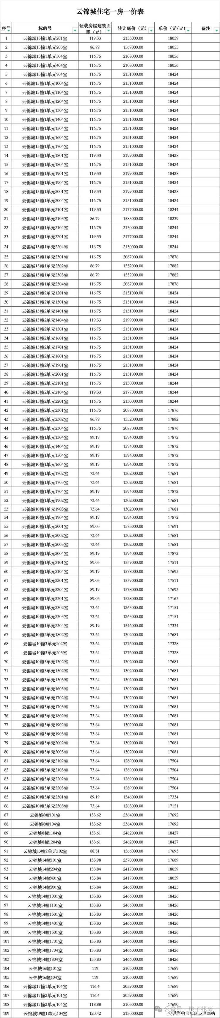
【城发云锦城】
在售:73方两房、89方三房、116、119、133方大三房/四房;
在售楼幢:10#,14#,15#
价格:现房销售,均价1.8万,总价127万起
杭州【建发云启钱湾】售楼处电话:400-8815-114(预约热线)
【建发云启钱湾】营销中心服务热线:400-8815-114(已认证)
预约看房请提前联系驻场销售


云锦城实景图

73㎡户型图

89㎡户型图

116㎡户型图

云锦城实景图

云锦城实景图

丁蕙实验中学实景图
杭州【建发云启钱湾】售楼处电话:400-8815-114(预约热线)
【建发云启钱湾】营销中心服务热线:400-8815-114(已认证)
预约看房请提前联系驻场销售
【城发云锦城】欢迎您
END