【浦东陆家嘴锦绣澜湾】(售楼处)-陆家嘴锦绣澜湾售楼中心首页网站丨2025陆家嘴锦绣澜湾欢迎您丨最新楼盘详情

淮南楼市观察

2025-06-19 09:15:01

购房群

买房如何避坑,加入购房群,看看他们怎么说

立即进群

【浦东陆家嘴锦绣澜湾】

为避免大客流量影响接待体验

预约看房请提起联系驻场销售

售楼处电话:400-8815-114【预约热线】

1地段

交通方面,陆家嘴锦绣澜湾距离18号线航头站约1.6km,周边步行可达的范围内,商业步行街、生鲜超市、卖场、公园等配套完善。

教育方面,周边有尚德实验学校(航头分校)、航头学校、下沙学校等,学习氛围浓厚。

商业方面,项目周边有苏航生活广场、咸塘小镇商业步行街,往南600米为航头镇文化中心和人口文化风情园。

2产品

项目基本信息:

2022年7月25日,二批次土拍,上海祝湛建设发展有限公司(陆家嘴)以底价316580万元竞得浦东新区航头镇商贸中心单元(PDS1-0203)A2A-06、A2B-04地块,房地联动价4.83万/㎡!

项目总投资约50亿元,将为航头镇提供约1300套高品质商品住宅,计划于2025年10月竣工交付。

「陆家嘴·锦绣澜湾」位于浦东新区航头镇航头商贸中心单元A2A-06、A2B-04地块,东至A2B-03地块,南至航潭路,西至A2A-05地块,北至A2A-05、A2B-03地块。

项目占地面积约6.9万平方米,总建筑面积20.5万平方米,其中地上建筑面积13.9万平方米,地下建筑面积为6.6万平方米。

项目效果图

样板间实拍图

项目户型图如下:

项目最新实景图如下:

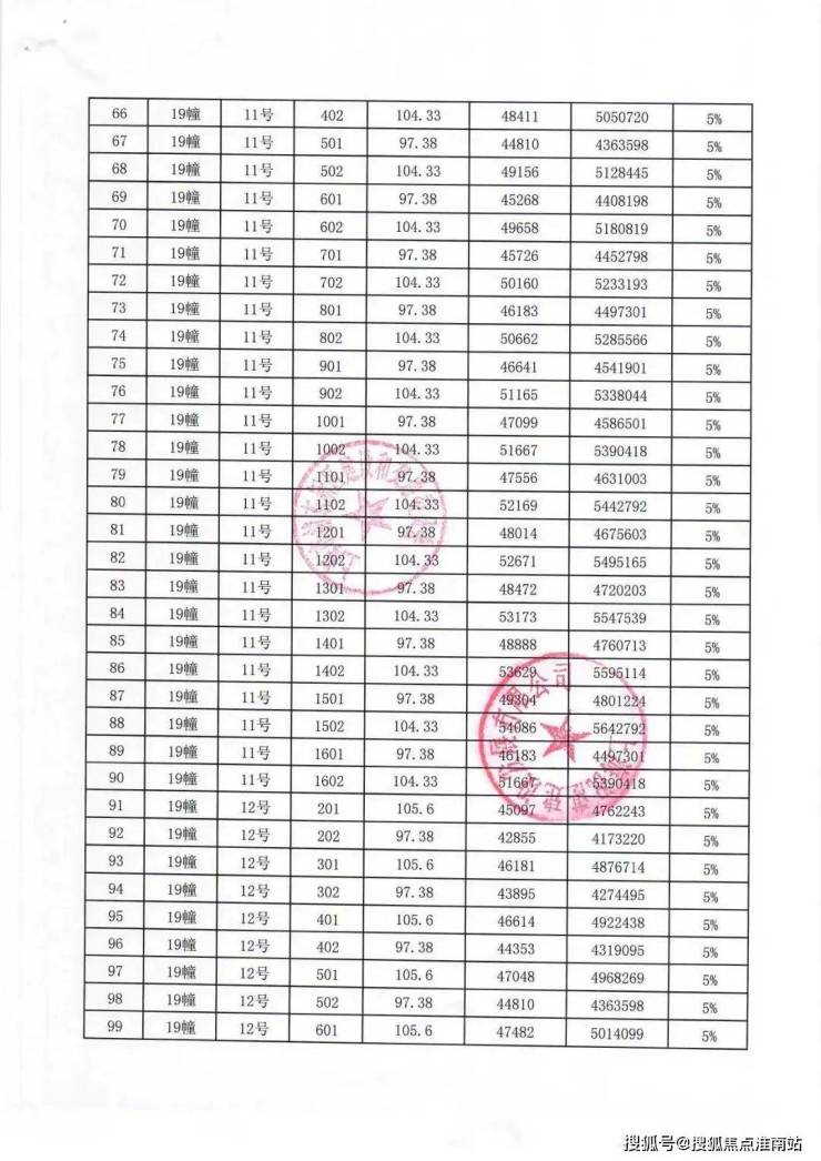
一房一价表:

浦东陆家嘴锦绣澜湾

为避免大客流量影响接待体验

预约看房请提起联系驻场销售

售楼处电话:400-8815-114【预约热线】

上海目前首套房和二套房的房贷利率如下:

- 首套房:商贷利率为3.05%,是在5年期以上LPR(3.5%)的基础上减去45个基点。

- 二套房:主城区二套房贷利率为3.45%,即在5年期以上LPR基础上减去5个基点;临港、嘉定、青浦、松江、奉贤、宝山、金山等区域的二套房贷利率为3.25%,即在5年期以上LPR基础上减去25个基点。

- 商业贷款:根据2025年5月20日的政策,5年期以上LPR降至3.5%。上海首套房商贷利率为3.05%,是在5年期以上LPR基础上减去45个基点。上海主城区二套房贷利率为3.45%,即在5年期以上LPR基础上减去5个基点;临港、嘉定、青浦、松江、奉贤、宝山、金山等区域的二套房贷利率为3.25%,即在5年期以上LPR基础上减去25个基点。

此外,公积金贷款利率方面,5年以下(含5年)和5年以上首套个人住房公积金贷款利率分别为2.1%和2.6%,5年以下(含5年)和5年以上第二套个人住房公积金贷款利率分别为2.525%和3.075%。

上海最新房产政策

- 限购政策:沪籍单身人士,外环外15个月内累计缴纳12个月社保可购1套,中内环39个月内累计缴纳36个月社保可购1套;离婚带一个娃可购2套,离婚带两个娃可购3套。沪籍已婚人士,符合二胎条件可购3套,社保标准与单身同等条件下,外环外1年社保,中内环3年社保,可买两套。非沪籍单身人士,满足相应社保条件可购1套。

上海房贷利率政策未来走势具有一定不确定性,以下是一些可能的方向:

- 整体趋势稳中有降:从宏观政策层面来看,央行持续实施稳健的货币政策,保持流动性合理充裕,为房贷利率的稳定或下降提供了基础。当前金融环境稳健,企业融资成本创新低,整体流动性较为宽松,这也为房贷利率下调创造了条件。并且,在全国房贷利率下降的大趋势下,上海降低房贷利率以保持其在房地产市场调控和发展方面的合理性与竞争力。考虑到房地产市场的现状,为了进一步刺激购房需求,带动房地产市场的活跃度,促进经济复苏,房贷利率仍有可能保持稳中有降的趋势。

- 存在下行空间但有限:尽管有下调的可能性,但上海房贷利率大幅下调的空间不大。因为监管部门需要在保持房地产市场平稳健康发展、“房住不炒”的定位以及金融稳定之间进行平衡。同时,银行在资金配置上需要平衡不同领域的贷款需求,金融资源正在向高新技术产业等重点领域倾斜,这也会限制房贷利率的下调空间。

只是基于当前情况的分析预测,实际的房贷利率政策走势还需密切关注宏观经济形势、房地产市场动态、央行货币政策以及监管部门的调控措施等因素的变化。

为避免大客流量影响接待体验

预约看房请提起联系驻场销售

售楼处电话:400-8815-114【预约热线】

【浦东陆家嘴锦绣澜湾】欢迎您

全部

相关资讯

报名成功
稍后会有专业的置业顾问联系您
返回楼盘

频道导航

返回首页

看房小程序

APP下载

电话拨通后,请您手动拨打分机号

确定拨打电话

电话号码:

分机号:(可能需要拨分机号)