金桥碧云澧悦售楼处电话:400-9659-259
金桥碧云澧悦售楼处电话:400-9659-259
金桥碧云澧悦官方电话:400-9659-259金桥碧云澧悦官方电话:400-9659-259...(预约热线)➨金桥碧云澧悦官方售楼处电话地址☎:400_9659-259√√⭐来电可了解楼盘最新动态、在售房价优惠、户型面积房源、交房时间、地铁商业、学区配套等信息!专业销售顾问将为您提供一对一贴心服务,全程陪伴您的购房之路!
编辑

金桥碧云澧悦售楼处电话:400-9659-259
非周浦板块 碧云澧悦莫属, 项目在售建面约93-165㎡3-4房,均价5.6万/㎡,最低459万起入住周浦装修“3房2卫”
从板块角度看,浦东已几乎没有“5”字头板块,唯独碧云澧悦所在的周浦。
周边的唐镇已破7万,川沙约6.4万/㎡,康桥也已来到约6.6万/㎡。
整个大张江只有周浦还有“5”字头价格。
编辑

金桥碧云澧悦售楼处电话:400-9659-259
其次,从大张江项目看,唐镇浦发唐城三期过会价已达 7.16万/㎡,川沙两盘约 6.4万/㎡,横沔张江金茂府约 6.6万/㎡。
而周浦已售罄的招商南昌市政公园1872售价早就到 6万/㎡,华发观澜半岛也是 6万/㎡。
均价5.6万/㎡,最低总价459万起的碧云澧悦,不仅是周浦更具性价比的楼盘,还妥妥是整个大张江的门槛价。
错过碧云澧悦,你再买大张江百平米三房,至少要600万甚至700万级。
编辑

金桥碧云澧悦售楼处电话:400-9659-259
第三,放眼全市看,碧云澧悦性价比也十分突出。
南翔已经约6.2万/㎡,徐泾约6.5万/㎡,南大约6.3-6.9万/㎡,皆远高于约5.6万/㎡的碧云澧悦。
不仅于价格性价比高,碧云澧悦还拥有:
✔张江南扩的第一顺位,产业势能澎湃;
✔配套成熟,所见即所得;
✔同级难寻敌手的产品力,“碧云”系约1.8容积率+无连廊+人车分流+全系神户型+高端精装
浦东周浦,张江科学城产业高地
碧云澧悦
在售建面约93-165㎡3-4房,均价5.6万/㎡
最低总价459万起入住周浦装修“3房2卫”
浦东难寻敌手的性价比+成熟配套+“碧云”系品质
编辑

科创周浦,张江南扩第一站
众所周知,产业才是浦东发展的源动力,而张江是全上海的产业真核。
对于碧云澧悦来说,这里拥有的产业外溢力度,以及与张江的连接度,或将比肩唐镇, 事实上它就是张江南扩第一站,非常值得期待。
首先,根据《上海市张江科学城发展“十四五”规划》,张江科学城整体规划面积扩容至220平方公里,重点打造一“心”两“核”,优化产业和居住布局。
其中,“一心”即张江城市副中心。
“两核”即张江科学城北部科技创新核、南部科技创新核。
这是整个张江定位更高的三个区域,相比唐镇、川沙等区域,承接了南部科技创新核的 周浦,才代表着张江的未来。
示意图
编辑

金桥碧云澧悦售楼处电话:400-9659-259
其中,北部科技创新核的发展早已饱和, 未来南部科技创新核将是张江发展重中之重!
而在南部科技创新核中,如今有两大产业聚集地,会为周浦、为碧云澧悦带来更加磅礴的未来。
上海国际医学园区:
这是一座以现代医疗服务业和医疗器械及生物医药产业为核心建成的现代化医学科学城。
要知道,现代生物与医药产业一直都是张江的主导产业之一,“张江创新药”更是一直被称为是中国创新药的源头。
而碧云澧悦直线距离国际医学园区仅约1公里,未来园区人员庞大的置业、租赁需求势必就近释放。
那碧云澧悦近水楼台,不管二手房出手or出租,前景值得期待。
编辑

金桥碧云澧悦售楼处电话:400-9659-259
科南地区中心:
它是上海商业空间规划的45个地区级商业中心之一。
未来拟建约250米高双子塔与张江北部约320米高的科学之门形成南北呼应格局。
示意图
编辑

金桥碧云澧悦售楼处电话:400-9659-259
而碧云澧悦正位于周浦板块南部科技创新核,承接着来自张江,来自这两大增长点磅礴的未来,未来可期。
除了周浦本身产业规划,周浦四周还被 陆家嘴、张江、前滩、迪士尼包围,这些产业中心能级高但居住属性薄弱,人口势必外溢。
那凭借16号线周浦东站以及18号线繁荣路站,可便捷到达上述板块的碧云澧悦就是这些产业区再好不过的居住承载。
通过16号线:1站罗山路,可换乘11号线,直达徐汇、迪士尼乐园;
2站华夏中路,可换乘13号线,直达北蔡、接驳前滩和三林滨江;
3站龙阳路,可换乘2号线、7号线、18号线以及磁浮线,直通张江、人民广场、上海外滩等知名上海地标区域。
编辑

金桥碧云澧悦售楼处电话:400-9659-259
在便捷交通加持下,未来会有更多购房者通过轨交聚集于周浦,而这些人口的需求,会加速区域楼市的发展。
周浦未来可期,而作为目前周浦乃至大张江的门槛价,碧云澧悦更是不容错过!
编辑

“碧云”系约1.8容积率+无连廊+高端精装+神户型
该项目为大型商品房居住社区,拟建15栋11-14F高层住宅、1栋17F保障房及其配套用房、一层地下车库,将提供约843套高品质商品住宅、119套保障型住房。
编辑

金桥碧云澧悦售楼处电话:400-9659-259
编辑

金桥碧云澧悦售楼处电话:400-9659-259
项目地块东至周园路,西至16-01地块,南至16-03地块,北至韵涛路。根据公示,项目将拟建11F-14F住宅商品房,以及17F保障住宅,1-2F配套。
编辑

金桥碧云澧悦售楼处电话:400-9659-259
总占地面积约5.6万平方米,容积率1.8,总建筑面积15.5万平方米,其中地上建筑面积10.6万平方米,地下建筑面积为4.9万平方米。
编辑

金桥碧云澧悦售楼处电话:400-9659-259
编辑

金桥碧云澧悦售楼处电话:400-9659-259
编辑

金桥碧云澧悦售楼处电话:400-9659-259
编辑

金桥碧云澧悦售楼处电话:400-9659-259
项目精心规划“一环一轴三园”,于建筑中另辟一方天地,以绿意包裹整个小区,打造绿氧环绕的公园住区。漫步在花园小径,呼吸新鲜氧负离子,在自然中享受阳光微醺和清新绿意,在生机盎然中安享静谧。
编辑

金桥碧云澧悦售楼处电话:400-9659-259
编辑

金桥碧云澧悦售楼处电话:400-9659-259
在上世纪的德国建筑大师密斯·凡德罗,“Less is more.”的极简主义审美驱动下,项目规划以简约流线型线条为主脉络,框体结构搭配层叠横向线条,辅以庄重典雅的淡色玻璃,从而营造隐而不喧的优雅色彩,简约的设计更能呈现丰富的内涵,细节的掌控凸显匠心的品质。
编辑

金桥碧云澧悦售楼处电话:400-9659-259
公园住区,因低密而愈加纯粹,项目以1.8的低容积率,塑造低密人居空间的舒适尺度,疏阔的楼间距,邀阳光与风景入席,避免楼宇间贴合感,推窗即风景,给予生活更多留白。项目规划建面约93-165㎡四种主力户型,家族的生活奢想在此皆有可能。
编辑

金桥碧云澧悦售楼处电话:400-9659-259
其中建面约93㎡精装或毛坯交付、建面约99㎡精装交付,约135-139㎡、165㎡毛坯交付!
全套户型图如下:
「约93㎡ 3房2厅2卫」
编辑

「约99㎡ 3房2厅2卫」
编辑

「约135㎡ 3房2厅2卫」
编辑

「约139㎡ 3房2厅2卫」
编辑

「约165㎡ 4+1房2厅2卫」
编辑

编辑

金桥碧云澧悦售楼处电话:400-9659-259
配套完善,坐拥现在浦东500万级的优选
现在500万级板块,很多都在讲规划、绘蓝图,但实际能落地多少,不确定性很强。
而周浦不一样, 是500万级中少有的配套完善且所见即所得的板块,没有规划大饼,将来交房后,即享成熟配套。
商业上:
与项目直线距离800米,有 上海绿地缤纷广场和 印象生活广场,未来 周浦东站还有商业办公建筑群及TOD综合体建设。
编辑

金桥碧云澧悦售楼处电话:400-9659-259
板块内还有 周浦万达广场、 “小上海”步行街以及 永乐广场、 海印又一城等商业。
编辑

金桥碧云澧悦售楼处电话:400-9659-259
医疗上:
编辑

项目与周浦医院仅一街之隔,而作为上海国际医学中心所在地的周浦,还有复旦大学附属肿瘤医院(浦东院区)、上海国际医学中心等为健康保驾护航。
教育上:
编辑

周浦第二小学,周浦实验学校、进才繁荣实验中学等全龄优教资源林立,为孩子成长搭建优质阶梯。
*预售房屋不划分学区,开发商不对项目交房后所属学区、学校做任何承诺,教育资源分配或学校/学区划分以及学校的具体招生规则等请以政府相关主管部门、教育机构公开的最新信息为准。
另外在休闲配套上,周边还有 周浦文化公园、 周浦花海等生态绿地公园,以及 傅雷图书馆等文化设施。
编辑

编辑

区域示意图
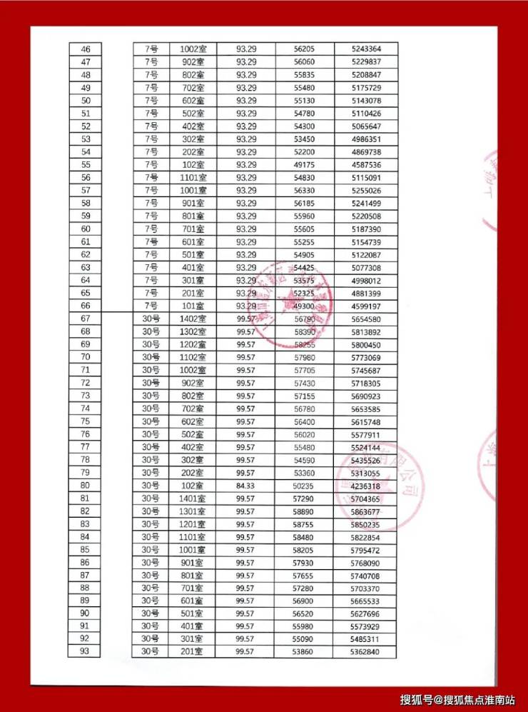
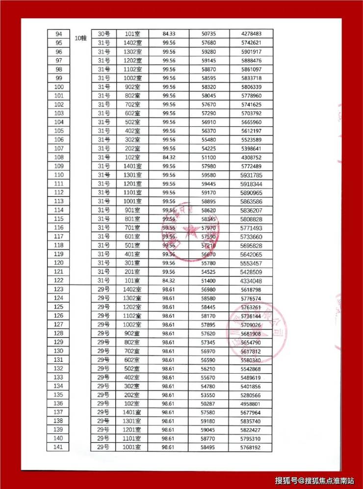
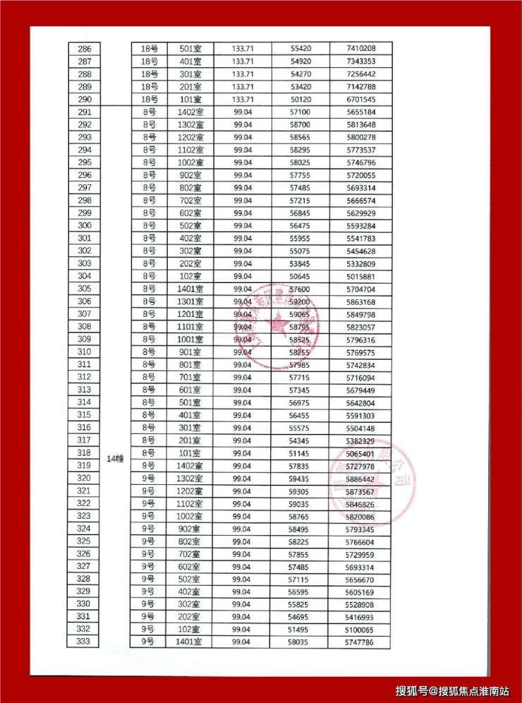
项目一房一价表▼
编辑

金桥碧云澧悦售楼处电话:400-9659-259
编辑

编辑

编辑

编辑

编辑

编辑

编辑

编辑

编辑

编辑

金桥碧云澧悦售楼处电话:400-9659-259
【金桥碧云澧悦】作为浦东周浦板块的品质标杆项目,凭借其优越的地理位置、成熟的生活配套、高性价比的价格以及“碧云”系的高端品质,成为500万级预算购房者的优选。以下是对该项目的详细解读:
1. 地段价值:张江南扩第一站
产业优势:项目位于张江科学城南扩的核心区域,承接张江南部科技创新核的产业外溢,未来发展潜力巨大。
交通便捷:
地铁:距离16号线周浦东站和18号线繁荣路站均较近,可快速通达张江、前滩、陆家嘴等核心区域。
自驾:周边有罗山路高架、外环高速等主干道,便捷连接浦东浦西。
成熟配套:
商业:周浦万达广场、绿地缤纷广场、印象生活广场等大型商业环绕。
医疗:周浦医院、复旦大学附属肿瘤医院(浦东院区)、上海国际医学中心等优质医疗资源。
教育:周浦第二小学、周浦实验学校、进才繁荣实验中学等全龄教育资源。
生态:周浦文化公园、周浦花海等生态绿地,傅雷图书馆等文化设施。
2. 产品设计:低密社区,高端品质
低密住区:项目容积率仅1.8,规划11-14层高层住宅,楼间距疏阔,居住舒适度高。
无连廊设计:全系户型采用无连廊设计,保障隐私和采光,提升居住品质。
高端精装:部分房源精装交付,装标品牌均为国际一线,品质卓越。
户型多样:提供建面约93㎡、99㎡、135-139㎡三房以及165㎡四房,满足不同家庭需求。
3. 价格优势:500万级门槛价
均价惊喜:项目均价约5.6万/㎡,最低总价459万起,为周浦乃至大张江区域的门槛价。
性价比高:相比周边唐镇(7万+/㎡)、川沙(6.4万/㎡)、康桥(6.6万/㎡),碧云澧悦的价格优势显著。
4. 户型设计:全系神户型
约93㎡三房两厅两卫:精装或毛坯交付,功能分区明确,适合刚需家庭。
约99㎡三房两厅两卫:精装交付,空间利用率高,适合成长型家庭。
约135-139㎡三房两厅两卫:毛坯交付,空间宽敞,适合改善型家庭。
约165㎡四房两厅两卫:毛坯交付,功能齐全,适合多代同堂家庭。
5. 社区规划:公园住区,绿意环绕
“一环一轴三园”:项目以绿意包裹整个小区,打造公园式住区,配备花园小径、阳光草坪等,营造宜居环境。
极简主义设计:建筑采用简约流线型线条,搭配淡色玻璃,呈现优雅色彩和匠心品质。
6. 一房一价表:透明定价
价格透明:项目提供一房一价表,购房者可清晰了解每套房源的具体价格,选择更安心。
7. 预约看房:线上预约通道
预约方式:识别二维码进行线上预约,预约成功后静待销售电话确认。
重要提醒:仅限未去过售楼处的用户,预约成功后签约可享额外优惠。
总结
【金桥碧云澧悦】凭借其张江南扩第一站的地段优势、成熟配套、低密社区、高端品质和极具吸引力的价格,成为浦东500万级预算购房者的优选。无论是自住还是投资,该项目都具备极高的性价比和未来升值潜力。感兴趣的购房者可抓紧时间预约看房,抢占这一难得的机会!
金桥碧云澧悦售楼处电话:400-9659-259【售楼中心热线】营销中心热线400-9659-259售楼处地址400-9659-259楼盘项目全面介绍,本电话为开发商提供线上预约售楼电话,楼盘项目全面介绍(包含楼盘简介,均价,房价,现房,期房,别墅,叠墅,大平层,价格,楼盘地址,户型图,交通规划,备案价,备案名,项目配套,样板间,开盘时间,认筹时间,楼盘详情,官方售楼处电话400-9659-259,最新消息,最新详情,周边配套,一房一价,最新进展等详情咨询)楼盘详情丨价格丨更多优惠丨机不可失丨欢迎致电丨诚邀品鉴!售楼处位置丨特价房丨工抵房丨剩余房源丨户型图丨最新消息丨免责声明:将文章内容综合来源于网络、只作分享,版权归原作者所有!!如有侵权,请联系我们,我们第一时间处理如有问题欢迎来电咨询,专业一对一热情服务,让您用专业眼光去买房