上海松江「中骏璟荟」
售楼处热线:400-9966-224(来电尊享优惠活动)
如有问题欢迎来电咨询,来电即可享受买房优惠!预约来电尊享内部优惠,可预约案场内部销售人员,专业一对一热情服务,让您用专业眼光去买房。
五个新城中,南翔风头盖过嘉定新城,徐泾热度远胜青浦新城,你很难在嘉定、青浦找到真正核心。
松江新城则完全相反, 松江优质的商业、教育、休闲等资源基本都在松江新城,即使是泗泾、九亭的居民,也会开车去松江新城印象城、万达商圈。
毋容置疑,置业五个新城,地位超然、配套完善的松江新城是优选项!

松江新城实景图
松江新城开发较早,核心区的土地已接近消耗殆尽,区域内新盘并不多,可以称得高品质的项目更是寥寥无几。
所以, 接下来松江新城核心区的每一套高品质房源都要珍惜,这可能是仅剩的机会了!
幸而,松江新城核心、印象城旁迎来了中骏集团新作 中骏·璟荟!

近50家世界500强+松江大学城+高精尖人才
上海未来的“硅谷”呼之欲出!
松江新城是上海“十四五”重点打造的五个独立综合性节点城市之一,被誉为 上海的“硅谷”。
这里企业、高校人才和科研院所等形成一个闭环, “产学研”深度融合,势能非常强劲!

松江新城实景图,来源上海松江
在上海科创版图中,松江G60科创云廊占据龙头位置,在G60高速两侧形成“一廊九区”的布局,集聚40多家世界500强,聚集了松江约90%的工业产值,占上海工业产值近10%(来源上海松江)。
吸引了腾讯AI、复宏汉霖生物医药、海尔智谷、上海超硅等项目入驻,提供海量的工作岗位。

G60科创走廊示意图,来源上海松江
松江大学城高校云集,有 上海外国语大学(松江校区)、东华大学(松江校区)、华东政法大学(松江校区)、上海对外经贸大学(松江校区)……
这是其它几个新城难有的优势,随着松江新城落户政策开放,将会有更多大学生、研究生扎根于此。

松江大学城区位示意图
近期,五个新城和自贸区新片区发布落户新政策,在这里就业的 本市应届研究生毕业生,符合基本条件可直接 落户。

来源:上海市学生事务中心
松江新城的规划人口在5大新城遥遥领先。
至2035年规划人口110万人,远超其他新城。(信息来源:上海2035规划)
松江新城本身人口就更多,又有大学城,再叠加上宽松的落户政策, 人口导入如虎添翼。

来源:上海2035总体规划
数量可观的高新人才和高净值人群的导入,将产生大量的居住需求, 中骏璟荟作为区域内品质封面,将是高净值人群优选和必选项!

松江新城繁华配套无需等待,
教育、医疗、购物等资源一应俱全!
松江新城定位“现代化宜居城市”,各项配套能级综合实力稳居前列,城市环境、教育、医疗、购物等配套资源已达到很高的水平,繁华配套无需等待!

中骏·璟荟属于位于松江新城核心,周边是高净值人群聚集的价值高地。
项目 南面紧靠7大学府,西面是广富林遗址,东面有松江印象城,北面是天然河道。

区位示意图,以实际为准
一条广富林路,囊括了松江新城超繁华,烟火气十足的核心地段。
城市资源从东到西一字排开,有万达广场、印象城、东华大学(松江校区)、华东政法大学(松江校区)、广富林文化遗址、广富林郊野公园等。
中骏·璟荟就位于这条繁荣的广富林路上。

区位示意图,仅供参考以实际为准
项目东侧直线距离约600米处就是 松江印象城,是集生活、购物、娱乐等业态为一体的商业综合体。
印象城总建面约15.5万方,引进了涵盖零售、餐饮、娱乐、亲子及生活配套等220多家品牌。

印象城实景图,来源上海松江
商业上, 松江新城核心地带拥有约60万方集中商业配套。
项目约1.5公里范围内还有 三湘财富、约19万方松江万达、麦德龙、五龙商业广场等商业体,看电影、喝咖啡、买衣服包包……食购游娱均能得到满足。

松江新城万达商圈实景图
医疗资源上,项目不远处就是 上海市第一人民医院医院(南院),是三甲医院。
生态上,松江新城的绿化、环境堪称区域名片,项目周边 广富林郊野公园,辰山植物园,松江中央公园等众多公园环绕。
“十四五”期间,松江新城预计将建设绿道88公里,其中滨水绿道约为58.8公里。(以上信息来源上海松江)

松江新城实景图,来源上海松江
中骏璟荟拥有“出则繁华尽揽,入则静谧独享”的居住体验,这在五个新城中首屈一指。

9号线+有轨电车+松江南站
快速接驳漕河泾、徐家汇等市区商圈!
中骏璟荟不仅有繁华的配套,未来交通更是全面接轨市区。

区位示意图,以实际为准
项目东侧直线距离约500米设有 松江有轨电车2号线广富林路站,可直达地中海广场、万达广场、泰晤士小镇、等商圈或网红打卡点。
仅需2站既可到达 9号线松江大学城站,通过9号线,可快速到达七宝商圈、漕河泾开发区、徐家汇商圈、浦东世纪大道等商圈。

区位示意图,以实际为准
自驾上, 沪松快速路新建工程专项规划于5月完成公示,未来松江新城将可以快速接驳上海中央活动区。

沪松快速路示意图,来源上海松江
松江新城南侧是松江南站枢纽,集交通功能、商务、地区商业中心和配套居住为一体。
松江南站枢纽预计2024年建成启用,9台23线,年客流量预计将达2100万人次,这里将成为继上海虹桥枢纽后的又一综合枢纽客站,是上海面对长三角乃至全球资源再配置的一个重要渠道。(信息来源:上海发布)
松江枢纽效果图,来源上海松江

中骏:“高品质住宅缔造者”,
全新产品已过会,即将入市!
中骏璟荟是中骏集团“景”字系高品质作品。
中骏集团成立于1987年,总部位于上海虹桥商务区,代表作天字系住宅-中骏天璟、中骏天珑等,作为为数不多的“三道绿线”的房企,买中骏的产品非常有保障!

中骏璟荟规划打造成为松江首个复合活力社区,占地约4.7万方,容积率约2.2,其中可售户数517户。
小区主大门设置在东面广康路上,东西两排住宅各17层小高层,中间是2幢8层精致洋房,社区内楼宇间隔非常大,低区的采光和景观视野也有保障。
南北地块中间将打造成一条精致复合活力内街。这条内街未来将与印象城商业一起打造成shopping mall+open block的大型商业综合模式,实现从印象城一路购物到家的新生活体验。

中骏璟荟效果图
项目将推出洋房和高层产品,建面约88-125㎡3-4房,主力户型有建面约88㎡3房2厅1卫、98㎡3房2厅2卫、125㎡4房2厅2卫。



项目装修交付,包括新风、多联机式中央空调、地暖、厨房四件套等,层高3米,拥有更宽敞的居住空间,给予业主更舒适的居住体验。

中骏璟荟效果图
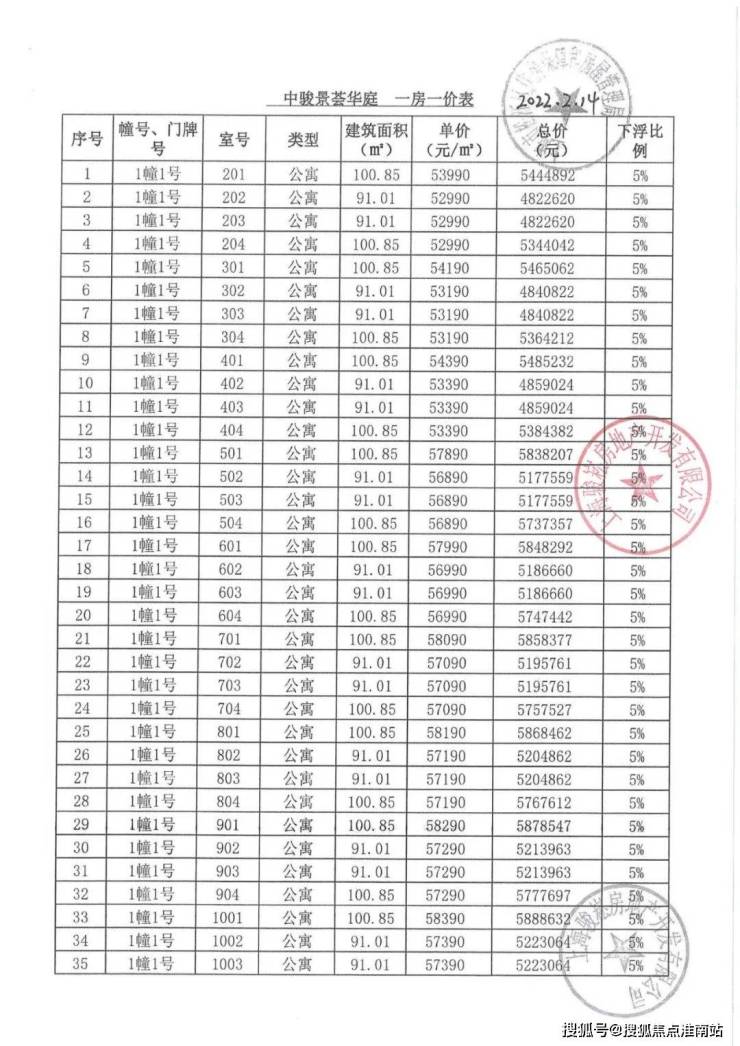
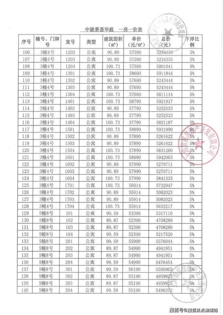
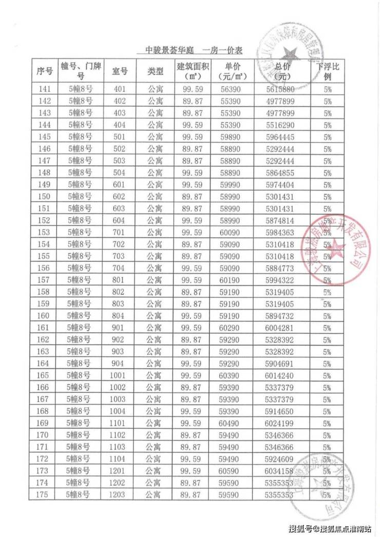
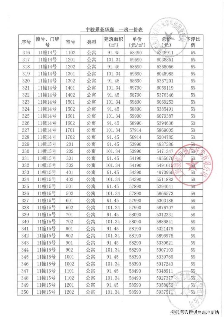
完整一房一价表如下:











上海松江中骏璟荟售楼处热线:400-9966-224(来电尊享优惠活动)
如有问题欢迎来电咨询,来电即可享受买房优惠!预约来电尊享内部优惠,可预约案场内部销售人员,专业一对一热情服务,让您用专业眼光去买房。