招商时代潮派|东屿
售楼处电话:400-998-9694
如有问题欢迎来电咨询,来电即可享受买房优惠!
预约来电尊享购房优惠,可预约案场内部销售人员,专业一对一热情服务,让您用专业眼光去买房。
楼盘项目全面介绍,本电话为开发商提供线上售楼处电话,楼盘项目全面介绍(包含楼盘简介,楼盘积分,房价,价格,楼盘地址,户型图,交通规划,备案价,项目配套,楼盘详情,售楼处电话,最新消息,最新详情,周边配套,最新进展等详情咨询)
招商时代潮派|东屿售楼处电话:400-998-9694
9号线泗泾站新一代超级TOD
自带商业,总体量约18.5万方,纯商业达到了约12.5万方
与地铁商场近乎0距离,还有高配装标
招商时代潮派|东屿
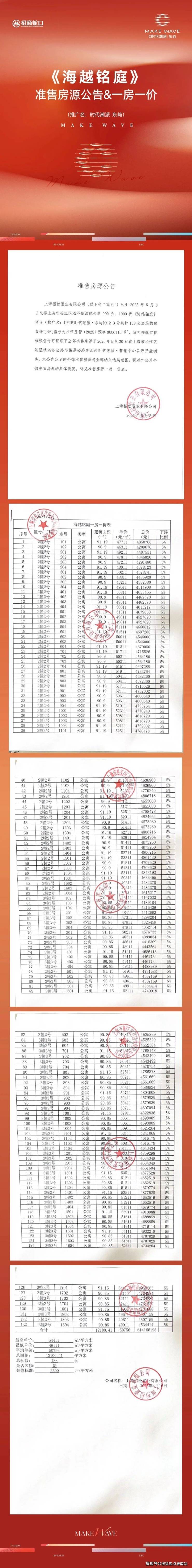
主推建面约91㎡3房户型
均价50756元/㎡
房源共计133套!
招商时代潮派|东屿售楼处电话:400-998-9694

招商时代潮派|东屿售楼处电话:400-998-9694
招商时代潮派|东屿售楼处电话:400-998-9694
一房一价如下👇

招商时代潮派|东屿售楼处电话:400-998-9694
推售信息
招商中旅揽阅二期,建面约91㎡3房户型,均价50756元/㎡,房源共计133套!

项目未来交付标准:
三大件:松下或日立或东芝或三菱或同等档次品牌的空调地暖两联供,百朗或同等档次品牌新风;
卫生间:科勒或TOTO或同等档次品牌的台盆、台盆龙头,高仪或科勒或同等档次品牌主卫或单卫智能马桶、淋浴花洒,名族或同等档次品牌的风暖。
厨房:整个厨房不仅严选用国际品牌的装标,例如超薄镜面机身,挥手即可控制的抽烟机、大面板且具备防干烧技术燃气灶、网红大单体黑石水槽、可抽拉水槽龙头...
招商时代潮派|东屿售楼处电话:400-998-9694 在细节上更是贴心呵护人居,大大提升居住体验!
例如铝框窄边三扇移门+完美系列上轨道设计+拉丝艺术玻璃,是身份的象征、也是业主格调的体现;
厨房U型操作台面,并配备了洗碗机、末端净水,甚至凉霸,不仅能解放双手,还解决了炎炎夏日厨房做饭闷热的烦恼;
还配备大量收纳系统,例如多功能拉篮、定制亚光翻边造型柜体等。
「全套户型图全网首发」

招商时代潮派|东屿售楼处电话:400-998-9694

招商时代潮派|东屿售楼处电话:400-998-9694
“南向双阳台+南北双飘窗”,构筑真3房户型!
不能说所有,但起码小胖君从业那么多年,所见过的建面约100㎡以内的3房,几乎都面临着一些实用性上的问题。比如:北次卧只能做一间书房甚至是收纳间,而南次卧放下一张标准床后,也没有什么收纳空间或者走道了...
这是百平米3房那么多年一直无法解决的通病。
而招商·时代潮派|东屿此次建面约91㎡户型,就做出来了比市面百平户型更好的的“南向双阳台+南北双飘窗”设计。
先来看南次卧:

招商时代潮派|东屿售楼处电话:400-998-9694
这个卧室里放下了一张双人床、一个梳妆台、阳台上还能放休闲座椅和小茶几。
妥妥的“建面约100㎡以上户型的主卧级尺度”。
其次,南向主卧:

招商时代潮派|东屿售楼处电话:400-998-9694
整个主卧尺度感是非常宽绰的,加上飘窗带来的视野延展以及收纳空间,居住舒适度拉满。
如果是边套的主卧,还会有一个约270°的转角飘窗,尺度感和实用性更上一层楼。

再来看北次卧:

招商时代潮派|东屿售楼处电话:400-998-9694
虽然样板间做了一个书房,但如果是爸妈偶尔来住一样,或者做一个儿童房,也是绰绰有余的。
这样一个低总价、高实用性的产品,却保证了业主所有的生活需求。给了业主一个真正一步到位上车TOD真3房的机会,真的是性价比很高。
市场上绝大多数建面约91㎡的3房户型,小厨房+单开门冰箱是标配。对于一生爱囤货的中国人来说,如此格局只能说“需要忍受”。
为此,招商·时代潮派|东屿设计了一面S墙,可以放下一个超大的双开门冰箱。

招商时代潮派|东屿售楼处电话:400-998-9694
同时把原本冰箱的空间都留给了厨房,让业主有更多的空间进行烹饪。

招商时代潮派|东屿售楼处电话:400-998-9694
说完户型,我们再来看一下项目的精装和收纳:
招商·时代潮派|东屿的收纳,几乎是做到了极致。
首先是厨房:

招商时代潮派|东屿售楼处电话:400-998-9694
不管是小碗、大碗还是其他特殊餐具,都有不同的大小规格的抽屉可供整齐的摆放。让整个厨房的空间,得到充分的“扩容”。
满足业主对于烹饪、收纳的所有需求。
其次还有玄关部分:

招商时代潮派|东屿售楼处电话:400-998-9694
玄关收纳更精细,每个格子的规划都很贴近生活,随手物件、女主人的高靴、扫地机器人等都有各自安置空间。
同时玄关柜底部也特意做了镂空,可以摆放拖鞋、换洗的鞋子、摆放扫地机器人等都很实用。
卫生间收纳也是相当出色:

尤其是卫生间的镜柜,使用了内外双镜,并且内部的收纳空间相当丰富,小到女主人的发箍、面膜、口红、香水,大到吹风机都有适合的位置。
并且,还配备了一个美妆冰箱,可以收纳昂贵、需要冷藏的化妆品等。
另外,项目在整个居住空间设计了更实用的壁龛,包括卫生间、厨房等。
在同样的空间内,构造出了更多的收纳空间,这就是匠心,这就是招商对于人居更深层次的思考。
最后,在精装层面,项目走的依旧是高奢范:
松下或日立或东芝或三菱或同等品牌的空调地暖两联机;
百朗或同等品牌的新风系统;
方太或同等品牌的燃气灶+油烟机+洗碗机;
招商时代潮派|东屿售楼处电话:400-998-9694 主卫科勒或TOTO或同等品牌的台盆、台盆龙头;
高仪或科勒或同等品牌(仅主卫或单卫户型配置)的智能马桶、恒温花洒等国际高定装标在招商·时代潮派|东屿中聚首,确保业主后期使用体验。
整个项目的精装品质和收纳设计真的是超配般的存在。
S墙设计,释放厨房空间,小户型也能放下双开门冰箱!
招商时代潮派|东屿售楼处电话:400-998-9694
基本信息
上海2024年首场土拍正式落幕!2宗涉宅用地成功出让,揽金63亿元。

其中,泗泾地块最终由招商蛇口竞得,泗泾镇SJS20005单元14-01号、17-07号地块 位于泗泾地铁站北侧,14-01号地块东至横港公路,南至横港河,西至外婆泾路,北至恒泽路,17-07号地块东至洞泾港,南至泗陈公路,西至横港公路,北至横港河,房地联动价5.11万/㎡。
具体位置如下:

招商时代潮派|东屿售楼处电话:400-998-9694
而且其住宅的体量也是比较大,根据出让文件显示,14-01子地块住宅套数下限1229套,17-07子地块住宅套数下限527套。
根据出让要求,地块全装修住宅建筑面积应占总住宅建筑面积的50%以上,中小套型住宅建筑面积不得低于该地块住宅总建筑面积的80%,商品住宅装修标准不低于2500元/㎡(集采价格)。
【基础信息】
开发商:招商蛇口
招商时代潮派|东屿售楼处电话:400-998-9694 项目板块:松江泗泾
总建面:约50万方(14-01、16-02、17-07三块合计),其中14-01地块总建面约18万方
容积率:14-01地块约2.0
面积段:建筑面积约89-143㎡
总户数:14-01总规划1261户,可售1137户
产品类型:小高层+洋房
房地联动价:约51100元/㎡

招商时代潮派|东屿售楼处电话:400-998-9694
目前两幅住宅地块的设计方案均已公示,其中:
14-01地块:占地面积约6.09万方,总建筑面积约18.24万方,容积率2.0,由16栋14-18F高层住宅、3栋5F多层住宅、1栋18F保障房以及若干配套用房组成;

招商时代潮派|东屿售楼处电话:400-998-9694
17-07地块:占地面积约2.76万方,总建筑面积约10.96万方,容积率2.5,由6栋18F高层住宅、1栋18F保障房、1栋14F酒店、3栋2-3F商业以及若干配套用房组成!

招商时代潮派|东屿售楼处电话:400-998-9694
14-01地块:住宅用地,容积率2.0,限高60米,计容面积121653.84㎡;
16-02地块:商业服务业、文化、公交场站用地,容积率2.6,限高80米,计容面积107027.41㎡,其中商业服务业用地占比84%、文化用地16%;
17-07地块:住宅、商业服务业用地,容积率2.5,限高60米,计容面积69083.5㎡,其中住宅用地占比76%、商业服务业用地24%。

招商时代潮派|东屿售楼处电话:400-998-9694

为了满足当代年轻人对于文化、公园、交流空间与购物的需求,招商·时代潮派带来“站、城、人一体化”的TOD4.0模式,打造一个全域链接、有机生长的交通枢纽、商业枢纽、生活枢纽,为上海带来一次关于TOD的迭新,也是一次对于城市潮前生活的作答。

招商时代潮派|东屿售楼处电话:400-998-9694
招商·时代潮派精细场景洞察,希望从空间、内容、用户、体验、消费等方面达到符合当代年轻人的潮流生活。项目内部,招商·时代潮派汇聚商业、文化、住区、酒店4种业态,向外,通过打破大城的“边界”,链接教育、医疗、办公、绿地等配套,创造出更加丰富多样的场景,从而形成一个有机的整体,为城市、社区和家的生活,带来全维度的体验。

面对TOD4.0,招商·时代潮派不仅以交通为中心,建立一体化的综合区域,更是在满足移动出行、公共服务、物质消费的基础上,更是藉由水系、绿地、景观桥等消融边界,将地铁、商业、住宅与周边的配套有机地连接起来,形成一个网状网络,不仅可以更好的满足人的需求,打造一个步行可达的生活圈,更可以凭借这种开放式街区与共享式配套,将整个TOD中多元缤纷的各种生活场景融入生活,在促动人与人之间重新链接之外,为生活带来更多的惊喜。

招商时代潮派|东屿售楼处电话:400-998-9694
作为美好生活的“第三空间”,商业一直以来都是招商蛇口发力的主赛道之一。从深圳到全国五大区域,招商商管已辐射全国32座城市,持有管理商业项目超80个,以不断焕新的商业模式,为城市带来更多精彩的体验。这一次,招商蛇口为上海带来第五座花园城,为上海、也为松江泗泾,献上不一young的定制化体验。

为此,花园城拒绝传统商业千篇一律的玻璃盒子,充分汲取江南水乡的肌理,带来水波起伏般的屋檐,更是借鉴“城市窗口”的美好寓意,打造形似窗框的立面设计。而退台式的阶梯,开放、分层、聚合,成为了未来人与人放松社交的绝佳场地,让空间可交互,让惊喜时刻发生。

招商时代潮派|东屿售楼处电话:400-998-9694
拒绝复刻的花园城,站在年轻人的角度,为他们量身打造一个潮流聚落,植入新风潮、新乐潮、新夜潮,和新文潮4大新潮主题。这里汇聚着运动潮牌、时尚服饰、设计师品牌等一系列的潮流风尚,娱乐体验、生活休闲、宠物经济等有趣又创新的内容,拓展诸如泗泾新夜市等夜间欢享,更是拥有文创杂货、文化空间、文创书店等思想的聚地,营造一个充满无限可能的丰盛空间。

招商时代潮派|东屿售楼处电话:400-998-9694
招商立足“站、城”一体化TOD模式之上,为上海带来约50万方城市潮前作品「招商·时代潮派」,涵盖上海第五座花园城、绿地联盟、文化空间以及滨水国际住区等多元业态,以更好的生活,澎湃城市向上的力量,与青质精英共潮前。
项目引入招商醇熟的旗舰产品“花园城”,践行“X+商业”的差异化战略,以多元产品与特色品牌为内驱动力,打造商业、酒店、文化、住宅多元业态,更是打破边界,向外链接教育、绿地、医疗、办公等优质配套,带来年轻精英的潮流聚集地。

以简约的美学 丰盈生活的理想
建筑汲取极简主义精粹,以线条塑造建筑的轻盈感与未来感;
转角通过曲线、弧度来营造出流畅、柔和的外观,创造一种灵动的美学风格;
以酒店的礼序 营制归家的仪式
部分入口酒店式环岛落客区的设计,搭配水景营造,拉满归家的仪式感;
地上地下双入户大堂,地下车库电梯直达,尽享尊崇礼遇;
一层高定入户门厅,弧形悬浮顶棚,时刻彰显优雅摩登;
以多元的场景 缔结社交的意趣
架空层里休闲会客、社交洽谈、儿童娱乐、书吧等多功能模块,打造全龄化社交空间,邻里间的温情与自然一同生长;

招商时代潮派|东屿售楼处电话:400-998-9694
颜值立面,沉淀历久弥新的惊艳
招商时代潮派汲取极简主义的精髓,运用简约线条精心塑造建筑的轻盈感与未来感。项目特别设计了鎏金穹顶,以其独特的艺术魅力为城市天际线勾勒出一道历久弥新的美学符号,彰显了项目的品质与品味。

招商时代潮派|东屿售楼处电话:400-998-9694
在建筑的转角处,项目巧妙地运用了弧形元素,不仅柔化了建筑的立面形态,更增强了整体空间的流动感与韵律美,使建筑在保持简约风格的同时,又不失优雅与和谐。

三重归家,匠心高定生活礼仪
在归家仪式感方面,招商时代潮派精心规划三重归家动线。

招商时代潮派|东屿售楼处电话:400-998-9694
社区主入口设计酒店式环岛归家,辅以活力四溢的涌泉水景,营造出更尊崇的归家仪式感,让业主在归家的瞬间感受到尊贵与温馨。
入户门厅以弧形悬浮顶棚为特色,为业主带来柔和温润的归家关怀,让归家的每一步都充满舒适与惬意。

招商时代潮派|东屿售楼处电话:400-998-9694
此外,项目还设有地上地下双精装大堂,地下车库电梯直达,为业主提供便捷高效的出行体验,同时也彰显了极尽礼宾仪式的尊贵品质。

招商时代潮派|东屿售楼处电话:400-998-9694
多元景观,自然森系生活体验
项目充分融合多元化的景观元素,内外呼应巧妙构筑了:迎宾门庭、连绵水苑、潮玩乐园、光影艺廊、冥想绿境、休闲会客、景观入户等多维并蓄的高颜值景观组团,让业主享受兼具现代美学与自然森系特色的度假式居所。

四大架空层,自家楼下的泛会所
招商时代潮派在社区内部精心布局了多个架空层区域,涵盖休闲会客、社交洽谈、儿童娱乐及阅读室四大核心功能模块,为业主带来适合全龄段的社交空间,营造更加温馨和谐的生活氛围。

招商时代潮派|东屿售楼处电话:400-998-9694
周边配套
具有千年悠久历史的古镇泗泾,位于徐汇西核,依托地铁9号线,连接辐射七宝、徐家汇、打浦桥、新天地、陆家嘴等多个核芯商圈,汇聚超20万的城市青质精英,成为宜居、宜业、宜乐的全新国际化社区。

作为长三角G60科创走廊“一廊九区”的重要承载区,泗泾将承载“人工智能产业基地”功能。2035期间,将着力建设智能双创、高端制造2大产业板块。以泗泾为中心,沿着泗陈公路,一条集高端智能制造+泗泾古镇+轨交高端综合服务核心的“G60科创走廊城市会客厅”正在重塑焕新。

招商时代潮派|东屿售楼处电话:400-998-9694
交通方面,该项目位于9号线泗泾站地铁上盖,算是比较纯正的地铁盘;进站后,3站可达目前房价约7万的七宝,再坐3站可达目前房价约10万+的漕河泾、再3站就是房价约13万+的中央活动区徐家汇!项目周边已经比较成熟,无明显不利因素,北侧是成片的次新商品房社区,城市界面尚可;此区域也算是泗泾站附近最后一片成规模开发的区域,随着泗泾站TOD项目的落地,也将改变泗泾无大型商业综合体的局面!

招商时代潮派|东屿售楼处电话:400-998-9694
徐家汇只是开始,往后的嘉善路、马当路、打浦桥一直到浦东世纪大道,全是上海城心寸土寸金的繁华地段。
居于松江泗泾,凭借黄金9号线迅捷通达沪上顶级CBD群,同时巨大的价差,庞大的外溢需求,让泗泾的发展前景无可限量!
自驾出行,凭借沪松公路+嘉闵高架,自驾前往大虹桥核心区非常迅捷!
再看小环境,泗泾板块经过多年发展,居住氛围浓厚。
周边1公里内商业、医院、学校等配套齐全,生活无忧。
商业配套有保利悦活荟、大润发、三湘商业广场等,可以满足日常生活所需;随着泗泾站TOD项目的落地,将改变泗泾无大型商业综合体的局面,届时将能满足我们更丰富的消费需求!

招商时代潮派|东屿售楼处电话:400-998-9694
医疗方面,有泗泾医院、松江新城第一人民医院南院等;根据区域zui新的控规显示,现泗泾医院的南侧、东侧均调整成了医疗用地,未来泗泾医院有望迎来进一步扩建!

教育资源方面,参考融创壹号公馆,目前对口的是松江泗泾实验学校,九年一贯制公办学校,未来该项目也有一定的概率对口;另外在17-07地块北侧还规划有一所完中,目前还是空地状态,也还有少量民宅待拆迁!

招商时代潮派|东屿售楼处电话:400-998-9694
项目周边已经比较成熟,无明显不利因素,北侧是成片的次新商品房社区,城市界面尚可;此区域也算是泗泾站附近最后一片成规模开发的区域,随着泗泾站TOD项目的落地,也将改变泗泾无大型商业综合体的局面!
1、什么是房产:房屋产权的简称。
2、什么是地产:是指土地财产。
3、什么是房地产:是房产和地产的总称。
4、什么是房地产业:从事房地产开发、建设、经营、管理以及维修、装饰和服务的综合性产业。
5、什么是房地产开发:是指在依法取得土地使用权的土地上按照使用性质的要求进行基础设施、房屋建筑的活动。
6、什么是土地开发:是将“生地”开发成可供使用的土地。
7、集体土地是指:农村集体所有的土地。
8、征用土地是指:国家为了公共利益的需要,可依照法律规定对集体所有的土地实行征用。
9、什么是土地所有权:是指国家或集体经济组织对国家土地和集体土地依法享有的占有、使用、收益和处分的权能。
10、什么是土地使用权的出让:指国家以协议、招标、拍卖的方式将土地所有权在一定年限内出让给土地使用者,由使用者向国家支付土地使用权出让金的行为。
11、什么是土地使用权转让:是指土地使用者通过出售、交换、赠与和继承的方式将土地使用权再转移的行为。
12、什么是地籍、产籍:是对在房地产调查登记过程产生的各种图表、证件等登记资料,经过整理、加工、分类而形成的图、档、卡、册等资料的总称。
13、生地是指:不具备开发条件的土地。
14、熟地是指:已完成三通一平(水、电、道路,土地平整)或七通一平,具备开发条件的土地。
15、什么是宗地:是地籍的最小单元,是指以权属界线组成的封闭地块。
16、什么是宗地图:是土地使用合同书附图及房地产登记卡附图。它反映一宗地的基本情况。包括:宗地权属界线、界址点位置、宗地内建筑位置与性质、与相邻宗地的关系等。
17、证书附图是指:房地产后面的附图,主要反映房地产情况及房地产所在宗地情况。
18、什么是物业管理:泛指一切有关房地产开发、经营、商品房销售、租赁及售后服务。
19、什么是业主委员会:是在物业管理区域内代表全体业主实施自治管理的组织。是代表
物业全体业主合法权益的社会团体,其合法权益受国家法律保护。
20、业主委员会是如何产生的:由业主大会从全体业主中选举产生。
21、住房补贴是指:国家为职工解决住房问题而给予的补贴资助。
22、房屋的所有权是指:对房屋全面支配的权利。
23、房地产交易的两种主要形式是:地产交易形式与房产交易形式。
24、建筑物是指:人工建造而成的房屋和构筑物。
25、构筑物是指:建筑物中除房屋以外的东西。
26、什么是期房:是指消费者在购买时不具备即买即可入住的商品房。
27、期房是如何介定的:房地产开发商拿到商品房预售许可证开始至取得房地产权证大产证或竣工验收合格可以直接入住使用)为止。
28、什么是预售合同:消费者在购买期房时签定的销售合同。
29、什么是现房:是指消费者在购买时具备即买即可入住的商品房,即开发商已办妥所售的商品房的大产证(或已经竣工验收合格并交付使用)的商品房。
30、什么是毛坯房:房地产商交付屋内只有门框没有门,墙面地面仅做基础处理而未做表面处理的房叫毛坯房。
31、什么是成品房:是指对墙面、天花、门套、地板实行装修。
32、什么是商品房:是指以完全的市场价格向购房者出售的房子。
33、商品房预售是指:在房地产尚未建成以前,房地产的经销商在取得受买人一定数量的定金后,将期房出售给受买人。
34、商品房现售是指:指房地产开发企业将竣工验收合格的商品房出售给买受人。
35、二手房通常指的是:再次进行买卖交易的住房。
36、经济适用房指的是:面向中低收入家庭的普通住宅。
37、例出3种以上的安居房的种类:准成本房、全成本房、全成本微利房和社会微利房。
38、低层住宅的介定:1-3层的住宅。
39、多层住宅的介定:4-6层的住宅。
40、小高层住宅的介定:7-11层的住宅。
41、中高层住宅的介定:12-16层的住宅。
42、高层住宅的介定:16层以上为高层住宅。
43、超高层建筑的介定:总高度超过100米的建筑。
44、商品房的结构是指:房屋主体所使用的施工工艺和用材。
45、钢结构的意思是:承重的主要结构是用钢材料建造的,包括悬索结构。
46、钢混结构的意思是:承重的主要结构是用钢和混凝上建造的。
47、砖木结构的意思是:承重的主要结构是用砖、木材建造的。
48、砖混结构的意思是:主要是砖墙承重,部分是钢盘混凝土承重的结构。
49、框架结构的意思是:以钢筋混凝土浇捣成承重梁柱,再用预制的隔墙分户的结构。
50、开间指的是:一间房屋内一面墙的定位轴线到另一面墙的定位轴线之间的实际距离。
51、进深指的是:一间独立的房屋或一幢居住建筑内从前墙的定位轴线到后墙的定位轴线之间的实际长度。
52、层高指的是:下层地板面或楼板面到上层楼层面之间的距离。
53、净高指的是:下层楼板上表面到上层楼板下表面之间的距离。
54、占地面积指的是:地块的总面积。
55、1亩约等于多少平方米:666.66㎡
56、居住小区总用地指的是什么用地的总和:住宅总用地,公共建筑设施总用地,道路、广场用地、庭院、绿化用地的总和。
57、住宅总用地是指:住宅用地面积的总和。
58、公建总用地是指:小区内部公共建筑占地面积的总和。
59、建筑用地面积的介定:建设用地位置和界线所围合的用地之水平投影面积。
60、建筑基底面积是指:建筑物首层的建筑面积。
61、建筑高度是指:建筑物室外地平面至外墙面顶部的总高度。
62、房屋的基底面积是指:房屋的基底面积是指建筑物底层勒脚以上外围水平投影面积。
63、道路面积是指:小区内宽度大于1.5米道路的面积总和。
64、广场面积是指:停车、回车广场和有铺砌地面的场地面积之和。
65、庭院、绿化面积是指:小区内集中绿化带、小公园,以及公共活动场所等为小区所有居住人员共同使用权的绿化面积的总和。
66、假山、小池算不算庭院、绿化面积:算。
67、人均总占地面积(㎡/人)的计算公式:人均总占地面积=建筑红线内总用地÷本小区规划居住总人数。
68、人均住宅用地面积(㎡/人)的计算公式:人均住宅用地面积=小区内总住宅用地÷本小区规划居住总人数。
69、总建筑面积是指:小区内住宅、公共建筑、人防地下室面积总和。
70、人防地下室算不算在总建筑面积之内:算
71、住宅建筑面积是指:住宅建筑外墙外围线测定的各层平面面积之和。
72、套建筑面积是指:一套房屋的整体面积。
73、套建筑面积的构成是:套内建筑面积和套分摊的公用建筑面积
74、幢(栋)是指:一座独立的,包括不同结构和不同层次的房屋。
75、架空房屋是指:一般为底层架空,以柱子作为承重支撑物的房屋。
76、夹层是指:位于两自然层之间的楼层,指房屋内部空间的局部层次。
77、技术层的意思是:用作水、电、暖、卫生等设备安装的局部层次。
78、技术层层高在多少以上计算层数:2.20米以上的计算层数。
79、结构转换层是指:建筑物某楼层的上部与下部因平面使用功能不同,该楼层上部与下部采用不同结构类型,并通过该楼层进行结构转换,则该楼层称为结构转换层。
80、跃层式住宅是指:一套住宅占两个楼层,由户内楼梯联系上下层,上下两层完全分隔。
81、阁楼是指:利用房屋内的上部空间加建的楼层。
82、阁楼层高在多高以上计算面积:2.20米以上。
83、地上层数是指:即房屋的自然层数,指室内地坪±0.00以上的按楼板结构分层的层高在2.20米以上的楼层数。
84、地上层数用什么数表示:自然数。
85、地下层数是指:采光窗在室外地坪以下的,其室内层高在2.20米以上的地下室的层数。
86、地下层数用什么数表示:负数。
87、房屋总层数是指:房屋的地上层数与地下层数之和。
88、地下层数算不算在房屋总层数之内:算。
89、例出3个以上不算在房屋总层数内的建筑层:假层、夹层、阁楼、装饰性塔楼、楼梯间、水箱间。
90、柱廊是指:有顶盖和支柱,供人通行的建筑物,称为有柱走廊,简称柱廊。
91、骑楼是指:底层为有柱廊房,廊道上方建为楼房的一部分。
92、挑廊是指:指二层以上挑出房屋墙体外,有围护结构,无支柱有顶盖的外走廊。
93、门廊是指:建筑物门前有顶盖,有支柱或围护结构的进出通道。
94、门斗是指:支撑建筑物门前顶盖的是实体墙称为门斗。
95、檐廊是指:房屋檐下方两端有支撑墙体无柱的通道。
96、天棚是指:即天篷,有透明顶篷履盖的屋面。
97、晒台又称什么:露台。
98、露台是指:供人室外活动的上人屋面或底层地面伸出室外的有维护无顶盖的台面。
99、阳台是指:有永久性上盖、有围护结构、有台面、与房屋相连、可以供人活动或利用的房屋附属设施。
100、阳台的分类有:封闭式阳台和半封闭式阳台。
招商时代潮派|东屿
售楼处电话:400-998-9694
如有问题欢迎来电咨询,来电即可享受买房优惠!
预约来电尊享购房优惠,可预约案场内部销售人员,专业一对一热情服务,让您用专业眼光去买房。
楼盘项目全面介绍,本电话为开发商提供线上售楼处电话,楼盘项目全面介绍(包含楼盘简介,楼盘积分,房价,价格,楼盘地址,户型图,交通规划,备案价,项目配套,楼盘详情,售楼处电话,最新消息,最新详情,周边配套,最新进展等详情咨询)
招商时代潮派|东屿售楼处电话:400-998-9694
楼盘项目全面介绍,本电话为开发商提供线上预约售楼电话,楼盘项目全面介绍(包含楼盘简介,均价,房价,现房,期房,别墅,叠墅,大平层,价格,楼盘地址,户型图,交通规划,备案价,备案名,项目配套,样板间,开盘时间,认筹时间,楼盘详情,售楼处电话,最新消息,最新详情,周边配套,一房一价,最新进展等详情咨询)楼盘详情丨价格丨更多优惠丨机不可失丨欢迎致电丨诚邀品鉴!售楼处位置丨特价房丨工抵房丨剩余房源丨户型图丨最新消息丨免责声明:将文章内容综合来源于网络、只作分享,版权归原作者所有!!如有侵权,请联系我们,我们第一时间处理如有问题欢迎来电咨询,专业一对一热情服务,让您用专业眼光去买房。如果您想了解更多楼盘详情,欢迎提前预约拨打