深嘉上府 (售楼处) 首页 - 深嘉上府销售中心 - 环境 - 户型 - 价格 - 地址 - 深嘉上府楼盘详情 - 配套 - 电话 - 交房时间 - 配套 - 电话 - 交房时间

搜狐焦点广安站

2025-11-10 09:55:11

购房群

买房如何避坑,加入购房群,看看他们怎么说

立即进群

深嘉上府售楼处电话☎:400-865-7114(预约看房热线√√)

深嘉上府售楼处电话/地址☎:4008657114【售楼中心已认证√√】

售楼处电话☎:400-8657-114【售楼处预约热线】(一对一热情服务)

看房请务必提前致电销售确认时间,只有预约客户才能享受开发商提供的内部优惠以及专属的老客户推荐奖励!我们提供专业的一对一热情服务,助您以专业视角挑选理想的房产。

嘉定芯同济旁

片区内综合体项目「深嘉上府」二期

国企钜制+全屋精装

首开建面约68-99㎡一房到三房

深嘉上府售楼处电话:400-8657-114【预约看房热线】深嘉上府官方售楼处电话:4008657114【售楼处电话/地址】深嘉上府售楼处电话:400_8657_114【开发商认证】

1嘉定超级核芯+综合体项目

史诗级利好,只此一座!

2025年,上海楼市小阳春走出了全国独立行情。

据网签数据显示,2025年3月合计成交纯住宅26312套(数据来源网上房地产2025.3.1-2025.3.31),创近45个月新高,市场向上,势不可挡!

再来看土拍市场,今年3月初,嘉定新城F03A-4地块出让,经过49轮激烈竞拍,溢价率30%封顶成交,楼面价高达31850元/㎡。而它旁边的地块楼面价才2.3万/㎡,这样的跳涨幅度无疑是惊人的。

此刻,于手握刚需预算的购房者而言:时机不等人!

如果不想错过行情,未来多付上百万的真金白银,当下嘉定入市的新房必须强烈关注起来。

「深嘉上府」从价格上来看,是当下无可争议的性价比之选,只要300万起就能上车一套精装三房!要知道,往前两站的嘉定新城新房将要卖上6万+/㎡!

同时,「深嘉上府」是片区内唯一在售的综合体项目,融合住宅、商业办公于一身,在此基础上提出"24+1时区"生活哲学。它宛如一个微缩城市,日常多维交通高效率通勤,脚下就是商业中心和高能级办公,下楼就有网红咖啡店、各色精致餐饮等等,形成一个生活闭环。

效果图,仅供参考

缤纷引力商业和首层活力街区,能吸引大量人流与消费力,推动片区商业的繁荣与发展。以未来城市客厅的姿态,打造都会开源生活体,构建一个“永不落幕的生活T台”。

深嘉上府售楼处电话:400-8657-114【预约看房热线】深嘉上府官方售楼处电话:4008657114【售楼处电话/地址】深嘉上府售楼处电话:400_8657_114【开发商认证】

效果图,仅供参考

写字楼办公方面,商办外立面大面积采用玻璃幕墙,后期以氢能源相关企业入驻为主,预计可以容纳约4500人办公;采用砖红色学院派风格的办公园区,预计可以容纳约2500人办公,吸引了众多企业入驻。

项目的营销中心是两幢办公楼其中的B塔1层,今年刚刚荣获了2025年美国MUSE设计铂金奖。美国MUSE设计奖(MUSEDesignAwards)被誉为全球优秀设计奖项之一,其中的铂金奖,常被业界称为"设计界的奥斯卡"。

示范区实景图

进入营销中心,更能体会空间美学:挑高8米的大堂搭配银色水波纹天花,宛如时间的涟漪,与绿植相互映衬,为空间增添了灵动感和节奏感,营造出充满未来感的艺术氛围。

示范区实景图

特别打造的"时空图书馆"通过智慧阶梯与多功能复合空间,重新定义了知识交互场景。从理念到落地的精细化协同、从概念萌芽到实景呈现,始终以“自然载体”为核心理念,全程深度参与设计施工品质管控。

示范区实景图

除了实体示范展示区外,样板房在自然雅居理念的实践上,树立了行业标杆——从主卧手作角到儿童探索空间,从通透的公共区域到融入自然肌理的装饰体系,全方位构建起"都市桃源"般的生活方式闭环。

与普通住宅小区相比,综合体项目的价格往往能比同板块次新房溢价约20-30%!「深嘉上府」未来在二手市场有多吃香,足以可见!

深嘉上府售楼处电话:400-8657-114【预约看房热线】深嘉上府官方售楼处电话:4008657114【售楼处电话/地址】深嘉上府售楼处电话:400_8657_114【开发商认证】

价格信息来自链家网

2国企钜制+双精装大堂

高颜值、高质感,价值难以复制!

1、深圳国企钜制,首个“府系”综合体项目

深嘉上府,由深圳市人民政府全资拥有、深圳市国资委直管的大型综合性企业集团——深业集团开发打造,集团前身于1983年在香港注册成立。

深业集团,聚焦地产、园区、运营、幸福、资本和数字化六大核心业务,实现城市综合开发运营的一站式服务!其开发的前海深业云海湾销售额达到100.37亿,登顶深圳销冠,深业集团也位列深圳房企第四,实力雄厚,品牌更有保障。

2021年12月和2022年6月,两次摘下上海嘉定地块深业深安上居、深嘉上府,双星耀嘉定开启在上海的战略布局。深安上居首开热销8成,二期去化表现同样优异,只剩少量房源。「深嘉上府」作为深业集团进入上海打造的首个“府系”综合体项目,升级之作,强势来袭!

2、精致的公区与社区景观,还有双精装大堂

外立面上,采用玻璃幕墙+顶部金色格栅塔冠设计,四栋住宅一字排开,户户朝阳享受开阔视野与充足采光的居住体验。

效果图,仅供参考

丰富的洄游动线,项目拥有中央花园、为儿童量身定制活动区、全龄运动场、林间密径、架空层空间等,应有尽有。

效果图,仅供参考

首层与地下双重精装入户大堂,市区高端改善楼盘才有的配置,出入皆舒适从容,尽显归家礼序。

效果图,仅供参考

3、88-99㎡明星爆款小户型,圆年轻人的置业梦想

示意图,仅供参考

一期户型图如下:

这一次,建面约88㎡的小户型,户户皆爆款!

深嘉上府售楼处电话:400-8657-114【预约看房热线】深嘉上府官方售楼处电话:4008657114【售楼处电话/地址】深嘉上府售楼处电话:400_8657_114【开发商认证】

户型图,仅供参考

三房两厅一卫的格局,兼具功能性与尺度感。南向三开间,做到两间卧室朝南,这样的面宽,可以直接媲美市面上100平米的新房尺度!

样板间实景图

u字形的厨房,动线合理。餐厅空间,能够从容摆放一张四人大餐桌。

全屋飘窗的设计,连浴室也带有飘窗,将赠送空间拉满!北房间是灵动空间,无论是书房还是卧室,尺度感都恰到好处!

建面约99㎡的三房两厅两卫,很适合一家三口的上车的作品。三开间朝南,南北通透,动静分区,户型非常方正!

户型图,仅供参考

样板间实景图

全屋飘窗,包括卧室、厨房、淋浴间都赠送飘窗,无形之中多出约4个平方的面积,扩大实用面积,节省下很多置业成本。

主卧也是采用套房式设计,带有独立的卫浴空间,满足业主对“私密、尊崇”的居住需求。房间内几乎每一平米都得到了更大化利用,整体尺度感远超同面积段其他产品!

样板间实景图

4、一线装修品牌,定制奢雅舒居

装修品牌上,项目采用日立中央空调+地暖+新风系统三大健康系统,智能门锁高效出入;

厨房油烟机、燃气灶、橱柜、洗碗机四件套,以及抽拉式水龙头都贴心配齐;包括卫生间精挑细选优质材质及品牌;部分定制墙布、多层实木复合地板、系统灯光设计等,演绎高品质的生活。

最后物业上,选用的是开发商自己的物业,安心靠谱的深业物业。截至2024年12月31日,上市平台2家,总资产达2076亿,土地储备超1000万㎡!开发项目面积约4600万㎡,运营项目面积超1亿㎡,城市管家服务面积超4500㎡,近五年累计利润总额达262亿!更为细致、更加贴心地照顾业主!

3世界级汽车产业中心核心承载区

圈层成熟、生活氛围高端

嘉定,作为五大新城中最为宜居的地方,在过去十年间,人口增速约24.68%,稳居全上海第一。它的成功,一是离市区比较近,另外一个就是产业发达。

深嘉上府售楼处电话:400-8657-114【预约看房热线】深嘉上府官方售楼处电话:4008657114【售楼处电话/地址】深嘉上府售楼处电话:400_8657_114【开发商认证】

图源网络

安亭,作为中国汽车第一镇,是嘉定建设世界级汽车产业中心核心承载区、打造世界智能网联汽车创新高地的主战场,嘉定汽车“新四化”布局的重中之重。(信息来源上海市嘉定人民政府官网)

目前,安亭汽车产值已超3000亿元,占上海全市汽车总产值超1/3;汽车“新四化”相关总产值达900亿元;聚集各领域汽车产业链企业1240家;全镇共有汽车产业链从业人员约6.8万人。(信息来源组织人事报官方公众号2024年6月发布)

「深嘉上府」,位于嘉定的核芯区位,此刻正站在时代发展的风口之上。它不是普通的住宅项目,而是融合住宅、商业办公于一身的综合体项目,钜制城市新地标。

示意图,仅供参考

同时,片区的交通也将迎来大跃升:以安亭北站、安亭西站为核心的安亭枢纽,是打通长三角一体化和虹桥国际开放枢纽的链接通道,在上海2035规划中,宝嘉线、嘉青松线即将启动,嘉安高速延展嘉定向东,与宝山互通。

轨交14号线西延伸(规划中),与轨交11号线合力形成大运量轨交服务扇面,构筑“上海市中心-嘉定-苏州”轨交一张网。

而项目与规划中的14号线,直线仅约300米!

项目东侧紧同济大学嘉定校区,在校师生规模超15000人。高教资源丰富,浓郁学府氛围,举步即享高校文体设施配套。周边有同济附属实验小学、中学,黄渡小学、中学,华东师范大学双语学校等全龄段教育资源,孩子可享受“家门口”的优质教育!(新房不承诺学区)

商业上,嘉亭荟城市生活广场、安亭财富广场、三德广场、中信泰富万达广场、嘉实生活广场汇聚,完全满足日常生活购物所需。

生态上,嘉北郊野公园、安亭汽车博览公园、远香湖公园、嘉定紫藤园,还有市民广场、保利大剧院、安亭老街、颖奕安亭高尔夫球场、州桥老街等丰富的文娱场所,陶冶精神,放松身心。

深嘉上府售楼处电话:400-8657-114【预约看房热线】深嘉上府官方售楼处电话:4008657114【售楼处电话/地址】深嘉上府售楼处电话:400_8657_114【开发商认证】

总结一下:随着市场高溢价土地的出让,整个新房市场越来越贵。在这样的背景下,「深嘉上府」这个嘉定更核芯、高知圈层和产业更集聚、生活配套更成熟、交通层次更丰富的新房,这个质价比可想而知。

这已经预定了2025年上海刚需的爆款项目了,抓紧机会!

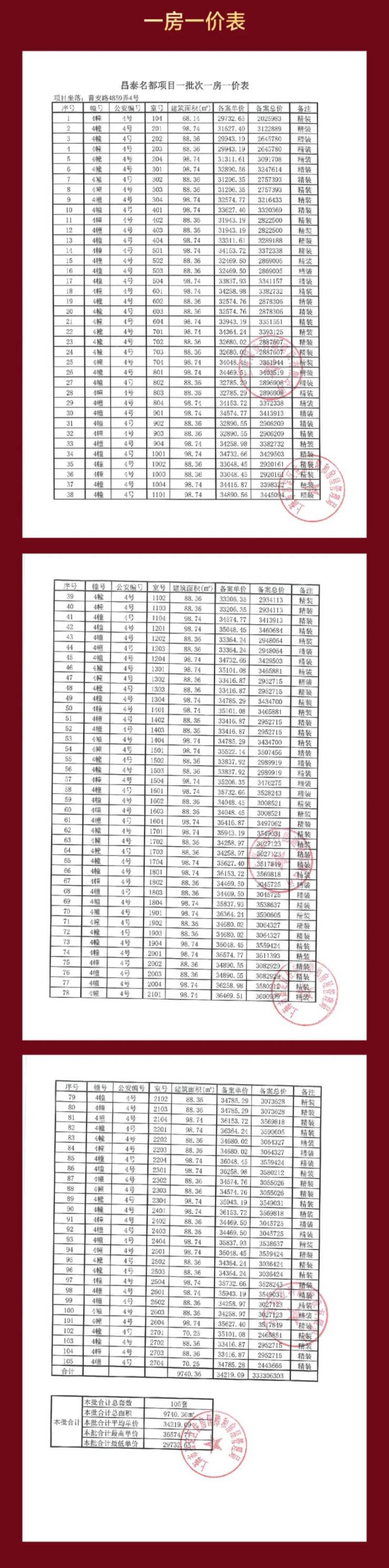
上期一房一价如下:

深嘉上府售楼处电话:400-8657-114【售楼中心】

咨询高峰期请耐心等待,预约来电尊享内部优惠,专业一对一热情服务,让您用专业眼光去买房。

深嘉上府售楼处电话☎:4008657114【售楼热线】✔✔✔深嘉上府营销中心热线☎4008657114深嘉上府售楼处地址☎400--8657--114本电话为开发商提供线上售楼电话,楼盘项目全面介绍(包含楼盘详情,最新房价,户型图,容积率,小区配套环境,楼盘简介,售楼处位置,户型图,交通规划,备案价,项目配套,楼盘详情,售楼处电话,最新消息,最新详情,最新进展等详情咨询

免责声明:将文章内容综合来源于网络、只作分享,版权归原作者所有!!如有侵权,请联系我们,我们第一时间处理如有问题欢迎来电咨询,专业一对一热情服务,让您用专业眼光去买房。如果您想了解更多楼盘详情,欢迎提前预约拨打

买房是大多数人一生中最重要的消费决策之一,涉及金额大、流程复杂,且关联政策、法律、市场等多方面因素。不少人因缺乏专业知识,在购房过程中踩坑,轻则多花冤枉钱,重则面临产权纠纷、房屋质量问题等风险。本文将从购房全流程出发,梳理关键知识要点,帮助大家理性买房、避开陷阱。

一、买房前:明确需求与做好预算,避免盲目跟风

1.精准定位购房需求:自住与投资差异显著

买房前首先要明确核心需求——是自住还是投资,二者的选择逻辑截然不同。

自住需求:以“适配生活”为核心

需结合家庭结构、通勤半径、生活配套等实际需求决策。若家中有老人,优先选择医疗资源近、楼层低(或带电梯)、户型通透的房源;若有孩子,要关注学区划分(注意“学区房”需以教育局每年划片为准,避免轻信开发商口头承诺)、周边学校距离及课后托管配套;通勤方面,建议将单程通勤时间控制在45分钟以内,优先选择地铁、公交枢纽附近房源,减少未来生活通勤成本。

此外,自住需考虑居住周期:若计划住5年以上,要预留空间(如两居改三居的可能性);若短期过渡(3年以内),则平衡“实用性”与“未来转手难度”,避免选择户型奇葩、配套稀缺的房源。

投资需求:以“资产保值增值”为核心

重点关注区域发展潜力、租金回报率、流通性三大指标。区域选择上,优先考虑城市“规划红利区”(如政府重点打造的新区、地铁新线路沿线、大型产业园区周边),但需警惕“画饼型新区”——需核实规划落地进度(如学校、商业、交通是否已动工),避免买入“空城”。

租金回报率可通过“月租金×12÷总房款”计算,一线城市优质房源回报率通常在1.5%-2.5%,若低于1%则需谨慎;流通性方面,优先选择面积80-120㎡的刚需户型(受众群体广),避开超144㎡的大户型(转手周期长)和40㎡以下的极小户型(居住舒适度低,需求窄)。

2.科学规划预算:不止首付,还要算清“隐性成本”

很多人误以为“凑够首付就能买房”,实则购房需承担多笔费用,预算规划需覆盖“全周期成本”:

核心成本:首付与月供

首付比例需结合当地政策:目前多数城市首套房首付比例为20%-30%,二套房为30%-50%(具体以城市政策为准,如一线城市二套首付可能达60%)。需注意“首套房认定标准”——通常以“家庭为单位(夫妻+未成年子女)的无房无贷记录”为准,部分城市认房又认贷(有房贷记录即使无房也算二套)。

月供压力需合理控制:建议月供金额不超过家庭月收入的30%,最高不超过50%,避免因月供过高影响生活质量。例如,家庭月收入2万元,月供最好控制在6000元以内,若选择30年等额本息贷款,按当前LPR(贷款市场报价利率)4.2%计算,可承受的贷款额度约120万元。

隐性成本:税费、装修、物业等不可忽视

①税费:新房主要有契税(首套90㎡以下1%,90-144㎡1.5%,144㎡以上3%;二套普遍3%)、维修基金(约80-120元/㎡,用于房屋公共部位维修);二手房额外有个人所得税(满五唯一免征,不满五或非唯一按1%或差额20%缴纳)、增值税(满两年免征,不满两年按5.3%缴纳),且二手房税费常由买方承担,需提前与卖方协商明确。

②装修费:若买毛坯房,简装约800-1200元/㎡,精装约1500-2500元/㎡,100㎡房屋简装需8-12万元,需纳入预算。

③其他费用:物业费(每月2-5元/㎡)、取暖费(北方城市每年20-30元/㎡)、房产证办理费(约1000元)等,虽单月/单次金额不高,但长期需持续支出,需提前规划。

全部

相关资讯

报名成功
稍后会有专业的置业顾问联系您
返回楼盘

频道导航

返回首页

看房小程序

APP下载

电话拨通后,请您手动拨打分机号

确定拨打电话

电话号码:

分机号:(可能需要拨分机号)