招商臻境售楼处热线400-8567-004
招商臻境售楼处电话400-8567-004
招商臻境售楼处热线☎:400-8567-004
招商臻境【开发商售楼处预约看房热线】
(一对一热情服务)
前滩南黄金中环3公里,招商蛇口上海首座臻系作品,三林全新盘【招商臻境丨源上】已经过会
招商臻境
开发商最新一手房源动态
温馨提示
:开发商指定合作平台,全网预约通道!
预约看房,置业顾问一对一对专属服务,享受额外团购优惠!
对项目感兴趣的朋友
欢迎扫描二维码进入全网官方预约报名通道
提前预约咨询、参观!
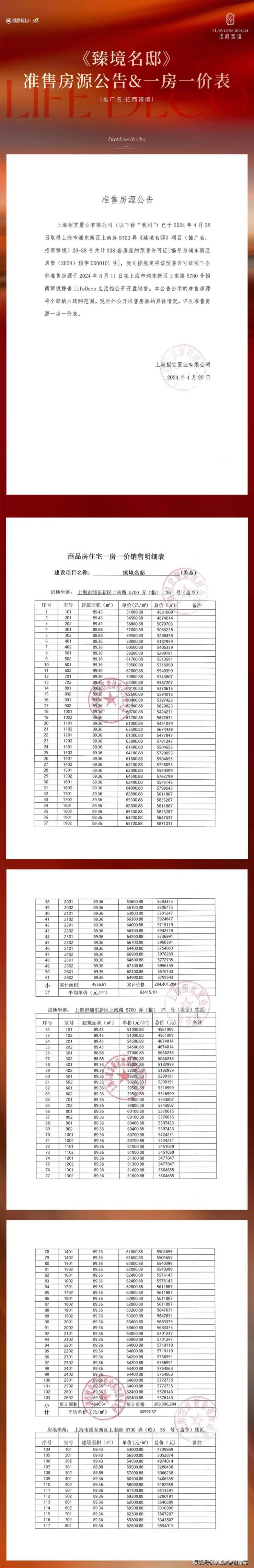
将推出124套建面约95-150㎡高层及叠加产品,均价约6.97万/㎡。其中,全新的建面约95㎡3房产品,不仅室内收纳空间提升,更是打造了浦东第一个“双阳台”3房户型。
深嘉上府售楼处热线400-8567-004
除此之外,还有建面约146-150㎡低密滨水叠墅,西侧正对百万方绿地公园。


深嘉上府售楼处热线400-8567-004
招商臻境丨源上户型图:





深嘉上府售楼处热线400-8567-004

深嘉上府售楼处热线400-8567-004
01.
前滩直线距离5公里
金色中环带重磅规划加持
众所周知,浦东买房看产业。
据统计上海排名前五的产业集中地,浦东占据4席!包括陆家嘴、张江、金桥以及外高桥,而我们熟悉的徐家汇以及人民广场,仅仅只排到了第七和第八。
深嘉上府售楼处热线400-8567-004

示意图,仅供参考
深嘉上府售楼处热线400-8567-004
而招商臻境直线距离陆家嘴、徐汇滨江等产业高地直线距离均在12公里以内,直线距离张江城市副中心仅约10公里,直线距离浦东新贵前滩中央活动区仅约5公里!
这样的综合区位优势,是其他项目完全无法比拟的!
深嘉上府售楼处热线400-8567-004

示意图,仅供参考
深嘉上府售楼处热线400-8567-004
除了绝对硬核的区位优势之外,招商臻境的规划能级也非常突出!
深嘉上府售楼处热线400-8567-004
招商臻境地处浦东金色中环带,自2020年“金色中环带”提出,预示着各个节点已具备交汇融合、连接成带的可能。从“点”的各司其职到“带”的同心合力,金色中环的真正意义在于形成更坚不可摧、护城河式的发展带。
深嘉上府售楼处热线400-8567-004

示意图,仅供参考
从《上海2035主城区绿地网络规划图》来看,项目所在的三林段外环绿带是最生态的一段,也是最宽的一段 ,最大进深超过2公里,规划总绿地面积达到约456公顷!
深嘉上府售楼处热线400-8567-004

图源上海2035规划,仅供参考
深嘉上府售楼处热线400-8567-004
总的来说,招商臻境不仅拥有得天独厚的区位优势和交通优势,还是浦东滨江在外环的一颗“绿宝石”,为浦东“金色中环”提供了十分优越、宜居的居住环境。
02.
ㅤ中环直线距离3公里ㅤ
快速通勤各大产业高地
招商臻境周边城市资源也非常丰富,可以用一句话来形容“一步入前滩,转身即三林”。
深嘉上府售楼处热线400-8567-004

区位示意图,仅供参考
项目周边高架及快速路网成熟,坐拥“二横两纵”四大城市动脉,可谓四通八达。
深嘉上府售楼处热线400-8567-004
两横:
从地图来看,「招商臻境」直线距离外环仅约1.5公里,直线距离中环不到约3公里,可以便捷来往前滩徐汇滨江等中央活动区,张江、金桥等城市副中心,无论是上下班、聚会等出行场景,处处都可以快人一步。
深嘉上府售楼处热线400-8567-004
两纵:
从地图来看,「招商臻境」东侧直线约1公里就是林海公路,一路向北可以直达花木、陆家嘴等核心区;西侧直线约3公里就是南北高架闸道口,驶入后可由南向北横跨卢浦大桥,直达黄浦、静安核心商圈及办公区域。

示意图,仅供参考
深嘉上府售楼处热线400-8567-004
除了便捷的通勤之外,招商臻境周边半径1公里以内的生活圈,学校、公园绿地、社区配套等各类生活配套也是十分齐全。
深嘉上府售楼处热线400-8567-004
教育资源:
从规划来看,项目周边一公里范围内有9所学校,项目南侧规划有一所小学和一所幼儿园,项目北侧规划有一所初中和一所高中,从幼儿园到中学规划都配齐了。
(新房不承诺学区,具体以交付后教育部门公示为准)
深嘉上府售楼处热线400-8567-004
生态环境方面:
招商臻境西侧毗邻一条长约2千米、宽500米的G11生态公园绿带,为项目提供了丰富的自然景观和休闲空间。此外,板块北侧还接壤一条宽500米、延伸数十公里的外环林带,再次增强了区域的生态屏障功能。

示意图,仅供参考
深嘉上府售楼处热线400-8567-004
产业布局方面:
项目东侧紧邻中国电信信息园,拥有大量的研发产业用地,为科技创新提供了坚实的载体;项目西侧通过G11生态绿地与三林经济园区相望,该园区内规划了大量的商办用地和研发用地,将进一步促进区域产业升级和经济发展。
深嘉上府售楼处热线400-8567-004
商业资源方面:
招商臻境西北角紧邻两幅规划中的商业商办地块,将为区域带来多元化的商业服务和办公空间。
同时,项目直线3公里以内包含三林新达汇、中房金谊广场、新田 360 广场、东方懿德城、万达广场等商业综合体,直线6公里可至前滩商圈,近享前滩太古里、晶耀前滩等高能级商业配套。
深嘉上府售楼处热线400-8567-004

前滩太古里实景图
深嘉上府售楼处热线400-8567-004
综上所述,招商臻境周边交通网络四通八达,极为便捷。同时,项目所在地拥有丰富的教育资源、公园绿地以及完善的社区配套设施等多元化的生活资源,确保了居民生活品质的优越性。
深嘉上府售楼处热线400-8567-004
03.
ㅤ招商上海首座臻系作品ㅤ
泳池会所双大堂四大架空层
经过20多年的深耕,央企招商蛇口首次在上海推出“臻”系作品—招商臻境,项目以定制海派的藏品级产品致敬上海百年历史,打造了从内到外近乎无可挑剔的高低配社区。
深嘉上府售楼处热线400-8567-004
招商臻境为业主精心打造了一所规模约1500㎡的高端会所,会所配备约500㎡的室内泳池,让业主在繁忙的工作之余,能够在家中尽情享受自由泳的乐趣,无需远行即可随时体验休闲度假模式。

效果图,仅供参考
会所内还配备了搭载大面积落地窗环模设计的健身房,高端的健身器材和丰富的健身配套将满足业主日常的健康需求。
深嘉上府售楼处热线400-8567-004

效果图,仅供参考
项目还设有下沉式庭院,通过乌桕树、溪流等元素构建一处宁静的休憩场所,为业主提供一个放空心灵的空间。
深嘉上府售楼处热线400-8567-004

效果图,仅供参考
建筑方面,招商臻境采用成本高昂的大面积圆弧形态及转角弧面玻璃,结合简洁利落的线条,营造出沉稳而不失灵动、内敛中流露优雅的视觉感受。
同时,配以大面积透明LOW-E玻璃与精致的金属线条装饰,巧妙地将经典建筑美学与现代设计理念相融合,不仅展现了对经典建筑风格的尊重与传承,又彰显了现代居住空间的创新与追求。
深嘉上府售楼处热线400-8567-004

效果图,仅供参考
在社区内,首开地块住宅楼宇下还设置了四大泛会所,涵盖品茗阅读、运动健身、亲子托育、洽谈社交等多元业态,为业主提供全方位的生活体验,满足不同年龄层次的需求。
深嘉上府售楼处热线400-8567-004

效果图,仅供参考
地上、地下双层入户精装大堂,每一处细节都彰显着尊贵与品味。
地下精装大堂,开阔的挑高空间,配置自然采光井以及专属的等候区,让业主感受到如同酒店式首层大堂般的尊贵礼遇。

效果图,仅供参考
深嘉上府售楼处热线400-8567-004
地上精装大堂的设计同样出彩,地面的石材拼花造型与墙面的石材背景相得益彰,将静奢海派的艺术风格展现得淋漓尽致,为业主带来无与伦比的视觉盛宴。

效果图,仅供参考
为进一步提升业主的日常生活品质,招商臻境精心规划了七维生活剧场,包括:街角花园、摩登水院、下沉花园、芳草花厅、棋牌休闲花园、唱片花园、行星花园等七重生活场景,营造四季分明、美景如画的精致水岸归家之路。
在整体设计中巧妙汲取了海派建筑的精华元素,通过层层递进的游览线路和景观艺术的巧妙穿插,让整个空间充满活力和生活气息。
深嘉上府售楼处热线400-8567-004

效果图,仅供参考

效果图,仅供参考
04.
ㅤ全纬度多元化王炸户型ㅤ
建面约89-148㎡高层&叠加
深嘉上府售楼处热线400-8567-004
招商臻境此次推出的住宅产品,涵盖了建筑面积约89-135㎡的高层住宅和约145-148㎡的稀缺叠拼,户型可选性非常多,完全可以满足刚需及改善等各类购房者的置业需求。
而且这些户型的设计充分考虑了居住功能和生活空间的平衡,展现了卓越的品质和实用性。

效果图,仅供参考
高层户型建面约89-135㎡,设计方正且全明,为业主提供更加舒适的居住环境。
采用多飘窗设计,有效增加采光和通风效果;边套主卧转角飘窗设计,拥有更开阔的视野,能够欣赏到更多庭院美景。
此外,S型墙冰箱内嵌与玄关柜的一体化设计,不仅提升了空间的利用率,也增强了整体的美观性……
深嘉上府售楼处热线400-8567-004


下叠采用270度落地窗设计,地下室拥有约5.5米高的层高,增加了空间的立体感和舒适度。
平层四开间朝南的布局,打造出通透明亮的大尺度居住空间。
上叠设有屋顶花园,为业主提供了一片宁静的自然天地,可尽情欣赏滨河风光。



←左右滑动查看更多→
综上所述,招商臻境此次推出的高层和叠拼住宅产品,不仅满足了不同购房者的需求,更在户型设计、采光通风、空间利用等方面展现出卓越的品质和创新思维。
如此凸显的区位优势和交通优势,又叠加招商臻系高端产品线的加持,联动价仅约7万/㎡,按照项目高层和叠拼的产品配置,高层产品的总价预计不足600万级就可购买,可谓是浦东该总价最具性价比的新楼盘项目。
深嘉上府售楼处热线400-8567-004



售楼处热线400-8567-004✔✔✔
【预约电话】售楼处电话400-8567-004✔✔✔
【预约电话】如有问题欢迎来电咨询,专业一对一热情服务,GOGOGO
看房前请提前拨打售楼处热线进行电话预约,进行预约的客户可享受开放商提供的内部优惠,一对一的vip服务让您更舒心更方便。
买房须知的18个常识是什么?
1、查看五证,所谓五证就是指《国有土地使用证》、《建筑用地规划许可证》、《建筑工程规划许可证》、《建筑工程施工许可证》和《商品房预售许可证》。
2、买房其实选择口碑好的开发商很有必要。一般好的开发商资质高、资金充足。
3、选户型,挑选户型时,首先要看户型的朝向。朝向优劣的顺序依次为:正南、东南、东、西南、北、西。
4、选楼层,中间层房屋的空气质量相较于低层更好,出行较高层更方便,可以说是折中。
5、很多购房者认为,当下房价过高,所以买房时,一般会在同等区域、同等地段选择价位便宜的楼盘。正确的做法是多学习选房知识,关注户型好坏,房屋质量等干货。
6、评估购房能力,对于刚需族来说,由于他们的经济能力有限,所以都会采取贷款的方式买房。而贷款每个月需要交一定数额的月供,为了保证生活质量不受影响,避免断供的风险,小编建议月供的数额最好控制在总收入的50%以内。
7、看优惠,对于开发商给出的优惠,要多打听,多分析,多判断,不要盲目追风。
8、莫心急,年轻人置业时,不宜好大喜贵,应抛弃置业必须一步到位的思想,根据自身所能承受的范围,作出合理的决策。
9、看规划,买房当然要挑楼盘,挑小区,挑户型,但是也不能只看房子,还要看房子的位置。毕竟,决定房子价值最大的因素便是地段,建议在购置房产时,要切记紧跟城市发展的方向。
10、看价格,价格挑选比较个人承受范围、交通状况、社区环境、户型结构等条件衡量楼盘价格。
11、小区环境,小区景观、绿化、配套等与生活密切相关,更是楼盘质量的体现。
12、避免极端层,顶层和底层不建议买,底层不仅容易潮湿,发霉,滋生蚊子,光线也不好,顶层一到大夏天,不仅闷热,不透气,还容易漏水。
13、远离设备层,设备层是专门供水,供电的中间楼层,要是常年居住在设备层的附近的话,不仅机器设备的噪音把人折磨得无法休息,连机器的辐射也会影响人的身体健康。
14、不可一味买大,看房一定要综合考虑,不可片面。首先是面积,面积以适用为原则,不可为大而大。
15、考虑孩子问题,买地产要考虑孩子路上的安全问题,尽量选择距离近的房子。这样可以给孩子节约大量的时间,让孩子有充裕的时间学习和休息。
16、购房定金,定金对买受人是极为不利的,使买受人在签约的时候处于不利的境地,买受人往往在定金不退的压力下,违心地接受开发商的不平等条款。
17、物业,不同的物业公司所做的服务千差万别,物业公司能否尽善尽美地完成自己的任务牵扯到小区的整体质量。
18、签认购书,认购书基本条款要约定详细,对所要购买的房屋的主要情况在认购书中予以约定。条款内容约定要合法有效,要求开发商提供作为正式签约的商品房买卖合同文本
目前北京、上海、深圳的首套房贷款利率均为LPR - 45BP,本次 LPR 下降后,这些地区首套房贷款利率或降至 3.05%。全国 45 个重点城市 4 月首套房贷款平均利率为 3.10%,二套房贷款平均利率为 3.21%。
此外,自2025 年 5 月 8 日起,个人住房公积金贷款利率下调 0.25 个百分点,5 年以下(含 5 年)和 5 年以上首套个人住房公积金贷款利率分别调整为 2.1%和 2.6%,5 年以下(含 5 年)和 5 年以上第二套个人住房公积金贷款利率分别调整为不低于 2.525%和 3.075%。
招商臻境售楼处热线400-8567-004
招商臻境售楼处电话400-8567-004
招商臻境售楼处热线☎:400-8567-004
招商臻境【开发商售楼处预约看房热线】
(一对一热情服务)