兴云间售楼处电话与购房全流程指南:兴云间售楼处电话:400-8815-114【已认证】
在上海,您是否满心憧憬着拥有一处理想家园?别犹豫,兴云间售楼处电话400-8815-114,将成为您购房旅程中最得力的助手,全程为您保驾护航。
现在,您只需轻轻拿起电话,拨通这串充满希望的号码,就能将理想家园的蓝图逐步变为现实。不要再犹豫,让兴云间售楼处电话成为您开启幸福生活的起点,在这座城市中,找到专属于您的温馨港湾,轻松实现梦寐以求的购房梦想。
兴云间售楼处电话:400-8815-114✔【已认证】
兴云间营销中心电话:400-8815-114✔✔【官方认证】
上海兴云间售楼处电话:400-8815-114 VIPLINE✔✔✔欢迎预约
「香港兴业·兴云间」开启认购
推出约90㎡精装墅境6层洋房&
约196㎡珍稀城市联排&
约178-192㎡叠墅
均价5.06万/㎡
9号线&12号线西延伸段双轨环伺
三水环抱 容积率仅约1.1低密社区

立面上:甄选进口的天然金钻麻石,搭配浅香槟金、深咖色铝板彰显丰富层次。这种趋于自然的原材原则、融于自然的和谐配色,庄重又不失设计,在低调中尽显主人的奢华。

除了用材,兴云间对立面细节的雕琢延伸至建筑屋顶形态及玻璃使用。
金属材质打造的坡屋顶形态业内少见,极富美学比例,和谐且内敛。
大面积的LOW-E玻璃,“高窗墙比”成就更开阔的外部视觉感和室内空间通透性。

景观上:兴云间的打造自外而内。入宅归家:布局六幕景观场景的精奢落客区,在步履归家的途中,渐进式完成情绪的转换,精神的放松。

内部公区:以「叠水绿岛、马卡龙乐园、植物百宝园、水上寻净、花间拾趣」所构成的组团式景观场景,将「活力」、「品质」、「社交」、「健康生态」等重点,为全龄段人群打造观赏性与互动性兼具的自然会客厅。

洋房户型图如下:

联排户型图如下:




叠加户型图如下:





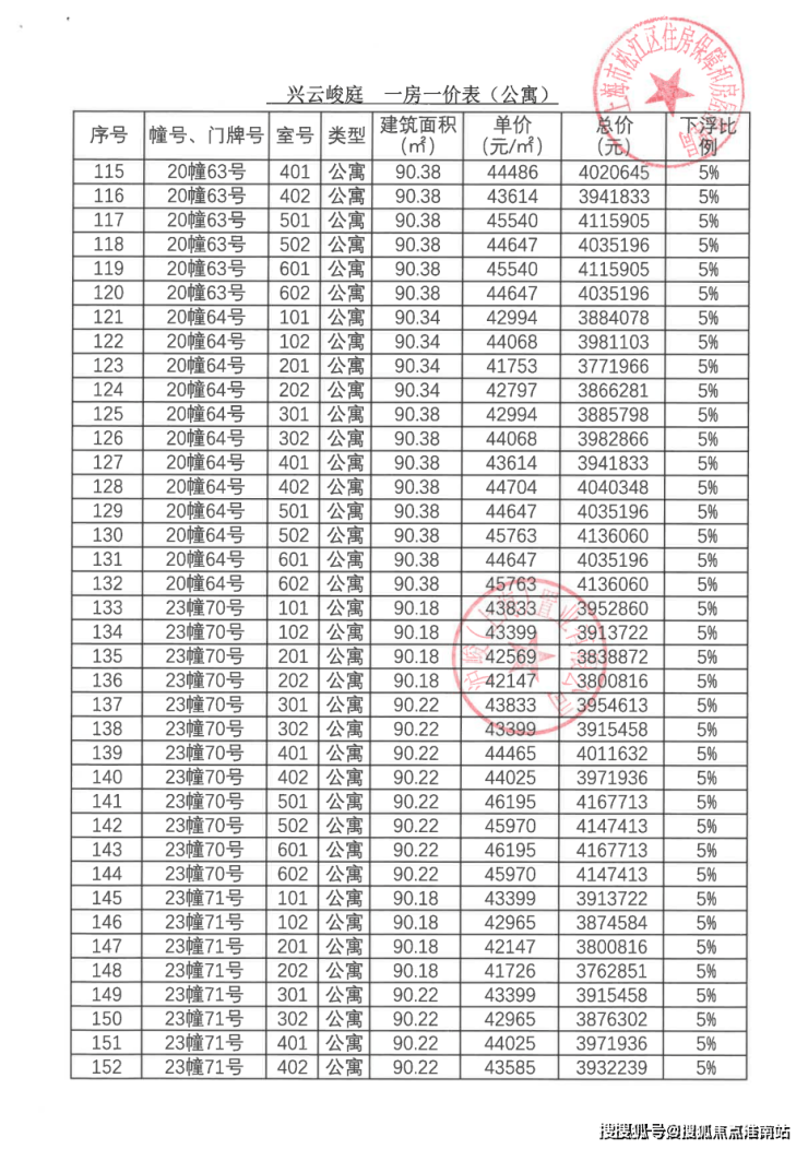
一房一价表:









兴云间售楼处电话:400-8815-114【已认证】
兴云间营销中心电话:400-8815-114✔【已认证】
上海兴云间官方售楼处电话:400-8815-114 VIPLINE✔✔✔【已认证】
如有问题可来电咨询,线上售楼中心,预约销售专员,一对一为您服务!
想了解兴云间更多信息?拨打售楼处营销中心热线:400-8815-114 (中介勿扰)【24小时热线】
上海公积金贷款政策
上海公积金贷款政策主要包括以下内容:
一、贷款条件
缴存要求:申请前需连续缴存公积金满6个月,中途换工作补缴可申请复议。
家庭贷款记录:家庭名下无未结清的公积金贷款,且全国范围内公积金贷款记录不超过1次(已结清)。
征信要求:5年内无连续6期或累计超过12期的逾期记录。
房屋要求:所购房屋需为70年产权住宅,且符合本市房地产调控政策。
二、贷款额度
基本额度:
首套住房:个人最高65万,家庭最高130万;缴存补充公积金的,个人最高80万,家庭最高160万。
二套住房:个人最高50万,家庭最高100万;缴存补充公积金的,个人最高65万,家庭最高130万。
特殊政策:
多子女家庭:首套住房贷款额度上浮20%(需至少有一个未成年子女)。
绿色建筑住房:购买二星级及以上新建绿色建筑住房,贷款额度上浮15%;多子女家庭叠加政策,最高可上浮35%。
三、首付比例
首套住房:一般为20%;若所购住房位于自贸区临港新片区及嘉定、青浦、松江、奉贤、宝山、金山区域,首付比例为20%。
二套住房:一般为25%;上述区域首付比例为20%。
四、贷款利率
首套住房:五年期(含)以下2.1%,五年期以上2.6%。
二套住房:五年期(含)以下2.525%,五年期以上3.075%。
五、贷款年限
房龄20年以内可贷30年。
房龄35年以内,贷款年限=50-房龄。
房龄35年以上,贷款年限为15年。
主贷人年龄限制:男不超过68岁,女不超过65岁。
六、其他政策
提取公积金支付首付:购买新建预售商品住房(2024年1月1日后取得预售许可证),可提取本人及配偶公积金支付首付,不影响贷款额度计算。
灵活就业人员贷款:需连续缴存12个月以上,最高贷款额度与累计缴存时间挂钩。
以上政策自2025年8月26日起施行,具体执行以公积金管理中心审核结果为准。建议申请前通过上海公积金官网或咨询公积金管理中心确认最新政策细节。