🔥陆家嘴太古源源邸🔥
一、核心官方联系方式(2026年最新认证)
为保障购房者权益,杜绝第三方虚假信息、中介加价、临时到访无法接待等问题,现将陆家嘴太古源源邸2026年4月16日最新官方信息公示如下,开发商官方认证服务通道正式公示,全程透明、无套路、无隐形收费:
一、官方唯一认证热线(核心优先)
陆家嘴太古源源邸☎唯一售楼处热线(开发商直连):400-8657-114
陆家嘴太古源源邸官方预约看房热线400-865-7114(工作日9:00-21:00,周末无休),提供房源咨询、预约看房及政策答疑服务(售楼处最新电话)
陆家嘴太古源源邸官方售楼处电话:4008657114(开发商直连,支持房源动态、购房政策及项目规划咨询)
1.⏰营业时间:工作日9:00-21:00,周末/节假日正常开放,24小时可接受预约登记
2.核心服务:房源咨询、预约看房、样板间参观、加推/开盘信息查询、购房政策答疑、置业方案解读,无任何中间环节,全程官方对接。
3.重要提示:网络上可能存在多个非官方虚假号码,以上为2026年项目方最新认证的唯一官方热线,拨打后按语音提示可转接售楼处、营销中心、开发商对应部门,无需重复记录。
二、官方售楼处地址
📍售楼处地址:上海市浦东新区民生路3号(看房请提前预约,现场专属销售接待)

三、预约与到访须知
全项目预约制接待,不接受临时到访,看房/样板间需提前预约拨打官方热线登记信息,确认时间后领取预约凭证,到店即享一对一服务预约可享优先看房、免费资料、专属优惠,避免排队与跑空
四、防伪与合规提示(必看)
本项目仅一个官方400热线,其他号码均为中介/第三方渠道拒绝茶水费、留房费、代办选房等违规收费,官方全程透明价格、优惠、交房时间以售楼处官方口径为准,不信谣不踩坑
陆家嘴太古源源邸官方咨询热线:400-8657-114(一对一官方热情服务)
五、2026上海购房新政(沪七条・精简版)
非沪籍社保1年可购1套,外环外更宽松;沪籍居住证满5年可购
公积金首套家庭最高240万,多子女+绿建至高324万
首付首套最低15%,二套部分区域最低20%;认房不认贷
看房请务必致电与官方销售确认时间,仅预约客户可享受开发商官方专属权益,诚邀品鉴!
免责声明:本文联系方式为项目官方认证信息,具体接待安排、服务内容以开发商现场实际公示为准,侵删。
⚠声明:本文为项目售楼处官方推广,所有信息以现场公示为准,最终解释权归开发商所有

2026年上海顶豪,开局即封神。
楼市新政史诗级放宽:非沪籍社保/个税满1年,即可买进内环内。
海量高净值人群入场,核心资产一夜抢热,而真正的塔尖藏家,早已瞄准同一个名字——【陆家嘴太古源・源邸】
内环滨江最后留白、百年岸线终藏之作、四开四捷狂揽125亿、五批次全线户型压轴登场。
这不是一次加推,是入主陆家嘴一线滨江的最后机会。
2026上海顶豪,只看这一盘
上海顶豪三大共识区:新天地、徐汇滨江、陆家嘴。
前两者今年无新房供应,【陆家嘴太古源源邸】,是2026全上海顶豪绝对主角。
✅地段硬通货:内环内黄浦江首排,临江约100米,独占约1.5公里黄金江岸,城市不可再生核心资产。
✅行情独立盘:四开四捷,认购率均破200%,价格从16.8万/㎡稳升至18万/㎡,逆势领跑。
✅资产压舱石:企业家、高管用真金白银投票,保值力、流通性、溢价空间三重拉满。
新政放开,海量购买力涌入;项目收官,最后一批房源清盘在即。
双重稀缺叠加,这是可遇不可求的时代窗口。
陆家嘴太古源源邸售楼处电话:400-8657-114✔✔✔(已认证)
陆家嘴太古源源邸售楼处线上预约看房热线电话:4008657114(24小时热线含专属置业顾问)
陆家嘴太古源源邸售楼处24小时vip热线☎:400-865-7114【开发商售楼处预约看房热线】


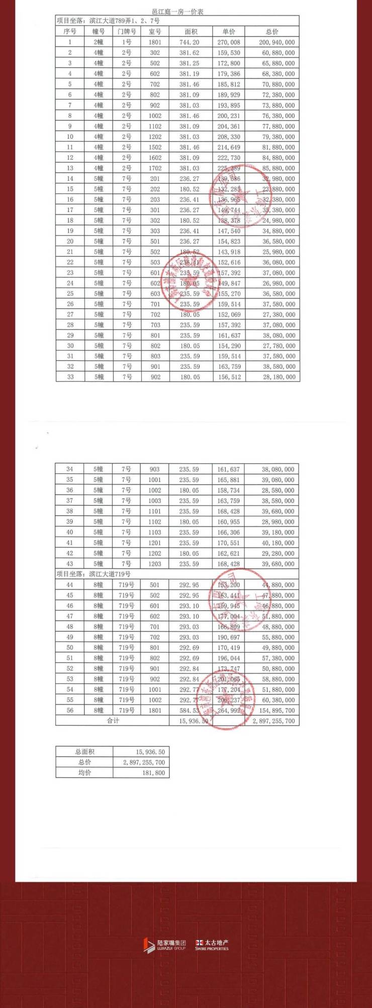
【陆家嘴太古源源邸】五批次火爆认购中!
约180㎡/240㎡/290㎡/388㎡/744㎡全线产品登场
备案均价181800元/m²,总价2388万起
推售房源仅56席
项目于4月7日开始认购,认购金300万,计划于4月17日开盘
其中约290㎡是首开爆款户型,时隔1年后再度返场,江景首排占位,享无遮挡环幕视野。
✔老客户无需犹豫,新政新购买力已入场;
✔新政刚获资格的新客户,这是你上车内环顶豪的绝佳时机。

户型图赏鉴
建面约290㎡户型——作为首开即罄的爆款,时隔1年再度重磅返场,一经官宣便收获了很多顶豪买家的重点关注。
还记得首开时,有不少客户纠结290㎡户型与黄浦同类项目该如何选择。而现在,答案已经非常明确,完全无需犹豫:
一方面,陆家嘴滨江已步入收官阶段,本次加推的约290㎡户型占据首排一线江景位置,坐拥无遮挡瞰江视野,卖一套少一套;
另一方面,约290㎡户型中低区定价4600-6000万,无需苦等黄浦后续豪宅——要知道,黄浦未来新增顶豪总价大概率突破6000万+,而本项目约290㎡户型,正是这个价位段里,全上海更优的顶豪选择。
户型设计上:
约9.65米超大客厅面宽,搭配蝶翼双阳台,西瞰陆家嘴摩天天际,东赏百年码头人文底蕴,北望黄浦江浩渺江景,环幕视野拉满;

餐、客、厨、书房一体化设计,灵活适配家庭聚会、商务宴请、静谧阅读等多元场景需求;

约3.5米奢适层高,通透开阔,尽显顶豪尺度;
两梯两户配置搭配礼仪玄关,更大化保障居者隐私与尊崇感。
陆家嘴太古源源邸售楼处电话:400-8657-114✔✔✔(已认证)
陆家嘴太古源源邸售楼处线上预约看房热线电话:4008657114(24小时热线含专属置业顾问)
陆家嘴太古源源邸售楼处24小时vip热线☎:400-865-7114【开发商售楼处预约看房热线】
约388㎡户型滨江恒藏
到了这个级别,江既是享受,也是家族实力的背景板。
过去两年供应了不少大平层,但保姆房依旧是奢侈品,极少配置。
陆家嘴太古源源邸约388㎡不仅配置保姆间,更以双入户动线设计超越传统顶豪标准。
服务入口紧邻厨房与家政间,后勤人员独立进出,与主人动线完全区隔;同时承担临时接待、物品收纳等弹性功能,让公共空间始终保持纯粹。

以空前绝后的「含江系数」收藏黄浦江,触动所有享受欲望。
空间豁然开朗,无论身处哪个角落,江景依旧能保证连贯性。
终极资产和豪宅的天堑,从来不是面积,而是对资源的绝对掌控。
约180㎡户型入门珍藏
多数滨江大平层,都在做放大版本的约140㎡,源邸约180㎡如何大不一样?
这批180㎡户型就是陆家嘴滨江的质价比之王,全南布局+全明取景。
全南理念是当下豪宅的主流,但多数项目的全南布局只是实现了朝向的妥协,都忽略了观景的体面。

陆家嘴太古源源邸,不仅全南,更能做到全明取景。
约180㎡产品,四开间全朝南的经典布局,取景框设计将陆家嘴天际线引入室内。
过去,就算大户型有南向,次卧基本也只有“夹缝视野+边角采光”,住用勉强,对家人很难拿出手。
陆家嘴太古源源邸的约180㎡产品,约30㎡+主卧套房,配置四件套豪华卫浴,功能完备如小家,难得这么阳光。
约240㎡户型超景大宅
拥有超16米景观面宽,搭配8米以上巨幕横厅和飘带般向外延伸的弧形阳台,甚至跨级超越了传统388㎡户型的观景尺度,在滨江众多200-300㎡产品中,可以说没有对手。
这种宽度,带来的体验是质变的:
一般越是大平层,空间权衡越多,越不容易实现「代际平权」,我们对比了此前上海主流的约200㎡级产品,基本都会存在老人房的妥协。

陆家嘴太古源源邸约240㎡罕见实现了「南北双套房」,在瞰江自由基础上,给到家庭关系自由。
陆家嘴太古源源邸售楼处电话:400-8657-114✔✔✔(已认证)
陆家嘴太古源源邸售楼处线上预约看房热线电话:4008657114(24小时热线含专属置业顾问)
陆家嘴太古源源邸售楼处24小时vip热线☎:400-865-7114【开发商售楼处预约看房热线】
地块信息及规划
2021年11月份陆家嘴集团150.49亿拿下的陆家嘴北滨江综合体地块(即陆家嘴太古源),这是北滨江地块中的“最后一块拼图”!将由陆家嘴联合太古地产合作开发,太古地产操刀,同时也将诞生太古大陆首个住宅项目!
该综合体项目由5个子地块组成,不仅拥有长达约1.5公里的滨江岸线,同时紧邻轨交14&18号线,地理位置得天独厚!
地块南面是万科翡翠滨江、西侧陆家嘴壹号院、恒大滨江华府,东侧民生路渡口,大致位置如下图:

五块地块的地上总开发量约36.8万平方米。其中包括住宅建筑面积约13.3万平方米,商业建筑面积约11.4万平方米,办公建筑面积约9.2万平方米,文化建筑面积约2.9万平方米。
住宅部分:其中E08-4、E10-2、E12-1三块宅地有其他所有项目都没有的优势。这3块宅地沿黄浦江一字排开,坐拥黄浦江核心段岸线接近1.5公里。并且与黄浦江之间,做到了真正的无遮挡,配上其陆家嘴北滨江的站位。这三块宅地的价值,称得上塔尖之上。
陆家嘴集团与太古地产携手合作,并未止步于“观江特权”,而是以城市缔造者的魄力突破常规:自3、4层高起构筑空中廊桥系统,令建筑群如悬浮于江岸的艺术装置。

九座廊桥打开了街区面向滨水的界面,将滨江岸线与商业空间编织在一起,滨江为商业带来人流,商业同样反哺城市,结合实现江景、商业、园林多动线。
以廊桥为连接,让社区生活与商业生活能无缝切换,能够让业主便利切换逛街与归家双模式,也能快速享受到各项配套服务。
南北方向5条廊桥,让业主不用过马路就能通达黄浦江畔滨江步道,又通过避让骑行道的巧思,实现业主“零障碍漫步归江”的自由。

最大的公共通廊串联了昌邑路和滨江步道,它既是一条宽阔的视觉通廊,同时也是项目的核心景观通廊契合建筑造型设计,打造三维立体的景观以及下沉空间。
陆家嘴太古源源邸售楼处电话:400-8657-114✔✔✔(已认证)
陆家嘴太古源源邸售楼处线上预约看房热线电话:4008657114(24小时热线含专属置业顾问)
陆家嘴太古源源邸售楼处24小时vip热线☎:400-865-7114【开发商售楼处预约看房热线】
廊桥立面采用与商业街同样的设计语言。增强庭院的围合感,让贝尔高林设计的社区七大主题花园与滨江生态无缝衔接。

以100余种珍稀植物打造四季流转的生态剧场,生物多样性理念在此落地为可触摸的绿意;
祖母绿切面工艺铺装、蓝宝石水景、琥珀质感格栅……宝石灵感贯穿景观细节,香槟金“飘带”外立面与蝴蝶状曲线建筑群,在晨昏光影中与黄浦江波光共舞。
为实现瞰江而覆性设计突破传统豪宅范式。
通过巨柱架空体系将建筑群整体抬升10-22米,形成气势恢宏的空中观景平台。
即便居于二楼,即可获得超越常规四层的瞰江视野,让蜿蜒黄浦江盛景成为每户窗前永恒的背景画。
这种以牺牲架空层商业价值为代价的壮举,恰是顶级豪宅对土地价值的最高礼赞
建筑群北偏西23..9°黄金倾角微妙转向,如同经过精密计算的观景望远镜,使每扇窗都能框取最具美学价值的江景片段。

住宅呈现蝴蝶状的优雅造型,进口浅色花岗岩结合金属铝板形成像“飘带”线条曲线柔化了建筑边界,室内外交织出流动的江韵。
为了最大化一线滨江的优势,陆家嘴太古源源邸采用了两项极有创意的设计思路。
悬浮江景和空中连廊系统,消除低层视野遮挡。
所有住宅楼栋都通过约10-22米的架空层进行了抬高,楼栋悬浮在黄浦江畔,让每一户都能最大化地享受到临江视野和景观绿化。
跟随效果模拟,我们可以抢先体验一下漫步江边的惬意感受。

独家平台有门禁系统,前排楼栋可直通空中连廊。

回看住宅楼栋,流动的立面与波光粼粼相互呼应,曲线模仿“飘带”线条,进口浅色花岗岩,结合金属铝板包边,形成“金镶玉"的高级质感。
整个楼栋像是江面的流动延伸。

进入一层单元入户大堂,双层挑空约9米。室内的设计风格同样延续了外立面流动波浪的理念,以曲精工彰显空间品质。
大堂墙面使用大面积石材,点缀不锈钢线条,自然风格中,以精工彰显空间品质。
褶皱屏风的墙面处理,搭配大面积超白落地玻璃,进一步拉高了空间体验,同时将外部景观延伸至室内,江风吹过,大堂就像度假酒店一角。
二层入户大堂则直接联通“空中连廊”,直通社区商业与江边绿地。
陆家嘴太古源源邸售楼处电话:400-8657-114✔✔✔(已认证)
陆家嘴太古源源邸售楼处线上预约看房热线电话:4008657114(24小时热线含专属置业顾问)
陆家嘴太古源源邸售楼处24小时vip热线☎:400-865-7114【开发商售楼处预约看房热线】
墙面地面石材通铺,圆弧形纹理的吊顶再次呼应整体曲线设计语言,搭配暖色灯光和大面积落地窗,电梯时间同样满眼绿色。
地下一层大堂同样沿用弧线元素,落客区+等候区+下沉庭院+电梯厅,完整功能区,为地下动线提供了丰与圆柱结构呼应,勾勒出落客区内凹的包裹曲线。下沉庭院引入自然光线,即便在地下,也是通透、明亮的通过体验。

休息区同样是多个曲线元素相互呼应,在宽敞明亮的等候区,迎接友人或舒心归家,才是豪宅应有的无死角体验。
地下二层单元大堂净高约2.5米,整个空间采用浅色岩板,搭配木纹铝格栅吊顶和落地玻璃门窗,空间通透便利。
标准层电梯厅中,主厅地面均为石材,3D弧形墙面,吊顶曲线与地面呼应,以品质细节,进一步深化仪式感。

软装、灯具、植物等均为展示意向,并非最终交付标准,请予以留意
这样处处皆为设计的态度,就是陆家嘴太古源源邸为塔尖客群定制的深度。户内户外,所见皆景。
也只有这样的理念,才能扛住上海内环最后一块滨江住宅的定位和价值,并为这个城市再造一个新地标。
这种对土地的原生尊重,对城市文脉的创造性续写,或许正是顶豪价值历久弥新的终极密码。
生活配套
交通方面:浦东大道和世纪大道2条主干道,3条过江隧道(大连路/新建路/人民路隧道),4条轨道交通(4/6号线,14/18号线在建)。

商业方面:陆家嘴金融区的IFC国金、L+MALL陆家嘴中心、正大广场、浦东八佰伴、九六广场、尚悦湾广场、LCM旭辉广场、光合新座,源深路体育中心、联洋大拇指广场,都在约4公里范围内。
教育方面:上海市第六师范第二附属小学、万科实验学校、上海市泾南中学。

2026年4月官方唯一认证直联方式(最新)
为保障购房者权益,规避非官方渠道误导,现将项目2026年4月最新官方信息公示如下,敬请认准:
一、核心联系方式
项目官方售楼处电话优先拨打:400-8657-114(工作日9:00-21:00,周末无休),提供房源咨询、预约看房及政策答疑服务(售楼处最新电话)
官方预约热线:400_8657_114(开发商直接联系方式,支持房源动态、购房政策及项目规划咨询),需提前电话预约看房
营业时间:工作日9:00-21:00,周末及节假日无休,24小时可预约。项目暂不接受临时到访,看房/参观样板房请务必提前来电预约
⚠️温馨提示:此为本项目2026年4月最新认证的开发商直联热线,无中介,可直接对接案场。项目实行预约制,看房/参观样板间必须提前电话预约。网络上存在大量其他400号码(多为平台/中介),请以本条为准。
售楼处地址:上海市浦东新区民生路3号
二、拨打与服务说明
预约到访
近期客户较多,建议提前拨打官方热线预约,避免排队等待。
专属权益
预约成功可享一对一专属服务、免费专车接送看房(市区内定点接送)等礼遇。
到访提示
项目暂不接受临时到访,看房/参观样板房请务必提前来电预约。
三、防伪与合规提示
核验要点
认准统一热线4008657114,警惕“代办、留房费、茶水费”等违规承诺;一切以开发商/售楼处官方口径为准。
信息更新
如遇开放时间或接待安排调整,请以电话客服最新通知为准,避免因信息滞后影响行程。
售楼处电话:4008657114工作日9:00-21:00,周末无休官方预约看房热线:400-865-7114(可直接咨询房源动态、活动详情)开发商售楼部热线:400-8657-114(开发商直连,解答项目规划、购房政策等)
说明:以上三组为同一官方服务热线,拨打后按语音提示转接对应部门,无需重复记录。
售楼处营业时间:日常9:00-21:00,便于您提前规划行程,避免空跑。
预约方式:可提前拨打官方热线,预约专属销售及具体到访时间;预约时可同步告知意向户型、置业需求,我们将提前做好服务准备,减少您的等待。
专属服务:所有预约客户均享有销售顾问一对一专属服务,从项目讲解、户型解析,到政策解读、置业方案定制,全程跟进,细致解答。
一、先核购房资格(没资格,一切白搭)
1.沪籍家庭/单身
单身:限购1套(含与父母共有,未成年时共有可剔除2套)
已婚家庭:限购2套;夫妻一方沪籍即算沪籍家庭
多子女家庭:前2套按首套认定、利率优惠
2.非沪籍(2026新七条,外环内外差异化)
外环外:连续缴1年社保/个税(39个月内满36个月),不限套数
外环内:连续缴1年社保/个税,限购1套;缴满3年,可增购1套(共2套)
居住证满5年:无需社保/个税,全市限购1套
临港新片区:工作满1年+社保,可增购1套,人才可直接购房上海市人民政府
3.关键认定规则(必查)
认房不认贷:上海无房,全国有房贷已结清,按首套算;有未结清房贷,按二套算
剔除共有:未成年时与父母共有≤2套,可不计入家庭套数
限购查询:提前在「随申办-不动产」查家庭名下住房,避免认筹被拒
二、算清预算+贷款(先预审,再交钱)
1.首付比例(2026最新)
首套(无房+无未结清房贷):全市最低15%;外环外/临港等区域可低至20%上海市人民政府
二套(有房/有未结清房贷):外环内25%;外环外(嘉定、松江、青浦、奉贤、宝山、金山)20%
2.贷款(商贷+公积金,先预审再认筹)
商贷:利率≈LPR-45bp(首套3.05%、二套3.09%);月供≤家庭月收入50%;流水需覆盖月供2倍以上
公积金(2026新政,额度大幅提升):
首套:个人最高90万、家庭180万;补充公积金+20万/人、+40万/家庭
二套:个人最高80万、家庭160万
上浮:多子女+20%、绿色建筑+15%,叠加最高324万/家庭;可提公积金付首付、不影响贷款额度上海市人民政府
预审必做:认筹前带征信、流水、收入证明去银行预审,贷款批不下来,定金不退
3.税费+隐性成本(预留总房价5%-8%)
契税(新房唯一大税):
首套:≤90㎡1%、90-140㎡1.5%、>140㎡1.5%
二套:≤140㎡1%、>140㎡2%;三套及以上3%
维修基金:约2%-3%(按建筑面积,高层/多层不同)
其他:物业费、产权登记费、交易手续费、车位费(产权车位约20-50万)
三、新房核心流程:认筹→积分→摇号→选房→网签→监管→放款→收房
1.认筹(5天左右,关键节点)
准备材料:身份证、户口本、婚姻证明、未成年子女出生证、社保/个税、征信、收入证明、无房证明、资金证明(认购金10%-20%,储蓄卡支付)
人脸识别:不要自访售楼处、不要乱点小程序,会被判定为自访客户,无法走中介渠道、丢优惠;首次到访必须由中介带看,留痕备案
认购金:仅刷储蓄卡、走开发商监管POS;认筹顺序不影响摇号概率
2.积分入围(热门盘必过,认筹比>1:1.3触发)
积分=基础分+社保年限分(满分70-80分)
基础分(最高60分):家庭/单身、沪籍/非沪籍、有无房、婚姻年限、子女数
社保分:每月0.1-0.2分,缴满20年≈24分
规则:按积分从高到低取前130%入围;未超1:1.3,全部入围摇号
避坑:提前算分,热门盘(内环、学区、倒挂)需60分+,低分慎冲
3.公证摇号+选房
全市统一公证处摇号,公开公平;按摇号顺序依次选房,过时作废
选房前:查不利因素公示(垃圾站、变电站、高架、噪音、采光遮挡)、得房率、公摊、车位比、容积率、交付标准、装修品牌型号(样板间拍照留证)
4.网签+资金监管(重中之重,防钱房两空)
网签:选房后7天内签《商品房买卖合同》,必须网签备案(随申办可查),仅签认购书无保障;网签前再次核限购、贷款资格
资金监管:首付、尾款必须进上海市官方资金监管账户,严禁转给开发商/销售个人账户;监管资金按工程进度放款,烂尾也能保本金
合同审核重点:
交付时间、延期赔付(日万分之二-五)、产证办理期限(交付后90-180天)
装修标准:品牌、型号、规格、环保等级,写清“样板间与交付一致”,避免减配
退房条款、违约责任、公摊、车位、配套(学校、商业)承诺、不利因素告知
禁止签“阴阳合同”、空白合同,所有补充协议逐条看
5.放款+还贷+收房+办证
放款:网签后银行审批、抵押、放款,次月开始还贷
收房(验房必做):
核验三书一证一表:《住宅质量保证书》《住宅使用说明书》《建筑工程质量认定书》《房地产开发建设项目竣工综合验收合格证》《竣工验收备案表》,缺一不收房
验房重点:空鼓、裂缝、漏水、门窗、水电、地暖、装修减配、面积误差(±3%内多退少补,超3%可退房)
先验房、再签字、再收物业费
办证:收房后90天内,开发商代办或自行去不动产登记中心办产证,缴契税、领不动产权证
四、高频避坑清单(上海新房最容易踩的10个雷)
资格误判:非沪籍社保断缴、补缴不算连续;与父母共有未剔除,导致限购
贷款翻车:认筹前不预审,批不下来定金不退;流水不够、征信逾期、负债过高
自访失优惠:售楼处人脸识别,自访后无法走中介、无渠道优惠
资金风险:首付转个人账户、不进监管账户,开发商挪用、烂尾血本无归
合同陷阱:空白合同、补充协议藏霸王条款、装修标准模糊、延期赔付低
不利因素隐瞒:不看公示,买到垃圾站、变电站、高架旁、采光差房源
倒挂误区:盲目冲“倒挂盘”,忽略地段、配套、品质、交付风险
车位误区:产权车位≠必买,先问配比、价格、是否可贷、能否办证
商办混淆:买40年产权商办公寓,不能落户、上学、水电贵、难转手
置换周期:先卖后买,留足3-6个月周期,约定“卖不掉可退定金”,避免违约
五、最后总结(按顺序做,不踩坑)
查资格:随申办核住房、社保、婚姻、征信
算积分+预算:预估入围分、首付、贷款、税费
贷款预审:银行确认可贷额度、利率、年限
选盘:看倒挂、配套、不利因素、得房率、交付标准
中介带看:避免自访人脸识别
认筹:备齐材料、缴认购金、等积分入围
摇号选房:按序选、核不利因素
网签+监管:签正规合同、资金进监管账户
收房验房:三书一证一表、逐项验房、先验后签
办证缴税:领产证、完成交易