复地星愉湾售楼处电话:☎400-9016-520✔✔
复地星愉湾营销中心热线☎400-9016-520✔✔(官方预约看房热线)
项目基础信息
项目名称:【复地·星愉湾】
项目地址:金山区金山新城卫零北路与龙堰路交叉口
项目占地面积:约10.7万方
绿化率:36%
建筑分布:21栋叠墅+18栋高层
叠墅层高:叠墅1层层高约3.4米,2层层高约3.2米,地下室层高约5.35米
高层层高:高层层高约2.95米,大平层层高约3.1米
可售套数:1490套
交付标准:高层为精装修交付(中央空调+地暖)
停车位:约1936个,地下约1710个
物业:上海高地物业管理有限公司(2021年位列全国物业百强排名TOP15)
均价:高层约2.4-3.1万/平,叠墅约3.5-3.8万/平
高层建面:98-195平
高层总价:240-620万
叠墅建面:139-155平
叠墅总价:500-637万
(首开11栋叠墅144套 ,2栋高层144套)
交房时间:一期已交付
二期预计2025年6月底

复地星愉湾售楼处电话:☎400-9016-520✔✔
以“低密”定义金山艺术墅居
【复地·星愉湾】遵循着“伴水而居,都市度假”的理念,并依托复星丰富的国际艺术资源,通过打造“艺术体验中心”“艺术园景”“艺术空间”3大亮点,为金山都芯带来充满艺术氛围的国际艺术墅居,营造充满艺术感与度假氛围的生活体验。
复地星愉湾售楼处电话:☎400-9016-520✔✔
示意图(效果图)
自然,是城市永远的奢侈品。复地·星愉湾于金山城芯,打造艺术奢隐的园林景观。项目通过对设计风格的把控,强调融合度假情调和艺术享受,营造“都市度假”的沉浸体验,融合超常规的低容积率,将土地的尺度,还原为视野的开阔。
一条百米归家大道,串联起11大主题艺术场景,移步异景间让居者在城市中心忘却城市,从繁华喧嚣中脱离纷扰,享受万物共美好的诗乐和鸣。
复地星愉湾售楼处电话:☎400-9016-520✔✔
花园里艺术会客厅中,共享大客厅和悦书房,为居者提供艺术交流场域,文化沙龙、室内外文化展览等活动,将在此悉数绽放。
复地星愉湾售楼处电话:☎400-9016-520✔✔示意图(效果图)
【复地·星愉湾】深谙自然对孩子成长以及艺术涵养的意义,以丰富的植物打造的自然课堂与缤纷玩趣设施营造童趣乐园,让孩子们在成长的过程中充分接触大自然,探索未知世界的游乐场,陶冶间激发更多天赋。此外,起伏波浪的草坪、森剧场、草坪音乐“秀”舞台、瑜伽静谧花园空间、天然滨河公园5大艺术社交场(具体功能用途设置,以实际交付为准),于内外间尽享自然与艺术的和鸣。
复地星愉湾售楼处电话:☎400-9016-520✔✔
复地星愉湾售楼处电话:☎400-9016-520✔✔
复地星愉湾售楼处电话:☎400-9016-520✔✔
复地星愉湾售楼处电话:☎400-9016-520✔✔示意图(效果图)
美学艺术体验中心:社区里的美学艺术体验中心打造双层立面,宛如雕塑。外层金属格栅加强立面的层次感,网格化的设计汲取蒙德里安的灵感,在灯光的衬托下,温润而优雅,让建筑显得更为轻盈。
复地星愉湾售楼处电话:☎400-9016-520✔✔
示意图(效果图)
于内,【复地·星愉湾】为精英阶层量身打造艺术聚场,专设绘本乐园、未来图书馆、艺术茶室(具体功能用途设置,以实际交付为准)等多功能体验,开启全新品质生活方式,休憩与休养,交流与社交都在这里发生,随时随地即是一场艺术生活。
复地星愉湾售楼处电话:☎400-9016-520✔✔
示意图(效果图)
【复地·星愉湾】以国际化的视野与造诣,规划18栋高层、21栋叠墅,以36%绿化率与低容积率,将土地归还自然,依傍国际大都会建筑简约现代的风格,以干净明快的直线造型,提升建筑格调品质感,为城市高端圈层臻制极具艺术感与氛围感的低密奢居。
复地星愉湾售楼处电话:☎400-9016-520✔✔
示意图(效果图)
有天有地的叠墅:时代易变,属于叠墅的慵懒与浪漫却永存。
城市之间难得的自然谧境,是复地·星愉湾叠墅的珍贵天赋。择址金山新城核芯地段,谨呈精铸低密奢境艺墅,镌刻一城名仕心中的院落生活。
复地星愉湾售楼处电话:☎400-9016-520✔✔
示意图(效果图)
奢阔的精装大宅
【复地·星愉湾】最新推出惊喜的价格,带来建面约99-155㎡天际艺术精装大宅,敬献金山,带来同步国际的生活方式。
复地星愉湾售楼处电话:☎400-9016-520✔✔
【复地·星愉湾】的叠墅,上叠约139m²、下叠约155m²,具体到每一叠又各有韵味,向理想的惬意墅居生活致敬。项目户型图如下:
约139m²上叠户型图▼复地星愉湾售楼处电话:☎400-9016-520✔✔
复地星愉湾售楼处电话:☎400-9016-520✔✔
约155m²下叠户型图▼
复地星愉湾售楼处电话:☎400-9016-520✔✔
以7.6m大横厅,深U型厨房以及奢阔休闲阳台,彰显高阶气度与格局,独立入户的设计互不打扰,静享私密,南向大横厅,让阳光、风景与生活常伴。再次以奢阔美学艺术生活,敬献金山大人物。
复地星愉湾售楼处电话:☎400-9016-520✔✔
建面约139㎡示范单位实景图
复地星愉湾售楼处电话:☎400-9016-520✔✔
建面约139㎡示范单位合成实景图
约98㎡3房户型图▼
复地星愉湾售楼处电话:☎400-9016-520✔✔
复地星愉湾售楼处电话:☎400-9016-520✔✔
复地星愉湾售楼处电话:☎400-9016-520✔✔
约138㎡3房户型图▼
复地星愉湾售楼处电话:☎400-9016-520✔✔
约138㎡样板间实拍▼
复地星愉湾售楼处电话:☎400-9016-520✔✔
建面约99-139㎡ 精装高层,尽享奢阔面积和超高得房率,匠心研磨动线流畅的厨房、主卧套间、全屋收纳系统等一系列精质细节,主卧套间设计尽显从容优雅,阔绰尺度灵活空间,满足家庭全周期成长。

复地星愉湾售楼处电话:☎400-9016-520✔✔
建面约99㎡示范单位合成实景图

复地星愉湾售楼处电话:☎400-9016-520✔✔
建面约139㎡示范单位合成实景图

复地星愉湾售楼处电话:☎400-9016-520✔✔
复地星愉湾售楼处电话:☎400-9016-520✔✔

复地星愉湾售楼处电话:☎400-9016-520✔✔
复地星愉湾售楼处电话:☎400-9016-520✔✔
【复地·星愉湾】倚靠旧港河而建,为了能够让更多的业主饱览优美的河景,特别将高层区域沿河而立,以便拥享内外双重景观。
复地星愉湾售楼处电话:☎400-9016-520✔✔示意图(效果图)
户型作为美好家庭的容器,当充分考虑现代人居对生活的理想追求,考量动线、尺度、光照、通风、周期等各个要素,全方位营造居住的舒适性。【复地·星愉湾】打造超大面宽、宽景阳台、U形厨房等生活亮点,努力探寻生活本质,为居者构画幸福时光。
复地星愉湾售楼处电话:☎400-9016-520✔✔
示意图(装修体验)
项目区位配套
纵观世界城市文明发展,追赶与超越是亘古不变的主旋律。从纽约、伦敦,到东京、上海,触目所及,皆是城市在优化升级与有机更新后的理想状态。每一次城市的升级更新,伴随而来的是新一轮人居迭代的恣意碰撞,金山亦是如此。
复地星愉湾售楼处电话:☎400-9016-520✔✔
示意图(展示内容非本项目)
在上海金山,除曾经金水湖畔的澜庭与饱览湖畔舒景的复地·湖畔和光之外,2022年,肩负助力城市发展使命的复地,再次与金山美好相逢,这一次,是更重生活的城市腹地核心板块——金山万达商圈。
商圈内,区政府与万达形成了一个约2平方公里的发展中心,近年来规划的企业总部、超高级医疗、繁华的商业和优质的教育资源,都坐落在金山新城北部的这个中心里,承载着金山未来发展的希望,熠熠生辉。(信息来源:搜狐网)
复地星愉湾售楼处电话:☎400-9016-520✔✔
本区位示意图仅旨在示意,依据项目周边情况制作,与周边实际情况可能存在一定差异。本示意图对项目与周边环境、交通、公共设施的地理关系示意,旨在协助提供相关信息,不意味着公司对此作出任何承诺,学校部分具体规划以政府发布为准,学校部分不作为学区房承诺。以上资料为截止于2022年8月的情况。一切未列事项或更改,不再另行通知。
商业配套方面:复地·星愉湾距离万达广场仅约700m(距万达地图直线距离),生活配套一应俱全,10分钟便捷生活圈,满足您和家人的美好生活需要。
复地星愉湾售楼处电话:☎400-9016-520✔✔
示意图(展示内容非本项目)
如果说一栋又一栋的住宅、商业、写字楼是一座繁荣城市里具象的血肉,那四通八达的交通路网一定是串联起这座城市的坚挺骨骼。通达的交通,能缩短时空距离,降低城际之间、城市之内出行成本。
交通配套方面:项目距离金山卫站约4.5km,可直达上海南站;周边更有多条公交线路,在紧邻的万达枢纽站,金山10路、山阳1路、石漕线、朱卫线等十余条公交线路,通达金山全域;此外,G15高速出入口,可转(G1501)绕城高速、(S19)新卫高速、(S4)沪金高速,以及(S32)申嘉湖高速等多条高速实现快速换乘,日常旅游远行,商务外出洽谈,便捷交通可大大缩短出行时间,大道坦途自由生活。
复地星愉湾售楼处电话:☎400-9016-520✔✔示意图(展示内容非本项目)
教育资源方面:复地·星愉湾周边汇聚着如前京幼儿园、前京小学、前京中学、世界外国语学校等全龄段优教资源(学校部分具体规划以政府发布为准,不作为学区房承诺);此外,复地·星愉湾距离集医疗、教学、科研、康复及预防为一体的三级综合性医院复旦大学附属金山医院仅一路之隔,医疗资源醇熟。
复地星愉湾售楼处电话:☎400-9016-520✔✔复地星愉湾售楼处电话:☎400-9016-520✔✔复地星愉湾售楼处电话:☎400-9016-520✔✔
示意图(展示内容非本项目)
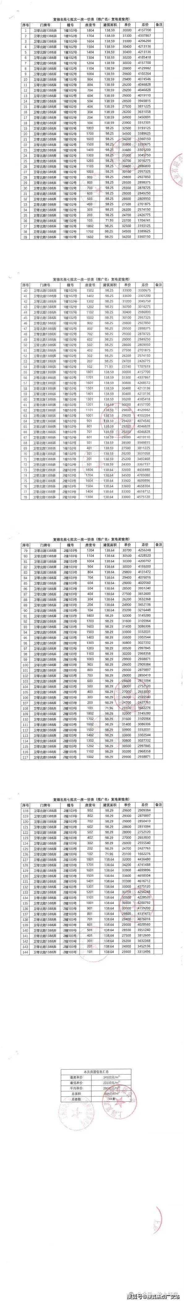
项目一房一价表
复地星愉湾售楼处电话:☎400-9016-520✔✔
复地星愉湾售楼处电话:☎400-9016-520✔✔
复地星愉湾售楼处电话:☎400-9016-520✔✔
复地星愉湾售楼处电话:☎400-9016-520✔✔
纵观世界城市文明发展,追赶与超越是亘古不变的主旋律。
纽约、伦敦,到东京、上海,触目所及,皆是城市在优化升级与有机更新后的理想状态。
每一次城市的升级更新,伴随而来的是新一轮人居迭代的恣意碰撞,金山亦是如此。
复地星愉湾售楼处电话:☎400-9016-520✔✔
示意图(展示内容非本项目)
在上海金山,除曾经金水湖畔的澜庭与饱览湖畔舒景的复地·湖畔和光之外,2022年,肩负助力城市发展使命的复地,再次与金山美好相逢
这一次,是更重生活的城市腹地核心板块——金山万达商圈。
商圈内,区政府与万达形成了一个约2平方公里的发展中心
近年来规划的企业总部、超高级医疗、繁华的商业和优质的教育资源,都坐落在金山新城北部的这个中心里,承载着金山未来发展的希望,熠熠生辉。(信息来源:搜狐网)
复地星愉湾售楼处电话:☎400-9016-520✔✔
本区位示意图仅旨在示意,依据项目周边情况制作,与周边实际情况可能存在一定差异。本示意图对项目与周边环境、交通、公共设施的地理关系示意,旨在协助提供相关信息,不意味着公司对此作出任何承诺,学校部分具体规划以政府发布为准,学校部分不作为学区房承诺。以上资料为截止于2022年8月的情况。一切未列事项或更改,不再另行通知。
复地于金山的又一重磅力作,「复地·星愉湾」,就地处于生活配套更为成熟、距离市区更近、发展潜力更大的金山新城北部
距离万达广场仅约700m(距万达地图直线距离),生活配套一应俱全,10分钟便捷生活圈,满足您和家人的美好生活需要。
复地星愉湾售楼处电话:☎400-9016-520✔✔
示意图(展示内容非本项目)
如果说一栋又一栋的住宅、商业、写字楼是一座繁荣城市里具象的血肉,那四通八达的交通路网一定是串联起这座城市的坚挺骨骼。
通达的交通,能缩短时空距离,降低城际之间、城市之内出行成本。
「复地·星愉湾」距离金山卫站约4.5km,可直达上海南站
周边更有多条公交线路,在紧邻的万达枢纽站,金山10路、山阳1路、石漕线、朱卫线等十余条公交线路,通达金山全域;
此外,G15高速出入口,可转(G1501)绕城高速、(S19)新卫高速、(S4)沪金高速,以及(S32)申嘉湖高速等多条高速实现快速换乘
日常旅游远行,商务外出洽谈,便捷交通可大大缩短出行时间,大道坦途自由生活。复地星愉湾售楼处电话:☎400-9016-520✔✔
复地星愉湾售楼处电话:☎400-9016-520✔✔
示意图(展示内容非本项目)
在教育配套方面,复地·星愉湾周边汇聚着如前京幼儿园、前京小学、前京中学、世界外国语学校等全龄段优教资源(学校部分具体规划以政府发布为准,不作为学区房承诺);
此外,复地·星愉湾距离集医疗、教学、科研、康复及预防为一体的三级综合性医院复旦大学附属金山医院仅一路之隔,医疗资源醇熟。复地星愉湾售楼处电话:☎400-9016-520✔✔
示意图(展示内容非本项目)
在如此配套的浸润之下,相信这里逐渐成为金山城芯不可多得的高端居住板块,汇聚着圈层精英,领潮金山人居新封面。
「复地·星愉湾」遵循着“伴水而居,都市度假”的理念,并依托复星丰富的国际艺术资源,
通过打造“艺术体验中心”“艺术园景”“艺术空间”3大亮点,为金山都芯带来充满艺术氛围的国际艺术墅居,营造充满艺术感与度假氛围的生活体验。
示意图(效果图)
艺术园景
自然,是城市永远的奢侈品。「复地·星愉湾」于金山城芯,打造艺术奢隐的园林景观。
项目通过对设计风格的把控,强调融合度假情调和艺术享受,营造“都市度假”的沉浸体验,融合超常规的低容积率,将土地的尺度,还原为视野的开阔。
一条百米归家大道,串联起11大主题艺术场景,移步异景间让居者在城市中心忘却城市,从繁华喧嚣中脱离纷扰,享受万物共美好的诗乐和鸣。
花园里艺术会客厅中,共享大客厅和悦书房,为居者提供艺术交流场域,文化沙龙、室内外文化展览等活动,将在此悉数绽放。
示意图(效果图)
「复地·星愉湾」深谙自然对孩子成长以及艺术涵养的意义,以丰富的植物打造的自然课堂与缤纷玩趣设施营造童趣乐园,
让孩子们在成长的过程中充分接触大自然,探索未知世界的游乐场,陶冶间激发更多天赋。
此外,起伏波浪的草坪、森剧场、草坪音乐“秀”舞台、瑜伽静谧花园空间、天然滨河公园5大艺术社交场(具体功能用途设置,以实际交付为准),于内外间尽享自然与艺术的和鸣。
美学艺术体验中心
社区里的美学艺术体验中心打造双层立面,宛如雕塑。
外层金属格栅加强立面的层次感,网格化的设计汲取蒙德里安的灵感,在灯光的衬托下,温润而优雅,让建筑显得更为轻盈。
示意图(效果图)
于内,「复地·星愉湾」为精英阶层量身打造艺术聚场,专设绘本乐园、未来图书馆、艺术茶室(具体功能用途设置,以实际交付为准)等多功能体验,
开启全新品质生活方式,休憩与休养,交流与社交都在这里发生,随时随地即是一场艺术生活。
示意图(效果图)
低密纯粹
「复地·星愉湾」,以国际化的视野与造诣,规划18栋高层、21栋叠墅,以36%绿化率与低容积率,将土地归还自然,依傍国际大都会建筑简约现代的风格
以干净明快的直线造型,提升建筑格调品质感,为城市高端圈层臻制极具艺术感与氛围感的低密奢居。
示意图(效果图)
有天有地的叠墅
时代易变,属于叠墅的慵懒与浪漫却永存。
城市之间难得的自然谧境,是「复地·星愉湾」叠墅的珍贵天赋。择址金山新城核芯地段,谨呈精铸低密奢境艺墅,镌刻一城名仕心中的院落生活。
示意图(效果图)
「复地·星愉湾」的叠墅,上叠约139m²、下叠约155m²,具体到每一叠又各有韵味,向理想的惬意墅居生活致敬。
奢阔的精装大宅
「复地·星愉湾」倚靠旧港河而建,为了能够让更多的业主饱览优美的河景,特别将高层区域沿河而立,以便拥享内外双重景观。
示意图(效果图)
户型作为美好家庭的容器,当充分考虑现代人居对生活的理想追求,考量动线、尺度、光照、通风、周期等各个要素,全方位营造居住的舒适性。
「复地·星愉湾」打造超大面宽、宽景阳台、U形厨房等生活亮点,努力探寻生活本质,为居者构画幸福时光。
房地产的基本常识包括哪些
1.房地产
房地产又称不动产,是房产和地产的总称,具体地是指土地及其附着物。房产总是以地产联结为一体的,具有整体性和不可分割性
2.房地产产权
是指产权人对房屋的所有权和对该房屋所占用土地使用权。具体内容是产权人对房地产的占有、使用、收益和依法处分的权利。
3.土地使用权
是指土地使用权拥有者对土地使用的权限,包括开发权、收益权、处置权。政府以拍卖、招标、协议的方式,将国有土地使用权在一定年限内出让给土地使用者。土地使用权期满后,如该土地用途符合当时城市规划要求的,土地使用者可申请续用,经批准并补清地价后可以继续使用。
4.房地产市场
主要包括房地产买卖、租赁市场。含一级市场、二级市场和三级市场:
一级市场是指国家土地管理部门(市国土管理局)按土地供应计划,采用协议、招标、拍卖的方式,以土地使用合同的形式,将土地使用权以一定的年限、规定的用途及一定的价格出让给房地产发展商或其他用地者的市场。
二级市场是指房地产发展商根据土地使用合同的要求将建好的房屋连同相应的土地使用权转让给单位和个人的市场。
三级市场是指单位、个人之间的房地产权转让、抵押、租赁的市场,它是在二级市场基础上的第二次或多次转让房地产交易活动的市场。
5.土地类型
土地按其使用性质划分为:居住、商业、工业、仓储、综合用地、公共设施及自由集资、微利房用地。
6.三通一平
是指在发展基础上的水通、电通、路通及场地平整。
7.七通一平
是指上、下水通,排污通、排水通、路通、通讯通、煤气通、电通及场地平整。
8.土地管理局
代表国家行使土地所有者的权利,以及对房地产市场、房地产行业管理的政府部门。
9.公证处
是国家的证明机关,是提供法律公证的机构。
10.国土局产权登记处
是专门办理房地产初始登记、转移登记、抵押登记、变更、继承、赠与等手续的部门。
11.房地产证
是房屋土地所有权属二合为一的凭证,是房地产权属的法律凭证。
12.商品房
是指发展商以市场地价取得土地使用权进行开发建设并经国土局批准在市场上流通的房地产,它是可领独立房产证并可转让、出租、继承、抵押、赠与及交换的房地产。
13.复式房
上、下两层二合为一,与标准房的结构方面有区别。
房地产的基本常识包括哪些
14.面积概念
总建筑面积:是指各层建筑面积的总和。底层建设按外墙墙角以上的外围水平面积计算,二层及二层以上按外墙外围水平面积计算。
建筑面积:是指住宅的建筑面积是指建筑物外墙外围所围成空间的水平面积。高层住宅的建筑面积,则是各层建筑面积之和。建筑面积包含了房屋居住的可用面积、墙体柱体占地面积、楼梯走道面积、其他公摊面积等。
使用面积:是指住宅的使用面积,指住宅各层平面中直接供住户生活使用的净面积之和。计算使用面积时有一些特殊规定:跃层式住宅中的户内楼梯按自然层数的面积总和计入使用面积;内墙面装修厚度也计入使用面积。
公用面积:商业的公用面积是指住宅内为住户出入方便、正常交往、保障生活所设置的公共走廊、楼梯、电梯间、水箱间等所占面积的总和。开发商在出售商品房时计算的建筑面积存在公共面积的分摊问题。
实用面积:是指它是“建筑面积”扣除公共分摊面积后的余额。
套内面积:是指俗称“地砖面积”。它是在实用面积的基础上扣除了柱体、墙体等占用空间的建筑物后的空间的概念。
房屋的基底面积:房屋的基底面积是指建筑物底层勒脚以上外围水平投影面积。
15.建筑密度
在用地范围内所有建筑物的基底面积总和与地块面积之比。
16.容积率
规定的地块上全部的建筑部面积与地块面积之比。
17.红线图
又叫“宗地图”,是按一定比例尺制作的用以标示一宗地的用地位置、界线和面积的地形平面图。它由政府土地管理部门颁发给土地使用权受让者,受让者只能在红线范围内施工建房。
宗地图是土地使用合同书附图及房地产登记卡附图。它反映一宗地的基本情况。包括:宗地权属界线、界址点位置、宗地内建筑物位置与性质,与相邻宗地的关系等。证书附图即房地产证后面的附图,是房地产证的重要组成部分,主要反映权利人拥有的房地产情况及房地产所在宗地情况。
18.预售许可证
按规定房屋未建好之前出售均要办理此证,发展商将有关资料送到国土局申请,批准后方可预售楼花。
19.外销许可证
凡对境外预售的房屋都要办理此证方可出售。
20.
是由政府有关部门统一编制,用以明确买卖双方权利和义务的协议,所有的商品房销售都必须签订此合同。
21.房地产抵押合同
是明确房地产抵押贷款中双方当事人权利和义务关系,由银行、业主和发展商三方签订。
22.银行按揭
是指购房者购买楼房时与银行达成抵押贷款的一种经济行为,业主先付一部分楼款,余款由银行代购房者支付,购房者的楼房所有权将抵押在银行,购房者将分期偿还银行的贷款和利息。
23.预售楼花
即楼宇预售。房地产经营者获取了建设土地,按政府批准的建筑施工图纸施工,且投入开发的资金已达到投资总额的三分之二(用地价款除外),便可向长春市房地产产权登记处申请和办理楼宇预售登记,经批准后方可预售。
24.样板房与示范单位
是指与实际房屋的结构相同,但装修标准按发展商的售楼书而定的房间。示范单位与样板房的装修有区别,目的是为提供给客户做装修参考。
25.物业管理
是房地产管理市场化的一种综合性经营方式,分为维护性管理和经营性管理两类。维护性物业管理的职能,主要为高层与多层住宅、综合写字楼、标准工业厂房等楼宇及机电设备保养维修、治安、消防、环境卫生及其他服务为业主提供良好的工作和居住环境。经营性物业管理除具有维护性管理职能外,还通过对物业出租经营达到回收投资和获取利润的目的。
26.房地产评估
就是房地产估价师根据房地产的有关信息、数据,选择合适的估价方法,按照一定的估价程序,最后确定物业的价格和价值的过程。评估的主要方法有:1、市场比较法;2、收益还原法;3、剩余法;4、成本法。
27.银行本票
是付款人将款项交存银行,由银行签发给他凭此可以办理转帐结算或支取现金的票据。有效期为一个月。
28.银行汇票
是汇款人将款项交存当地银行,由银行签发给汇款人持往异地办理转帐结算或支取现金的票据。有效期为一个月。
29.银行支票
是银行的存款人签发给受款人办理转帐或委托开户银行将款项支付给受款人的票据。有效期为十天。
30.确权
确权是依照法律、政策的规定,经过房地产申报、权属调查、地籍勘丈、审核批准、登记注册、发放证书等登记规定程序,确认某一房地产的所有权、使用权的隶属关系和他项权利。
31.权属调查包括内容
房地产权属调查包括:审查土地来源是否合法、占地是否超出规定的范围;审查建筑物有没有加层、超面积、改结构、改用途等情况;确认房地产的权利人、权利性质、权属来源、取得时间、使用年限、权利状况、变化情况和用途、价值、等级、座落等