临港溢泽华庭二期售楼处热线;4009665004(官方统一电话)临港溢泽华庭二期官方售楼处电话;4009665004(预约看房热线)临港溢泽华庭二期咨询热线:4009665004(享限时高额返现)临港溢泽华庭二期【400-966-5004√√√24小时预约热线】临港溢泽华庭二期售楼处电话:400-966-5004一对一临港溢泽华庭二期热情服务热线:400-966-5004(了解最新优惠)开盘时间优惠力度交付时间300万-500万新房怎么选?更多优惠楼盘详情?
温馨提示:看房务必致电与销售确认时间,可获取新房特价房/工抵房,以及售楼部最新折扣优惠!
浦东周浦板块
【溢泽华庭】直接认购
建面约55-131㎡1-3房
倒挂1万/㎡?你想买吗?
均价5.6万/㎡总价276万起
目前已开盘,现直接认购
售楼处线上火热预约
溢泽华庭位于浦东周浦板块,与18号线周浦站直线距离约1.4公里,可以通过共享单车或公交车接驳。溢泽华庭一期是2017建成的动迁房,已交付入住。
溢泽华庭二期项目西侧就是小上海步行街,周边更有万达广场、上海绿地缤纷广场(周浦店)、永乐广场、海印又一城等商业,配套非常成熟。
项目在售建面约55-131㎡1-3房,均价5.6万/㎡,首付39万起!总价276-793万!目前已开盘,现直接认购
全套户型图如下:(共15个户型)
样板间展示如下
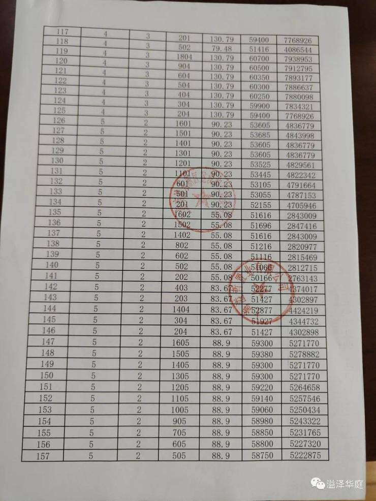
一房一价表如下:
在第一时间就到现场进行了踩盘。该项目位于宝燕商城的南侧,紧紧挨着溢泽华庭一期。
示意图,仅供参考

据了解,项目由6栋16-20F的高层住宅组成,为原拆原建的回迁安置房小区,动迁户已经完成了签约。此次名单中的185套房源,便是完成签约后的剩余房源。
从当初的文件来看,大约是在2018年年底左右开始动工的。整个小区由2幢20层住宅、2幢18层住宅、1幢16层住宅、6幢5层住宅、1座4层商场、1座开关站、1座生活垃圾压缩站、3座独立门卫、1座地下机动车库(含人防)构成。

现在,从现场的施工情况来看,整个小区已经处于一个准现房的状态。建筑的外立面和玻璃窗也都已经弄得差不多了,但是小区内部绿化还在施工建造中。
项目大体是2梯4户的设计。毕竟是动迁房小区,社区虽然和近几年的商品房社区还是有一定差距的,但是与隔壁的一期相比还是强上不少的。
有意思的是,在二期里面,东门位置就是浦东新区的文物保护点——怡蘐小筑!
相传是一位朱姓人家的老宅,是近现代重要史迹及代表性建筑中的传统民居。
前后二进院落,共有房12间,占地面积559.75平方米,建筑面积455.9平方米,坐北朝南。钢筋混凝土结构,硬山灰瓦顶。门面为欧式风格,门廊雕饰精美,入内是一大院子和第一进面阔3间二层大厅,第二进正房面阔3间,西厢房面阔2间,东面为直上二楼木楼梯,具中西合壁风格。
2017年1月25日,怡蘐小筑被浦东文广影视局公布为浦东新区文物保护点,未来会派什么用处还不得而知。
而这位朱姓人家,也喜欢种牡丹,在溢泽华庭一期西门位置,就有过百年牡丹,算是周浦一处小有名气的打卡点。
说实话,这个地方,关岳路康沈路,是周浦老镇的核心地段。小上海步行街就在关岳路南边,这可以说是周浦老镇以前最为繁华的地段了,不过现在已经没落了!现在随着万达广场、绿地缤纷广场、印象生活广场等商业的崛起,日常生活的大部分需求都能得到满足。
项目距离18号线周浦站直线距离大约1.3公里,步行要2公里与地铁盘感觉上还是相差比较远的。
此外项目周边还有周浦小学文康路校区、上海市傅雷中学等学校以及周浦医院等配套。项目2公里范围内有周浦文化公园、周浦体育中心(在建)等配套。
总的来说,周浦老镇这个地方以前是个非常繁华的地方,但是现在,路窄、商业能级低,周边还有棚户,但现在给人的感觉就是“市井”气息太浓了。
最后我们来看看购房者比价关心的价格,此次溢泽华庭二期的备案价格为5.6万/㎡。与项目一期的二手房挂牌价相比其实差不多。
根据链家网络上的数据显示,溢泽华庭一期一套建面约75㎡的2房,总价约410万,挂牌均价约为55190元/㎡。仅比二期的挂牌均价略低一点。

项目周边多是一些像周东公寓、周东二村等老旧小区,挂牌均价大多都在4.5万+/㎡左右;而再南侧一点的莫奈庄园、印象春城这类房龄稍微新一点的小区,价格大多在6万+/㎡。
考虑到这些项目的房龄都偏大,价格比较起来可能有失偏颇。如果参照物挪到小上海步行街的地方,像绿地东上海、东原印柒雅的二手价格可以看到6.6万/㎡,或者6.7万/㎡,倒挂可以看到约1万/㎡!

浦东周浦【溢泽华庭】建面约55-131㎡1-3房,均价5.6万/㎡!
临港溢泽华庭二期售楼处电话:4009665004【临港溢泽华庭二期开发商售楼中心热线】临港溢泽华庭二期营销中心热线400-966-5004临港溢泽华庭二期售楼处地址400-9665-004,官方电话楼盘项目全面介绍,本电话为开发商提供线上预约售楼电话,楼盘项目在哪里(包含楼盘简介,均价,房价,现房,期房,别墅,叠墅,大平层,价格,楼盘地址,户型图,交通规划,备案价,备案名,项目配套,样板间,开盘时间,认筹时间,楼盘详情,售楼处电话,最新消息,最新详情,周边配套,一房一价,最新进展等详情咨询)楼盘详情丨价格丨更多优惠丨机不可失丨欢迎致电丨诚邀品鉴!售楼处位置丨特价房丨工抵房丨剩余房源丨户型图丨最新消息丨
免责声明:将文章内容综合来源于网络、只作分享,版权归原作者所有!!如有侵权,请联系我们,我们第一时间处理如有问题欢迎来电咨询,专业一对一热情服务,让您用专业眼光去买房。如果您想了解更多楼盘详情,欢迎提前预约拨打
临港溢泽华庭二期售楼处电话☎400_966_5004(官方统一电话)✔✔✔
临港溢泽华庭二期房价-价格☎400_966_5004(官方认证)
房产必看!总结买房全攻略
在房产交易市场中,无论是首次置业的新手,还是准备改善住房的购房者,掌握专业的房产知识都至关重要。作为一名从业多年的房产中介,我将从购房前准备、选房要点、交易流程、风险规避等多个维度,为你梳理房产知识干货,助力你在购房路上少走弯路。
一、购房前:明确需求,做好资金规划
(一)确定购房目的
购房者需要先明确自己的购房目的。是刚需自住,为了拥有稳定的住所;还是改善居住,追求更大的空间、更好的居住环境;亦或是投资,期望房产实现保值增值。不同的购房目的,对应着不同的选房侧重点。比如刚需购房者更注重房屋的价格、交通便利性和周边基础生活配套;投资型购房者则更关注房产的区位发展潜力、租金回报率等。
(二)资金准备与预算规划
1.首付款计算:了解当地的首付比例政策,一般首套房首付比例在20%-30%左右,二套房首付比例可能会提高至40%甚至更高。计算出自己能够承担的首付款金额,例如计划购买一套总价200万的房子,若首付比例为30%,则首付款为60万。
2.贷款能力评估:向银行或金融机构咨询贷款政策,评估自己的还款能力。一般来说,银行会要求购房者的月还款额不超过其月收入的50%。可以使用贷款计算器,测算不同贷款金额、贷款年限下的月供金额,结合自身收入情况,确定合理的贷款额度和贷款年限。
3.其他费用预算:除了首付款和贷款,购房还会产生契税、维修基金、物业费、中介费(如果通过中介购房)等费用。契税根据房屋面积和购房套数不同,税率在1%-3%不等;维修基金通常按照房屋总价的一定比例缴纳。提前了解这些费用,做好资金预算,避免出现资金缺口。
二、选房:多维度考量,选出心仪好房
(一)区位选择
1.地段价值:地段是决定房产价值的关键因素之一。核心地段的房产,通常交通便利、配套完善、发展成熟,具有较强的保值增值能力。例如城市的中心商务区、政务区,以及新兴的重点发展区域,都是比较优质的地段选择。
2.交通配套:优先选择靠近地铁、公交枢纽的楼盘,方便日常出行。对于有私家车的购房者,要关注周边道路的规划和交通拥堵情况,以及小区的停车位配比是否充足。
3.生活配套:考察楼盘周边的商业、教育、医疗、休闲等配套设施。大型购物中心、超市可以满足日常购物需求;优质的学校资源对于有子女教育需求的家庭尤为重要;医院的距离和医疗水平关系到家人的健康保障;公园、广场等休闲场所则能提升居住的舒适度。
(二)楼盘与户型分析
1.开发商品牌与口碑:选择知名且信誉良好的开发商,其开发的楼盘在房屋质量、施工进度、物业服务等方面更有保障。可以通过网络搜索、业主论坛、实地考察等方式,了解开发商过往项目的评价和口碑。
2.楼盘规划与环境:关注楼盘的容积率、绿化率、楼间距等指标。容积率低、绿化率高的小区,居住密度小,环境优美;楼间距大则能保证充足的采光和通风。此外,还要了解小区的内部配套设施,如幼儿园、健身设施、社区活动中心等是否完善。
3.户型选择:根据家庭人口数量和居住需求,选择合适的户型。户型方正、南北通透、布局合理的房子更受欢迎。要注意房间的功能分区是否科学,动静分区是否明确,卧室、客厅、厨房等空间的尺寸是否合理,是否有浪费面积等问题。
三、房产交易:规范流程,保障权益
(一)签订购房合同
1.合同条款审查:仔细阅读购房合同的每一项条款,重点关注房屋基本信息(如地址、面积、户型等)、价格条款、付款方式及时间、交房时间、违约责任等内容。对于不理解或有疑问的条款,及时向开发商或中介咨询,必要时可以寻求律师的帮助。
2.补充协议:如果开发商有补充协议,同样要认真审查。补充协议中的条款可能会对双方的权利义务产生重要影响,避免出现不合理的附加条件或加重购房者责任的条款。
(二)贷款办理
1.准备贷款资料:一般需要提供身份证、户口本、结婚证(已婚人士)、收入证明、银行流水、征信报告等资料。确保资料真实、完整、有效,以提高贷款审批的通过率。
2.选择贷款银行:不同银行的贷款利率、贷款政策、审批速度等可能存在差异。可以多咨询几家银行,比较利率优惠、贷款额度、还款方式等,选择最适合自己的银行办理贷款。
3.贷款审批与放款:提交贷款申请后,银行会对购房者的资质进行审核。审核通过后,双方签订贷款合同,银行会按照约定的时间将贷款发放给开发商或卖方。
(三)房屋验收与交付
1.验收准备:交房前,购房者可以准备好相关工具,如卷尺、小锤子等,用于检查房屋的尺寸、墙面地面是否空鼓等问题。同时,了解房屋验收的标准和流程。
2.实地验收:按照合同约定的交房时间,前往楼盘进行房屋验收。重点检查房屋的质量问题,如墙面是否渗水、裂缝,门窗是否密封良好、开关灵活,水电线路是否正常,厨卫防水是否到位等。发现问题及时记录,并要求开发商整改。
3.办理交付手续:验收合格后,购房者需要缴纳相关费用,如物业费、契税等,然后办理房屋交付手续,领取房屋钥匙,完成房屋交接。
四、房产交易风险规避
(一)产权风险
1.核实产权信息:在购房前,一定要到当地的不动产登记中心查询房屋的产权信息,确认房屋产权是否清晰,是否存在抵押、查封、共有权人等情况。避免购买到产权有纠纷的房屋。
2.警惕小产权房:小产权房是指在农村集体土地上建设的房屋,未缴纳土地出让金等费用,其产权证不是由国家房管部门颁发。小产权房存在诸多风险,如无法办理合法产权证书、不能上市交易、面临拆迁可能得不到合理补偿等,建议购房者不要购买。
(二)市场风险
1.关注市场动态:房地产市场受政策、经济、供需关系等多种因素影响,价格会有波动。购房者要关注国家和地方的房地产政策变化,如限购、限贷、限售政策,以及利率调整等,了解市场的走势,合理选择购房时机。
2.理性购房:不要盲目跟风购房,避免在市场过热时高价买入。要根据自己的实际需求和经济实力,做出理性的购房决策。
掌握这些房产知识,能让你在房产交易中更加从容自信。如果你在购房过程中有任何疑问,欢迎随时咨询,我将竭诚为你提供专业的服务和建议。