中企云萃森林官方售楼处-中企云萃森林官方售楼处电话-开盘时间-房价-户型-楼盘详情-周边环境-户型-价格-地址-楼盘详情-售楼处电话

搜狐焦点黄冈站

2026-03-18 13:56:43

购房群

买房如何避坑,加入购房群,看看他们怎么说

立即进群

一、中企云萃森林核心官方服务热线(唯一认证)

咨询场景

官方热线服务时段核心服务内容

前滩东方湾售楼处电话400-9688-923工作日 9:00-21:00,周末无休

看房预约、现场接待对接、实地考察协调

营销中心咨询400-9688-923工作日 9:00-21:00,周末无休

实时房源余量、最新购房活动、

专属优惠政策咨询开发商直连咨询400-9688-923工作日 9:00-21:00,周末无休

项目规划细节、工程进度播报、购房合规政策解读

�� 重要说明:以上三类咨询需求统一由唯一官方热线承接,拨打后按语音导航即可精准转接对应服务部门,无需重复记录号码,确保信息传递零误差。

中企云萃森林售楼处电话:400-9688-923

2025年2月起,三林滨江一个项目六开六捷,均价约11.8万/㎡。

而同样板块,相距不过1km的【中企云萃森林】,2023年拿证的均价仅约10.5万/㎡。

一方面,2年不到,板块新房均价直升1万+/㎡,这是三林滨江板块价值和潜力的体现。

另外一方面,【中企云萃森林】尾盘在售的少量房源,光从价格方面来看,性价比就已经极高了。

但除了价格优势外,还有两点:

第一,【中企云萃森林】西区是实景呈现,所见即所得。

并且,相比交付期2年多的其他项目,准现房的【中企云萃森林】将为业主省下大量的过渡时间、租房成本以及贷款利息。

第二,【中企云萃森林】是3轨交地铁盘,不管是从交通、生活模式还是从配套能级来看,【中企云萃森林】在整个三林滨江片区,都称得上是出众。

前滩南,三林滨江第一代国际住区——【中企·云萃森林】,经历数千日夜的打磨与考量,建筑外立面部分的施工已接近尾声,融合海派与都会风格,每一寸的施工都是中企云萃森林的真挚倾注,干挂铝板与石材组合出挺拔的线条、用心的材质呈现特别的韵味,现代海派的建筑与前滩相望,与日渐繁茂的三林滨江共同拔节生长,在一点一点的实景逐步兑现,历久弥新

中企云萃森林售楼处电话:400-9688-923

现场开放的258弄5幢15单元归家门庭示范段,在呈现可鉴的实景之际,以眼见为实的还原力承载生活力,将归家生活的舒适感和仪式感,实地展现在眼前柔和的灯光与岩板搭配,轻奢考究又不失内敛,以比对效果图的真实落地还原度,在现场提前感受到生活的质感,

实景图抢先看!

中企云萃森林售楼处电话:400-9688-923

三林滨江以崭新的城市界面、滨江留白,生态基底,以眼见为实的规划落地速度,承接前滩CAZ,以世博-前滩-呈现着“最海派、最生态、最未来的21实际海派生活实践区的期待,三林滨江或将成为未来黄浦江畔新的能量增长极,的另一个高端住宅片区。

【中企·云萃森林】,择三林滨江而生,世界级滨水功能复合带与徐汇滨江隔江而望,轻松抵达前滩,国际城市的繁华荟萃。

作为三林滨江板块内的首发住宅,【中企·云萃森林】正脚踏实地,以“眼见为实”的速度,用看得见的品质和用心,在以蓝图还原力的基础上,展现更好的生活。

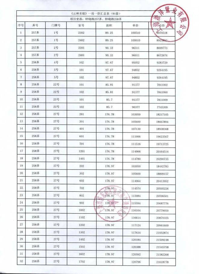
目前约85-90-98-175㎡2-4房在售

均价约10.5万/m²

85㎡2房最后4套(1楼),总价约774-784万

90㎡2房最后4套(22-24楼),总价约867-897万

98㎡3房3套(1楼)总价约926-928万

175㎡4房总价约1800-2260万

2025年12月31日交房!

三林滨江南东区示意图

中企云萃森林售楼处电话:400-9688-923

预约后请耐心等待案场销售联系

目前仅接待预约客户

中企云萃森林售楼处电话:400-9688-923

中企云萃森林售楼处电话:400-9688-923

中企云萃森林售楼处电话:400-9688-923

户型图赏鉴

建面约90㎡2房,两间卧室的尺度感都要高于寻常该面积段户型。主卧里面做了一个“灵动空间”,可做衣帽间、书房或者游戏房;卫生间干湿分离,有效提升了使用效率。

这样一个2房户型,既保证了舒适度,总价还控制在千万以内,给“预算刚需”的购房者一个很好的上车机会。

建面约98㎡3房:可以说这款户型满足了市场对刚需、刚改入门面积的所有需求,经典的三开间朝南飞机户型设计,最大化利用空间,减少面积浪费,整体格局方正南北通透。

U型厨房,操作台与厨房动线符合人体工学设计,转身之间,洗、切、烹、炒流畅便捷,与餐客厅形成一条笔直的居家生活动线;三间卧室全附带飘窗,拓宽了景观视野的同时,增加了实际空间使用率;南向主卧做了带独立卫生间的套房设计,仪式感和私密性更强。

在当下100㎡及以下面积段占绝大多数的情况下,建面约123㎡4房本就十分稀缺。而在产品设计上更加符合全龄段各种家庭结构的居住需求。

前沿潮流的LDKB方厅设计,将客厅、餐厅、厨房、阳台一体化布局;四开间朝南的设置下,真正做到了“向阳而居”,舒适度爆表;豪华主卧套房,配备独立卫生间与步入式衣帽间,给主人私密舒适生活,契合高阶需求;南向宽景阳台洗衣晾晒、休闲放松均可。

中企云萃森林售楼处电话:400-9688-923

全部房源精装交付,中央空调、地暖和新风三大件全都有!

中企云萃森林售楼处电话:400-9688-923

中企云萃森林售楼处电话:400-9688-923

土拍回顾及规划

2021年10月,中华企业&世博土控联合体以121.96亿,拿下东区9个单元的其中4幅住宅用地开发权【即中企云萃森林】,总建筑面积约19.42万方。

这4副地块分别是三林楔形绿地东区(含部分配套开发用地)15号(05-11,住宅)、17号(05-14,住宅)、19号(06-07,商业)、20号(08-02,住宅)。

根据设计方案显示,两幅住宅地块(15号、17号)共计建造16栋8-25层住宅楼以及相关的配套实施。规划住宅1179户。

中企云萃森林售楼处电话:400-9688-923

传承海派经典美学,传承经典,融合海派与都会风格,重构建筑美学,简单、秩序、几何之美,经典三段式建筑立面,线条精致。

项目外立面:石材基座+仿石铝板+局部仿石涂料。

中企云萃森林售楼处电话:400-9688-923

采用超低能耗建筑技术体系,在节能、舒适等方面,都采用了较高标准,将带来更经济、更静谧、更舒适、更健康的人居体验。

中企云萃森林售楼处电话:400-9688-923

景观方面开发商更是为业主精心打造了四轴九园私属空间

1条开放式生态公共轴、1条社区礼遇生活轴、2条林荫生活轴。这四条主轴完美呼应了三林滨江外部优秀的生态环境,让业主有更好的居家体验。

中企云萃森林售楼处电话:400-9688-923

另外,九大园林的配置,让社区的每一处都布满美景。如果说大多数的楼盘是在小区内做景观,那「中企·云萃森林」更像是在森兰中做艺术品。

生活配套

交通方面:三轨环绕 滨江稀缺TOD

在上海,资源也有等级划分的。真正处于价值巅峰的核心资源,TOD无疑是重中之重!

值得一提的是,「中企云萃森林」还是一个三轨交地铁上盖的超级TOD枢纽!

项目周边除了已经通车的8号线之外,还有19号线(在建中)和26号线(规划中)。

效果图,仅供示意

中企云萃森林售楼处电话:400-9688-923

地铁8号线:于三林滨江设有凌兆新村站,未来,业主可通过小区东侧的商业综合体直通地铁站。

地铁19号线:近期公布了招标计划,总投资约934亿,未来也将途径「中企云萃森林」所在的凌兆新村站,预计明年启动建设。

19号线规划线路图,仅供示意

中企云萃森林售楼处电话:400-9688-923

当然,对于三林滨江来说,三轨交仅仅只是一个开始,因为这里还坐拥“南北高架+金色中环”这强大的交通基座。

在此之前,同样背靠“南北高架+金色中环”一飞冲天的板块有两个。

一个是静安大宁,如今二手成交高达16万/㎡;

另一个是浦东前滩,如今二手成交高达18万/㎡。

中企云萃森林售楼处电话:400-9688-923

三条地铁线路,未来出门即轨交,1站前滩、4站徐汇滨江,新天地、陆家嘴、张江等区域也都在业主的生活圈内,再加上一横一纵的中环+南北高架。

真正实现转身即世界。

商业方面:「中企云萃森林」本身就是一个集商业、时尚休闲、文娱生活、生态人居为一体的大型TOD综合体,下楼即享繁华配套。

再加上三林滨江整体商业用地规模超29万平方米,商业总体量远超过晶耀前滩和前滩太古里。

据了解,华润旗下的万象汇已签约将入驻项目东侧TOD商业地块,为整个项目注入更多的活力与品牌效应。

宁波华润万象汇实景图

中企云萃森林售楼处电话:400-9688-923

除此之外,项目北侧就是前滩。

尤其对于地铁上盖的「中企云萃森林」业主来说:太古里、晶耀前滩、太古汇(在建中),信德文化中心(在建中)香格里拉、四方城(在建中)、莱佛士国际医院等,都在业主的生活圈内。

前滩太古里实景图

中企云萃森林售楼处电话:400-9688-923

另外,魔都最新的重磅网红打卡地,总面积超21.5万㎡的前滩31全新商业文化综合体也已经开业。

前滩31实景图

中企云萃森林售楼处电话:400-9688-923

教育资源:在三林滨江,规划中有6块教育用地!更重要的是,这些教育用地基本上距离中企云萃森林都不远(* 新房不承诺学区,最终以教育部门公布为准)

离学校近有什么好处?

对于孩子而言,每天上学完全不用着急;对于父母而言也省去了奔波接送的时间和精力。

当然,就算对学校没有需求的家庭,买一套近学校的新盘也是一个不错的选择!

示意图,数据来源:上海规划资源

中企云萃森林售楼处电话:400-9688-923

生态资源:三林滨江总面积约446.2公顷,其中生态绿地约240公顷,绿化覆盖率达到65%!

作为上海市中心城8片楔形绿地之一,三林滨江绿地融合了公园城市、森林城市、湿地城市空间生态基础,规划为功能丰富的各类公园。

种种指标都在说明,这里的自然生态环境非常优秀,放眼上海主城区也是独一无二的存在,非常适合有高标准要求的改善型客户。

中企云萃森林售楼处电话:400-9688-923

“新七条”政策体现了上海综合施策、因城施策、发挥好存量和增量政策集成效应的导向,将进一步促进住房消费需求积极释放和供求关系平衡

《法治周末》记者 管依萌

2月25日,上海市住房和城乡建设管理委员会、上海市房屋管理局、上海市财政局、上海市税务局、上海市公积金管理中心五部门发布《关于进一步优化调整本市房地产政策的通知》(以下简称“新七条”),自2026年2月26日起施行。

新政涉及限购政策调减、公积金政策优化和房产税政策完善等7项内容,旨在更好地满足居民刚性和改善性住房需求,促进房地产市场平稳健康发展。

上海易居房地产研究院副院长严跃进认为,“新七条”政策体现了上海综合施策、因城施策、发挥好存量和增量政策集成效应的导向,将进一步促进住房消费需求积极释放和供求关系平衡。

调减住房限购政策

服务宜居安居,促进职住平衡,聚焦满足居民合理住房需求,“新七条”明确进一步调减住房限购政策。

一是缩短非沪籍居民购买外环内住房所需缴纳社保或个税年限。对非本市户籍居民家庭或成年单身人士购买外环内住房的,购房所需缴纳社会保险或个人所得税的年限,调整为购房之日前连续缴纳满1年及以上。

二是符合条件非沪籍居民可在外环内增购1套住房。对在本市缴纳社会保险或个人所得税满3年及以上的非本市户籍居民家庭或成年单身人士,在执行现有住房限购政策基础上,可在外环内增购1套住房。

三是符合条件的持《上海市居住证》群体可在本市购买住房。对持《上海市居住证》满5年及以上的非沪籍居民家庭或成年单身人士,在本市限购1套住房,无需提供缴纳社保或个税证明。

依照“新七条”,非沪籍居民家庭或成年单身人士,自购房之日前在本市连续缴纳社会保险或个人所得税满1年及以上的,在外环外购买住房不限套数,在外环内限购1套住房;连续缴纳社会保险或个人所得税满3年及以上的,在外环内限购2套住房。持《上海市居住证》满5年及以上的,在全市范围内限购1套住房。

严跃进表示,政策调整前,对于从事城市基础服务或企业总部设在外地的人员,其或因未在上海缴纳社保而无购房资格。“新七条”立足支持此类在沪稳定居住群体购房需求导向,允许持有满5年的居住证即有购房资格。换句话说,过去限购政策主要看社保缴纳年限,但新政下也可以和居住证年限挂钩。

《法治日报》律师专家库成员、北京海润天睿律师事务所合伙人戚兆波告诉《法治周末》记者,从限购主体上看,“新七条”扩大了适合购房主体范围,特别是将长期居住但无当地社保记录的人群纳入,具有行政许可放松的性质,有利于减少实践中“借名买房”等规避强制性规定导致购房合同无效情形的发生。

上海并非首个调减限购政策的一线城市。2025年12月24日,北京市住房和城乡建设委员会、北京市发展和改革委员会、人民银行北京市分行、北京住房公积金管理中心四部门联合印发的《关于进一步优化调整本市房地产相关政策的通知》(以下简称《通知》)提出,放宽非京籍家庭购房条件。将非京籍家庭购买五环内商品住房的社保或个税缴纳年限,由现行的“3年”调减为“2年”;购买五环外商品住房的,由现行的“2年”调减为“1年”。

降低房产交易成本

为发挥公积金支持住房消费作用,满足缴存人在不同阶段的宜居安居需求,“新七条”规定优化住房公积金政策。

一是适度提高住房公积金最高贷款额度。将缴存人家庭购买首套住房的公积金贷款最高额度从160万元提高至240万元,叠加多子女家庭和购买绿色建筑最高贷款额度上浮政策(最高上浮35%),上海市公积金家庭贷款最高额度可达到324万元。对购买第二套住房的最高贷款额度也相应予以提高。

二是优化贷款套数认定。对于已使用过公积金贷款的本市缴存人家庭,在上海市无住房或仅有1套住房、且当前已结清住房公积金贷款的,在上海市再次购房时可申请公积金贷款。

三是扩大多子女家庭购房支持范围。公积金贷款支持政策的适用范围从购买首套住房拓展至购买第二套住房。即对多子女家庭购买第二套住房的,最高贷款额度在上海市最高贷款额度基础上上浮20%。

从公积金金额上看,戚兆波指出,提高首套房最高贷款额度及“认房不认贷”,实质上是政策性金融支持的强化,此举大幅降低了购房者的资金成本与首付压力,从而有利于增强买房者的合同履行能力。

严跃进认为,此次上海公积金贷款的条件进一步放宽,落实“认房不认贷”。新政前,若公积金贷款次数满两次,后续购房将不予办理公积金贷款。新政后,只要无住房或仅有1套住房,且公积金已结清,则继续享有公积金贷款权利。这使得更多住房置换家庭可获公积金贷款支持,促进改善型住房需求的释放。

“新七条”完善个人住房房产税政策。支持居民置换改善需求,“新七条”规定自2026年1月1日起,对上海市户籍居民家庭中的子女成年后,购买住房属于成年子女家庭唯一住房的,暂免征收个人住房房产税。即对购房人于未成年时(或于上海个人住房房产税试点前)已与父母、(外)祖父母共同拥有住房的,在上海新购或置换住房后,该住房仍属于成年子女家庭唯一住房的(除上述共同拥有住房外),暂免征收个人住房房产税。

戚兆波说,从房产税收上看,新政明确了暂免征收个人住房房产税的适用主体,消除了沪籍家庭分户置业时的税负不确定性,从而降低了购房者的合规成本,且从合同履行的角度也会明显减少买卖双方在缴税环节发生争议的可能性。

近期,为降低房产交易成本,各地房地产调控呈现出明显的“因城施策”与“存量盘活”特征。

辽宁沈阳提高了“商转公”贷款比例,四川绵阳、广东韶关等多地发放购房消费券,贵州贵阳开展商品住房“以旧换新”活动……戚兆波指出,这表明各地都在利用金融、财税工具降低房产交易成本,刺激消费者的购房需求。

支持多子女家庭购房

“新七条”同时提出了扩大多子女家庭购房支持范围。

对此,严跃进表示,此次多子女家庭公积金贷款政策的变化在于,此前已规定首套房贷款额度上浮20%,新政后“额度上浮20%”的政策扩大至二套房。其充分体现对多子女家庭住房改善的支持。

随着三孩生育政策的放开,全国各地纷纷出台一系列多子女家庭购房优惠政策。

3月2日,四川省南充市发布的《南充市稳定新出生人口规模六条措施》提出,生育二孩、三孩的家庭分别奖励购房补贴5万元、10万元。生育二孩、三孩的家庭分别提高住房公积金最高贷款额度10万元、20万元,并按年利率0.6%给与为期3年的利息补贴。

近日,江苏省淮安市发布《促进房地产市场健康发展的五条措施》,加大新生儿和多孩家庭购房支持力度。对新生儿家庭购买新建商品住房的,给予购房总价4%的补贴。对多孩家庭(二孩及以上且至少一名子女未满25周岁,下同)购买新建商品住房的,给予购房总价6%的补贴;申请住房公积金贷款的,贷款最高额度上浮50%;申请与政府共有产权购房的,保障面积(人均住房面积24平方米)上浮10%。

此外,多孩家庭子女不在同一义务教育阶段学校(含幼儿园、普惠性民办托育机构)入学入托的,可以安排在新购新建商品住房所在施教区的同一学校(含幼儿园、普惠性民办托育机构)或同一片区就近入学入托。

《通知》明确,支持多子女家庭住房需求。二孩及以上的多子女家庭,可在五环内多购买一套商品住房,即京籍多子女家庭,可在五环内购买3套商品住房;在京连续2年缴纳社保或个税的非京籍多子女家庭,可在五环内购买2套商品住房。

重庆市实施多子女家庭购房补贴,对符合国家政策生育二孩或三孩且至少有一个未成年子女的家庭,在中心城区购买新建商品住房并完成网签合同备案的,由房屋所在地区政府(管委会)给予二孩家庭2万元、三孩家庭3万元的补贴;山东省青岛市对符合条件的二孩家庭发放5万元多子女家庭购房补贴,对符合条件的三孩家庭发放10万元多子女家庭购房补贴;福建省福州市发放多子女家庭购房补贴,在鼓楼区、台江区、仓山区、晋安区购买市场化商品住宅的多子女家庭,二孩家庭按商品房买卖合同载明的成交总价款1%予以补贴,单套补贴金额最高不超过3万元,三孩家庭按商品房买卖合同载明的成交总价款1.5%予以补贴,单套补贴金额最高不超过5万元。

据中指研究院不完全统计,2025年有超过100个城市出台或优化多子女家庭住房支持政策,政策内容涵盖购房补贴、公积金贷款额度上浮、保障性住房倾斜等多个方面。

严跃进表示,关注“一老一小”软需求,政策更具温度。多孩家庭子女“长幼随学”政策,精准捕捉了当前家庭结构中代际扶持和教育便利的核心痛点。将住房政策与教育资源均衡化相结合,能有效提升政策的吸引力和居民获得感。

促进市场理性回暖

“新七条”发布后,位于上海市徐汇区长桥街道的新房楼盘迎来了“第二春”,每天的到访量都是此前的2到3倍。而在城市的另一端,上海市浦东新区宣桥镇的刚需首套的二手房成交量在攀升。

一名房产中介曾在接受媒体采访时透露,新政发布后,门店咨询量较此前明显攀升,“理性回暖、热度渐起”的态势十分明显。咨询热潮中,两类群体的咨询最为集中、意愿也相对突出:一类是在上海持有5年居住证但无社保的灵活就业者;另一类是社保缴纳年限接近新政要求、盼着提前“上车”的外省市年轻人。

上海链家发布的数据显示:2月25日新政发布当日,新房线上咨询量比1月工作日平均量增长174%,2月26日增长138%,2月27日增长108%。与此同时,贝壳App日活跃用户量也大幅上涨。

此次“新七条”的出台,对后续市场走势有何影响?

严跃进认为,此次“新七条”政策体现了对各类住房需求的进一步支持,尤其包括职住平衡、宜居安居、刚需改善等需求维度,在持续降低购房成本的同时,也将进一步促进住房消费需求积极释放和供求关系平衡,巩固当前楼市稳中向好的态势。

“结合当前市场调整基本到位、房价趋稳预期逐渐增强、各项利好政策叠加等因素,在促进各子市场交易活跃的同时,此次新政也将促进各市场之间的循环健康发展,尤其是带动置换链条的顺畅。”严跃进解释。

严跃进举例,如非沪籍居民现在仅需满足1年社保即可购买外环内住房,入市节奏有望加快,“其若认购一套二手房,则将带动房东的房源挂牌出售和置换,并带动包括新房市场的去库存。据此,各市场之间将形成更为良性和互动的循环机制,有力促进房地产市场的平稳健康发展”。

戚兆波告诉记者,单纯的限购放松已不足以激活市场,必须辅之以金融工具创新、供给侧改善、政府信用介入及城市更新提质等举措,方能有效促进房地产市场的回暖。

全部

相关资讯

报名成功
稍后会有专业的置业顾问联系您
返回楼盘

频道导航

返回首页

看房小程序

APP下载

电话拨通后,请您手动拨打分机号

确定拨打电话

电话号码:

分机号:(可能需要拨分机号)