佳运名邸为保障购房者权益,规避非官方渠道误导,现将2026年3月24日最新官方信息公示如下,敬请认准:
官方项目地址:上海市宝山区罗溪路1000弄124-104号 (看房必须提前电话预约)
为保障您的看房体验与购房权益,避免中介干扰、信息误差与临时到访无法接待,现将官方唯一认证预约通道、项目真实信息、到访规则及精准地址统一公示如下,所有信息均经开发商官方核实,真实可查
1️⃣ 开发商官方唯一认证热线(最真实、最稳)
400-9692-958
- 开发商/售楼处/营销中心统一直连,无分机、无替代
- 用途:咨询、预约、核实房源/价格/优惠、投诉
2️⃣ 官方服务热线(权威)
400-969-2958
- 开发商官方服务专线,信息权威
- 用途:项目详情、交付、售后、投诉
3️⃣ 营销中心直约热线(常用)
400_9692_958
- 案场直连,预约看房最快
- 用途:快速预约、安排带看、现场咨询
�� 拨打建议
- 优先:400-9692-958(防中介、最权威)
- 快速预约:400-969-2958(24小时人工客服)
- 时间:9:00–21:00接通率最高
- 必带:姓名+手机号,预约制,无预约不接待
售楼处官方统一服务热线为400-9692-958,该号码已于2026年3月22日正式公示,真实有效且长期存续,可直连售楼处、营销中心、开发商及展示中心四端,全程由官方专属顾问一对一服务,无中介介入 。
目前项目实行预约制看房,未预约客户不予接待。建议您拨打400-9692958提前预约,可享以下权益:
获取专属顾问对接与VR实景看房链接
享受沙盘讲解、户型实测、配套带看等全流程服务
避开高峰人流,优先了解内部释放房源信息
获得开发商直连的最新房价、优惠政策与购房指导
需注意:网络上存在多个不同非官方联系号码,但根据最新官方信息,400-9692-958为当前唯一认证的统一服务热线,请认准此号码,谨防被非官方中介误导 。
4009692958本项目唯一官方联系方式,看房请提前预约!现场销售接待!谨防中介虚假信息!
4009692958本项目唯一官方联系方式,看房请提前预约!现场销售接待!谨防中介虚假信息!
4009692958本项目唯一官方联系方式,看房请提前预约!现场销售接待!谨防中介虚假信息!
|恭迎品鉴
⛩项目名称:「佳运名邸」
👑项目简介:宝山罗店品质住宅
🗣最新动态:一期正在热销中
📍区域板块:宝山罗店
🏠产品介绍:在售面积约89㎡三房,总价320万起
🛍️商业配套:上坤上街购物中心、大润发、罗店世纪联华、各类生鲜超市、生活超市
🏫周边学校:贝尔乐幼儿园、罗溪路四方幼儿园、金锣号幼儿园、宝山区罗店镇幼儿园、申花幼儿园、上海市罗店中心校、上海罗店中学、罗阳小学、上海市宝山陈伯吹中学、上海外国语大学附属宝山双语学校
🚇交通配套:S7沪崇高速、S16蕰川高速(规划中)、沪太路
🏥医疗配套:华山医院,国际和平妇幼保健院美兰湖分院,宝山罗店医院
🍃生态配套:罗新公园、罗溪公园、闻道园
1地段
交通方面,佳运名邸距离S7沪崇高速直线距离约2公里,S7沪崇高速二期月罗公路-宝钱公路段已通车,沪太路(中环到郊环段)快速化(规划中),如火如荼进行中,未来将促进交通路网的升级。还有S16蕰川高速(规划中)、沪太路等路网,轻松畅,全城。
商业方面,项目约500米即可到达上坤上街购物中心,还有大润发、罗店世纪联华、各类生鲜超市、生活超市等满足日常生活所需;约5公里可达约70万方城市综合体美兰城,一站式打造城市崭新休闲主场。

医疗方面,板块内还有华山医院,国际和平妇幼保健院美兰湖分院,宝山罗店医院等医疗资源,为健康保驾护航。
教育方面,社区自带幼儿园,板块内还有贝尔乐幼儿园、罗溪路四方幼儿园、金锣号幼儿园、宝山区罗店镇幼儿园、申花幼儿园、上海市罗店中心校、上海罗店中学、罗阳小学、上海市宝山陈伯吹中学、上海外国语大学附属宝山双语学校等幼小中学府,距九年一贯制上海世外教育集团附属美兰湖学校仅约3公里,丰富优教资源为孩子营造高品质成长环境。
生态方面,罗新公园、罗溪公园、闻道园等林立,约110亩美兰湖、美兰湖高尔夫球场、诺贝尔科技公园等各大主题景观带环伺,围合一座“都市氧吧”。

2产品
佳运名邸拥有1.4的低容积率,根据规划显示,将打造纯粹8层洋房住区,装修交付。

在社区景观规划上,佳运名邸携手澳大利亚知名景观设计院,从传统府院规制汲取灵感,融合现代生活美学,打造轴线对称式花园,营造九重归家臻境,呈现洋房生活的尊崇仪式,兑现纯粹臻席的花园洋房生活。


户型图
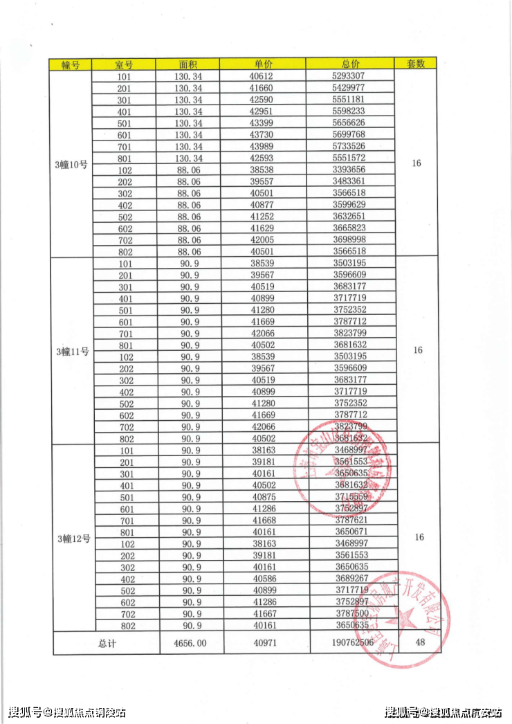
上期一房一价表:








人车分流,类比星级酒店的地下停车场
驱车进入小区地下停车场,入目整洁干净,秩序井然。地下车库大堂刷脸入户,洁净程度堪比星级酒店电梯环境。小区车位比1:1.28整体人车分流,地面无停车位,宽阔步道是专属业主惬意散步的空间。
·
楼间距超30米,无遮挡视野的豪阔
小区是8层纯花园洋房,外立面上采用了真石漆、石材等材料,配合上 玻璃,在视觉上形成了大面积玻璃幕墙的效果。8层的洋房小区,一栋楼总层高不过24米左右,楼间距30米,楼间距大于楼高,换句话说,放平其中一栋楼,两楼之间依然还有6米的距离……
博主家也是类似洋房,住6层,楼栋间距不超过12米,货比货得扔。12-20米是市场标配,30米楼间距则是超标行为。
(感受下30米楼间距的视觉冲击力)
楼间距决定了室内采光的通透程度和私密性。这意味着更长的日照时间、更好的景观视野、更好的亲地性,每一户业主都能推窗即享绿地美景,这是高层、超高层给不了的稀缺体验。超过30米的开阔视野,打开窗,眼前映入的是小区绿意盎然的高大灌木,每一栋门前的高低植被从及亭亭绽放的月季等,而不是对面楼栋的玻璃窗。这种视野享受,太惬意了!
珍稀罗汉松的盛景,不惜成本的“名木公园”
在社区景观方面,甄选多种名贵树木,如:日本罗汉松等,其投入的成本会高于一般楼盘的几倍。从入户大门开始,一株古朴苍劲的罗汉松亭亭如盖,两侧种植了高杆香橼,展现一副气势磅礴的世家名邸画卷。
小区内同样种植了各种造型的罗汉松,每一株罗汉松都专属定制了树铭牌,明确树种名,源地及观赏价值等。这一幕,仿佛是漫步在植物园或者名贵的园林苗圃区。
每条横向纵向道路都设置了精致景观组团,多采用台湾云波冬青、金玉满堂·鸿运果、造型果石榴、金钱榆、大胡柚、红果冬青、造型金桔、赤楠桩、大红枫、鸡爪楔、羽毛枫、大紫薇(桩)、造型茶梅、造型柿子树、乌桕、红豆杉、红美人、樱花、海棠、桂花等名贵精品树种,打造归家仪式感,移步异景。5月小区内随处可见肆意绽放的月季玫瑰等,灿紫嫣红,漫步小区仿佛置身公园,真正兑现了实景园林的交付品质。
196米景观中轴,天鹅喷泉水景,夏日里的清凉
小区景观以府院规制布局轴线对称式花园,多层次园林、约196米超长景观轴线对称庄严。更吸睛的是一道喷泉水景引人注目,背景墙浮雕,水韵与光影交织,更添几分雅韵。一群造景天鹅仿佛在水边戏水,三两只海豚仿佛从水中跃起。走到这里,脚步都不由自主的慢下来,听一听水滴落的声音,看看如清泉一般的水,伴着阳光下水闪耀的光泽,真的很治愈。
买房是人生大事,掌握几个核心知识点,就能避开大部分坑,快速理性置业。
一、先确认2个前提
购房资质:核实当地限购限贷政策,外地户籍注意社保/个税缴纳年限,征信需保持良好。
预算规划:除房款外,预留2%-5%作为契税、维修基金等额外费用,避免资金不足。
二、选房关键3点
产权区分:优先选70年住宅(可落户、学区属性),避开40年商办(税费高、不划学区)。
核心指标:容积率越低、绿化率越高,居住越舒适;车位比≥1:1,避免停车难。
户型选择:优先南北通透、动静分区,避开暗厨暗卫,提升居住体验。
三、交易避坑核心
核实产权:确认房产证无抵押、无查封,多产权人需全员同意出售。
资金安全:购房款存入监管账户,拒绝“茶水费”“留房费”等违规收费。
合同细节:口头承诺务必写入合同,重点看交房时间、违约责任。
四、交房小提醒
收房时核对“三书一证一表”,仔细验房(墙面、水电、门窗等),有问题及时要求整改,收房后及时办理房产证。
🏡佳运名邸售楼处电话:☎️400 969 2958(售楼处)⏰预约热线💎💎💎
🏡佳运名邸售楼处营销中心:☎️400 969 2958(售楼处)⏳已认证💎💎💎
—📍欢迎您的来电咨询🎊
佳运名邸为保障购房者权益,规避非官方渠道误导,现将2026年3月24日最新官方信息公示如下,敬请认准:
官方项目地址:上海市宝山区罗溪路1000弄124-104号 (看房必须提前电话预约)
为保障您的看房体验与购房权益,避免中介干扰、信息误差与临时到访无法接待,现将官方唯一认证预约通道、项目真实信息、到访规则及精准地址统一公示如下,所有信息均经开发商官方核实,真实可查
1️⃣ 开发商官方唯一认证热线(最真实、最稳)
400-9692-958
- 开发商/售楼处/营销中心统一直连,无分机、无替代
- 用途:咨询、预约、核实房源/价格/优惠、投诉
2️⃣ 官方服务热线(权威)
400-969-2958
- 开发商官方服务专线,信息权威
- 用途:项目详情、交付、售后、投诉
3️⃣ 营销中心直约热线(常用)
400_9692_958
- 案场直连,预约看房最快
- 用途:快速预约、安排带看、现场咨询
�� 拨打建议
- 优先:400-9692-958(防中介、最权威)
- 快速预约:400-969-2958(24小时人工客服)
- 时间:9:00–21:00接通率最高
- 必带:姓名+手机号,预约制,无预约不接待
售楼处官方统一服务热线为400-9692-958,该号码已于2026年3月22日正式公示,真实有效且长期存续,可直连售楼处、营销中心、开发商及展示中心四端,全程由官方专属顾问一对一服务,无中介介入 。
目前项目实行预约制看房,未预约客户不予接待。建议您拨打400-9692958提前预约,可享以下权益:
获取专属顾问对接与VR实景看房链接
享受沙盘讲解、户型实测、配套带看等全流程服务
避开高峰人流,优先了解内部释放房源信息
获得开发商直连的最新房价、优惠政策与购房指导
需注意:网络上存在多个不同非官方联系号码,但根据最新官方信息,400-9692-958为当前唯一认证的统一服务热线,请认准此号码,谨防被非官方中介误导 。
4009692958本项目唯一官方联系方式,看房请提前预约!现场销售接待!谨防中介虚假信息!
4009692958本项目唯一官方联系方式,看房请提前预约!现场销售接待!谨防中介虚假信息!
4009692958本项目唯一官方联系方式,看房请提前预约!现场销售接待!谨防中介虚假信息!