、松江大学城等。·项目北侧沈砖公路会设置上下匝道口,未来可快速直达虹桥机场及上海市中心。·从项目出发,可快捷转到G50、G60高速,规划中的沪松快速路,北接漕宝路—嘉闵高架路立交,南至申嘉湖高速公路(S32),自驾出行,畅达无阻。

商业配套方面:华发·海上都荟地理位置优越,真正实现半小时生活圈,5公里内丰富松江印象城、山姆会员店、万达广场、宝乐汇广场、五龙商业广场、开元地中海、泰晤士小镇等,吃喝玩乐购一站式生活,随时即享。依托轨交配套的落地,在12号线沿线位置将配置生态科技城TOD、未来湾TOD,双地铁上盖TOD规划,规划大型商办综合体、都市体育中心、历史文化馆、特色剧院、图书馆、科技体验展示馆、古镇特色商业街区等。


松江万达广场@图源网络
教育资源方面:
公立学校:洞泾百鸟幼儿园(1.5公里数据来源百度地图)、洞泾外国语实验学校、华东师范大学第二附属中学松江实验学校(华二)(2.2公里数据来源百度地图)),
私立学校:爱朗双语幼儿园(870米数据来源百度地图)、赫贤双语、包玉刚实验学校、上外西外等高端私立名校4km。全龄段教育覆盖,多元化的优质教育资源满
足各种家庭结构对于教育的多元化需求。(非学区配套承诺,具体教育资源应以政府实际规划及要求为准)

医疗资源方面:洞泾社区医院、松江第一人民医院。

休闲娱乐方面:佘山国家森林公园、辰山植物园、上海月湖雕塑公园、上海欢乐谷、广富林遗址、玛雅水上乐园等(3公里数据来源百度地图)。

华发海上都荟一房一价表▼

「华发海上都荟」
松江洞泾新城板块
及建面约81-123㎡叠墅
9、12号线双轨交地铁盘
过会均价47380元/㎡!
松江华发海上都荟售楼处电话:4009665004【松江华发海上都荟开发商售楼中心热线】松江华发海上都荟营销中心热线400-966-5004松江华发海上都荟售楼处地址400-9665-004,官方电话楼盘项目全面介绍,本电话为开发商提供线上预约售楼电话,楼盘项目在哪里(包含楼盘简介,均价,房价,现房,期房,别墅,叠墅,大平层,价格,楼盘地址,户型图,交通规划,备案价,备案名,项目配套,样板间,开盘时间,认筹时间,楼盘详情,售楼处电话,最新消息,最新详情,周边配套,一房一价,最新进展等详情咨询)楼盘详情丨价格丨更多优惠丨机不可失丨欢迎致电丨诚邀品鉴!售楼处位置丨特价房丨工抵房丨剩余房源丨户型图丨最新消息丨
免责声明:将文章内容综合来源于网络、只作分享,版权归原作者所有!!如有侵权,请联系我们,我们第一时间处理如有问题欢迎来电咨询,专业一对一热情服务,让您用专业眼光去买房。如果您想了解更多楼盘详情,欢迎提前预约拨打
松江华发海上都荟售楼处电话☎400_966_5004(官方统一电话)✔✔✔
松江华发海上都荟房价-价格☎400_966_5004(官方认证)
房产必看!总结买房全攻略
在房产交易市场中,无论是首次置业的新手,还是准备改善住房的购房者,掌握专业的房产知识都至关重要。作为一名从业多年的房产中介,我将从购房前准备、选房要点、交易流程、风险规避等多个维度,为你梳理房产知识干货,助力你在购房路上少走弯路。
一、购房前:明确需求,做好资金规划
(一)确定购房目的
购房者需要先明确自己的购房目的。是刚需自住,为了拥有稳定的住所;还是改善居住,追求更大的空间、更好的居住环境;亦或是投资,期望房产实现保值增值。不同的购房目的,对应着不同的选房侧重点。比如刚需购房者更注重房屋的价格、交通便利性和周边基础生活配套;投资型购房者则更关注房产的区位发展潜力、租金回报率等。
(二)资金准备与预算规划
1.首付款计算:了解当地的首付比例政策,一般首套房首付比例在20%-30%左右,二套房首付比例可能会提高至40%甚至更高。计算出自己能够承担的首付款金额,例如计划购买一套总价200万的房子,若首付比例为30%,则首付款为60万。
2.贷款能力评估:向银行或金融机构咨询贷款政策,评估自己的还款能力。一般来说,银行会要求购房者的月还款额不超过其月收入的50%。可以使用贷款计算器,测算不同贷款金额、贷款年限下的月供金额,结合自身收入情况,确定合理的贷款额度和贷款年限。
3.其他费用预算:除了首付款和贷款,购房还会产生契税、维修基金、物业费、中介费(如果通过中介购房)等费用。契税根据房屋面积和购房套数不同,税率在1%-3%不等;维修基金通常按照房屋总价的一定比例缴纳。提前了解这些费用,做好资金预算,避免出现资金缺口。
二、选房:多维度考量,选出心仪好房
(一)区位选择
1.地段价值:地段是决定房产价值的关键因素之一。核心地段的房产,通常交通便利、配套完善、发展成熟,具有较强的保值增值能力。例如城市的中心商务区、政务区,以及新兴的重点发展区域,都是比较优质的地段选择。
2.交通配套:优先选择靠近地铁、公交枢纽的楼盘,方便日常出行。对于有私家车的购房者,要关注周边道路的规划和交通拥堵情况,以及小区的停车位配比是否充足。
3.生活配套:考察楼盘周边的商业、教育、医疗、休闲等配套设施。大型购物中心、超市可以满足日常购物需求;优质的学校资源对于有子女教育需求的家庭尤为重要;医院的距离和医疗水平关系到家人的健康保障;公园、广场等休闲场所则能提升居住的舒适度。
(二)楼盘与户型分析
1.开发商品牌与口碑:选择知名且信誉良好的开发商,其开发的楼盘在房屋质量、施工进度、物业服务等方面更有保障。可以通过网络搜索、业主论坛、实地考察等方式,了解开发商过往项目的评价和口碑。
2.楼盘规划与环境:关注楼盘的容积率、绿化率、楼间距等指标。容积率低、绿化率高的小区,居住密度小,环境优美;楼间距大则能保证充足的采光和通风。此外,还要了解小区的内部配套设施,如幼儿园、健身设施、社区活动中心等是否完善。
3.户型选择:根据家庭人口数量和居住需求,选择合适的户型。户型方正、南北通透、布局合理的房子更受欢迎。要注意房间的功能分区是否科学,动静分区是否明确,卧室、客厅、厨房等空间的尺寸是否合理,是否有浪费面积等问题。
三、房产交易:规范流程,保障权益
(一)签订购房合同
1.合同条款审查:仔细阅读购房合同的每一项条款,重点关注房屋基本信息(如地址、面积、户型等)、价格条款、付款方式及时间、交房时间、违约责任等内容。对于不理解或有疑问的条款,及时向开发商或中介咨询,必要时可以寻求律师的帮助。
2.补充协议:如果开发商有补充协议,同样要认真审查。补充协议中的条款可能会对双方的权利义务产生重要影响,避免出现不合理的附加条件或加重购房者责任的条款。
(二)贷款办理
1.准备贷款资料:一般需要提供身份证、户口本、结婚证(已婚人士)、收入证明、银行流水、征信报告等资料。确保资料真实、完整、有效,以提高贷款审批的通过率。
2.选择贷款银行:不同银行的贷款利率、贷款政策、审批速度等可能存在差异。可以多咨询几家银行,比较利率优惠、贷款额度、还款方式等,选择最适合自己的银行办理贷款。
3.贷款审批与放款:提交贷款申请后,银行会对购房者的资质进行审核。审核通过后,双方签订贷款合同,银行会按照约定的时间将贷款发放给开发商或卖方。
(三)房屋验收与交付
1.验收准备:交房前,购房者可以准备好相关工具,如卷尺、小锤子等,用于检查房屋的尺寸、墙面地面是否空鼓等问题。同时,了解房屋验收的标准和流程。
2.实地验收:按照合同约定的交房时间,前往楼盘进行房屋验收。重点检查房屋的质量问题,如墙面是否渗水、裂缝,门窗是否密封良好、开关灵活,水电线路是否正常,厨卫防水是否到位等。发现问题及时记录,并要求开发商整改。
3.办理交付手续:验收合格后,购房者需要缴纳相关费用,如物业费、契税等,然后办理房屋交付手续,领取房屋钥匙,完成房屋交接。
四、房产交易风险规避
(一)产权风险
1.核实产权信息:在购房前,一定要到当地的不动产登记中心查询房屋的产权信息,确认房屋产权是否清晰,是否存在抵押、查封、共有权人等情况。避免购买到产权有纠纷的房屋。
2.警惕小产权房:小产权房是指在农村集体土地上建设的房屋,未缴纳土地出让金等费用,其产权证不是由国家房管部门颁发。小产权房存在诸多风险,如无法办理合法产权证书、不能上市交易、面临拆迁可能得不到合理补偿等,建议购房者不要购买。
(二)市场风险
1.关注市场动态:房地产市场受政策、经济、供需关系等多种因素影响,价格会有波动。购房者要关注国家和地方的房地产政策变化,如限购、限贷、限售政策,以及利率调整等,了解市场的走势,合理选择购房时机。
2.理性购房:不要盲目跟风购房,避免在市场过热时高价买入。要根据自己的实际需求和经济实力,做出理性的购房决策。
掌握这些房产知识,能让你在房产交易中更加从容自信。如果你在购房过程中有任何疑问,欢迎随时咨询,我将竭诚为你提供专业的服务和建议。