上海闵行保利锦上售楼热线:400-8815-114(来电尊享内部优惠活动)如有问题欢迎来电咨询,来电即可享受买房优惠!预约来电尊享内部优惠,可预约案场内部销售人员,专业一对一热情服务,让您用专业眼光去买房。
最新消息,
4站前滩,闵行浦江镇保利锦上
二期新品今日(10月21日)开始认筹!
认筹金50万,
将推建面约127-145㎡叠墅,
约90-102㎡精装洋房/小高层!
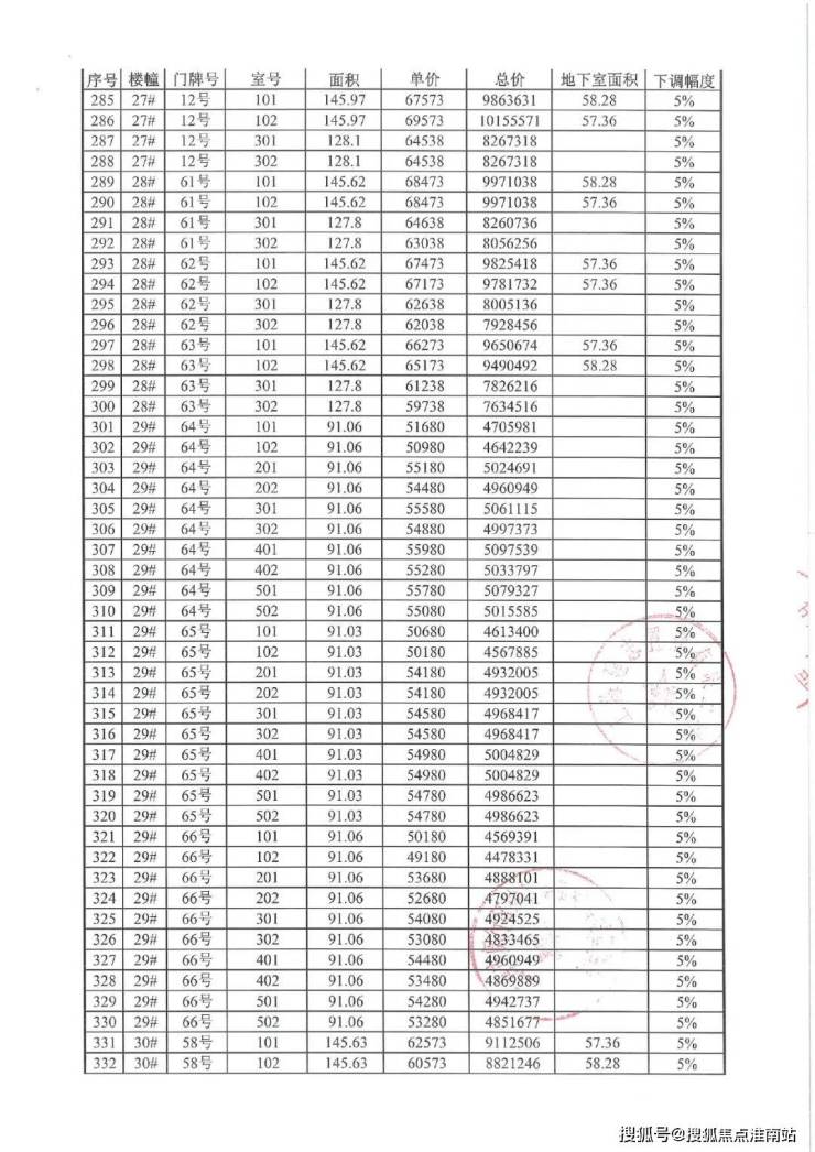
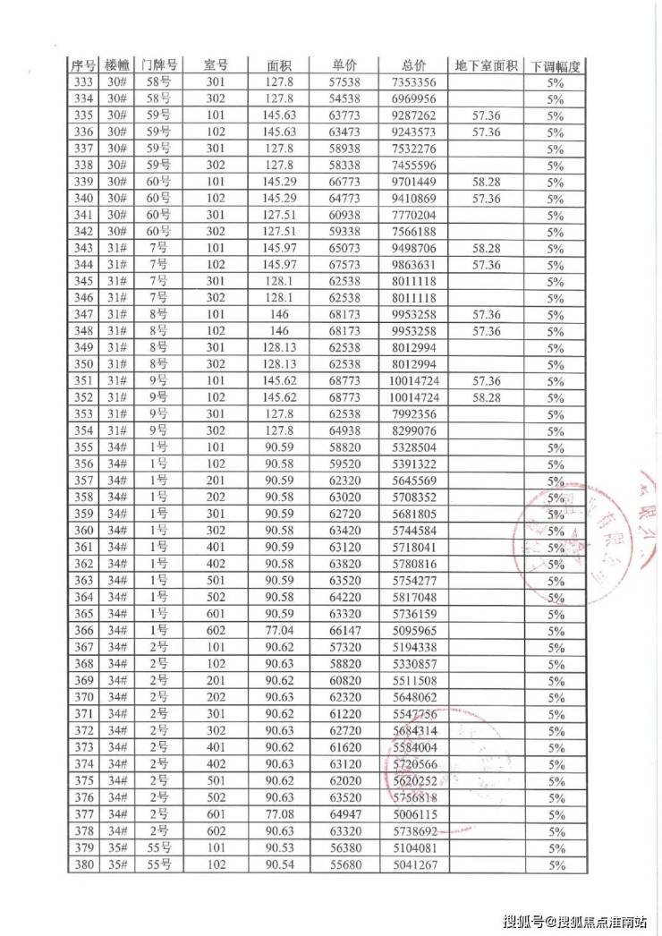
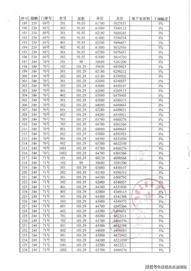
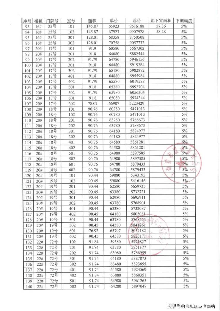
附完整一房一价表
二期新品10月21日启筹
约127-145㎡叠墅&90-102㎡精装洋房/小高层
认筹信息:认筹时间:10月21日9点-10月25日17点。认筹金:50万。认筹地点:上海市闵行区浦江镇北江洲路(近浦申路)保利锦上营销中心。
开盘信息:「保利锦上」售楼热线:400-8815-114本次取证房源,为该项目最后402套,10月30日开盘,将推出144套建面约127-145㎡精装四叠,均价68800元/㎡,258套建面约90-102㎡精装洋房/小高层,均价61386元/㎡。
一期洋房&小高层均价仅为61386元/平,认筹数691组,认筹率193%,以开盘售罄的成绩创造了“现象级热销”!
填补浦江7年宅地空白:保利锦上可谓赚足了上海楼市的眼球。从土拍,一期开盘日光,到如今二期将入市,每一个节点总能成为热议的话题。
从浦江镇过去十余年宅地出让情况看,只有保利锦上这一幅地块是以“闵行区浦江中心区6.5平方公里”开头命名,填补了这个核心区域自2013年以来的宅地供应空白。
品牌开发商保利:央企背景,品质保证。在上海,保利已深耕17年,累计开发了50个项目,拥有12万业主,沿黄浦江两岸核心地段打造过保利ONE56、保利西岸、保利香槟花园等高端楼盘。
保利对产品的用心,体现在方方面面与细节之中。项目为保利物业,为业主保驾护航。

项目规划:保利锦上占地面积6.5万方,建筑面积10.68万方,可售面积7.2万方,容积率1.6,绿化率30%。如果算上社区中央十字景观公园,整体绿化率将超过60%,这也符合浦江以生态环境为主体的居住氛围。
全新叠墅产品户型图曝光
(C1)户型:约145㎡4房2厅3卫
奢阔花园下叠,回归院落生活。一层提供了一间老人房,二层双卧套房的设计,营造出祖孙三代互不打扰的套内私密性。 额外附赠的负一层地下多功能厅,是全家人的理想生活场,不论是做成会客厅、家庭影院或是酒窖,甚至是孩子的儿童乐园,都足以安放你对美好、自由、艺术的所有志趣想象。

(C2)户型:约127㎡3房2厅3卫
宽境星空上叠,蕴含无数想象空间。独立梯厅入户,上下两层卧室全朝南。主卧采用套房设计,通透的格局,阔达的私人空间,超大的南向阳台,宽敞的步入式衣帽间,以及空间不错的独立卫浴,打造恰到好处的人居体验。露台设计,真正将“空间大有可为”照映现实,在露天花园内,可根据个人需求划分功能区域。与超实用的阁楼结合,是美好与星空的相伴,是家人与爱的美好相守。

洋房和小高层户型图如下
(A1)户型:约91㎡3房2厅2卫
(A2)户型:约91㎡3房2厅2卫
样板间实景图如下
本期小高层产品位于楼王位置
(B1)户型:约101㎡3房2厅2卫
(B2)户型:约90㎡2房2厅2卫
样板间实景图如下
加小编尊享:一对一全程免费专车带看
四站前滩,低密生态宜居大区
8号线600米,全龄段教育密集分布!
区位优势——离市区最近的滨江宜居板块:保利锦上距离人民广场直线距离约16公里,距前滩商业总部基地直线距离约8公里左右。凭借轨交4站可达前滩,半小时直达人广。
浦江镇不仅将是享受前滩效应利好的首站,其自身的低密生态住宅规划,和国家级产业园区分布,更是让浦江镇有着【前滩后花园】之称。
滨江沿线稀缺的成熟生态居住区:浦江镇浦锦街道在规划人口密度、道路体系、人口与商业的比例、园林配置等各方面来看,都更加优化。浦锦街道是实至名归的高端居住区。
作为国家“十三五规划”重点区域,浦江镇以生态居住为定位,主动承接和融合国际商务区前滩的价值外溢。在新十年关口上,迈向2035的上海滨江带,入住门票必定越来越昂贵。
(滨江各版块定位)
交通配套:保利锦上距离地铁8号线江月路站仅约600m,4站直达前滩,7站直达世博、13站直达人民广场。正在建设中的机场联络线,途经外环高速近浦星公路,设三林南站,未来往返虹桥+浦东两大机场时间将大大缩短。

此外,浦星公路快速路正在进一步改造,未来在外环和申嘉湖高速之间将架设高速路,再度提升南北路线的通畅度。据了解,浦锦路、芦恒路等主要道路将来也都还有进一步提升的计划。
商业配套:浦江镇本身经过10多年的发展,生活氛围已经足够浓厚,生活配套也足够全面。
保利锦上附近商业广场众多,浦江城市生活广场(约150米),卜蜂莲花超市(约500米)、浦江绿地乐和城(约1000米)、世博家园商业广场(约1000米),OMALL华侨城商业中心、家乐福旗舰店(约1300米)、红星美凯龙(约1800米)等。
教育配套:项目周边全龄段教育密集分布。优质的教育氛围均在项目周边3公里范围内。
幼儿园:中福会幼儿园、尚德幼儿园、浦江镇第一幼儿园
小学:上师大三小(公立)、浦江第二小学
中学:上师大三中(公立)、上师大附中闵行分校(重点高中)
医院配套:三甲医院就在附近。项目对面就是仁济医院南院(三甲),西边就是复旦五官科医院(三甲),中南路与外环处的东方医院南院(三甲)以及前滩的新加坡莱佛士国际医院,有近4万方的综合医疗体。
约一公里范围内有多个绿地公园:步行即可到达浦锦绿地、陈行公园等。
小编点评:项目所在浦江镇是一个各维度都十分“能打”的区域,本身经过10多年的发展,生活氛围已经足够浓厚,生活配套也足够全面。项目为“保利打造”,品质值得信赖。环市中心价格洼地,上升空间更大。“神仙”户型设计 ,从尺度感到功能性再到舒适度都安排得明明白白。
上海闵行保利锦上售楼热线:400-8815-114(来电尊享内部优惠活动)如有问题欢迎来电咨询,来电即可享受买房优惠!预约来电尊享内部优惠,可预约案场内部销售人员,专业一对一热情服务,让您用专业眼光去买房。
(免责声明:本篇分享文案非广告,所涉及的图文资料仅供参考,开发商可能对项目细节等做进一步优化调整,具体以最终签订的买卖合同为准,开发商在法律规定的范围内保有最终解释权。部分图片素材来自网络,如有侵权请联系小编删除,感谢支持。)