招商臻境售楼处电话:400-9939-964招商臻境售楼处电话:400-9939-964招商臻境售楼处电话:400-9939-964招商臻境售楼处电话:400-9939-964招商臻境售楼处电话:400-9939-964
上海浦东招商瑧境售楼处电话:400-9939-964
招商瑧境售楼处电话:400-9939-964招商瑧境官方电话:400-9939-964招商瑧境售楼处电话:400-9939-964
上海浦东招商臻境售楼处电话☎:400-9939-964✔✔

招商臻境售楼处电话☎:400-9939-964✔✔招商臻境售楼处电话☎:400-9939-964✔✔
上海浦东招商臻境售楼处电话☎:400-9939-964✔✔
拨冗城市风云,共叙时间的光语,20载情缘流长,悠然回味,百年招商与上海的故事,臻意再开篇。
当百年招商再一次邂逅上海,在这片充满无限想象力的土地上,将如何谱写更多传奇故事?
百年招商,每一次有影响力的大事件都是上海关注的焦点。招商臻境,作为百年招商臻系首发上海的全新里程碑巨著,以一场澎湃湾岸的案名发布仪式,惊艳全城目光。

招商臻境售楼处电话☎:400-9939-964✔✔招商臻境售楼处电话☎:400-9939-964✔✔
上海浦东招商臻境售楼处电话☎:400-9939-964✔✔
2023年12月24日晚,耀眼霓虹炫动北外滩,【招商臻境】案名震撼发布,点亮白玉兰广场。生活的臻意灿燃天际,也将百年招商「臻」系作品的璀璨光影,映射全上海。
实景图
伴随两岸绚丽霓虹以及奔腾的江流,黄浦江上一艘满载着招商蛇口对上海人居美好梦想的游艇,从北外滩到外滩九号,破风斩浪、自由驰骋,驶向更有想象力的未来。
招商臻境——百年招商上海首座臻系作品,将以“臻”之名,开启浦东三林的人居梦想。
招商臻境售楼处电话☎:400-9939-964✔✔招商臻境售楼处电话☎:400-9939-964✔✔
上海浦东招商臻境售楼处电话☎:400-9939-964✔✔
招商三林项目:招商臻境
项目将推售建面约89-103-135m²3-4房(高层)
建面约143-148m²叠墅
均价是68091/m²
500万起的价格,入住城市核心内,享受高级会所、精装双大堂、精装地库、精美园林、大品牌豪装!
项目于5月11日开盘,当日劲销16亿,去化率7成
虽然没有日光,但以现在的市场,7成的去化率已属热品,6.8万的单价,三林的地段,买不了吃亏,买不了上当!
另外,本次推售的房源中,500万级3房竟有154套之多,刚需入住三林的绝佳时机,不容错过!
招商臻境售楼处电话☎:400-9939-964✔✔招商臻境售楼处电话☎:400-9939-964✔✔
上海浦东招商臻境售楼处电话☎:400-9939-964✔✔
招商臻境售楼处电话☎:400-9939-964✔✔招商臻境售楼处电话☎:400-9939-964✔✔
上海浦东招商臻境售楼处电话☎:400-9939-964✔✔
首先我们来看看项目在价格上是否有优势
项目位于浦东三林板块,属于环外区域,靠近康桥板块。周边二手房价位以下面几个项目作为参考
中骏柏景湾,竣工于2017年,人车分流带会所,露天泳池,外立面以真石漆为主,目前二手价格在7-7.5万左右,近期有成交!
阳光城丽景湾PLUS,竣工于2016年,半人车分流,无会所,外立面以真石漆为主,约88㎡2房价格在6.5-6.9万左右,近期有成交;3房挂牌价格在7.8-8.5万左右,近期无成交!
世茂云图,竣工于2015年,小区人车分流无会所,外立面以真石漆为主,3房户型还不错,目前二手价格在7.5万上下!
保利首创颂,竣工于2020年,人车分流带会所,园林式小区,干挂石材外立面,目前挂牌价格在8-9万上下,有成交,但量很小!
浦发仁恒珊瑚世纪,竣工于2022年,今年刚交付,小区人车分流无会所,但配置有架空层会客厅以及健身场所等,铝板外立面,目前挂牌价格在9万左右,暂无成交!
招商臻境售楼处电话☎:400-9939-964✔✔招商臻境售楼处电话☎:400-9939-964✔✔
上海浦东招商臻境售楼处电话☎:400-9939-964✔✔
户型图赏鉴
高层户型图赏鉴
招商瑧境售楼处电话:400-9939-964
上海浦东招商臻境售楼处电话☎:400-9939-964✔✔
由于公寓所属精英社区,室内维多利亚式的老式风格和现代风格相结合,形成了温馨怡人的居住环境。
上海浦东招商瑧境售楼处电话:400-9939-964「招商臻境」三期
浦东三林板块全新盘
加推建面约103-135㎡高层
及建面约145-148㎡叠拼
均价67845元/㎡ 共218套房源
正在认购中 前期少量房源在售
豪华泳池会所 追光式奢石地库
外立面LOW-E玻璃、质感金属线条
高品质精装交付 付款周期友好
售楼处线上火热预约
招商瑧境售楼处电话:400-9939-964招商瑧境官方电话:400-9939-964
上海浦东招商瑧境售楼处电话:400-9939-964
招商瑧境售楼处电话:400-9939-964招商瑧境官方电话:400-9939-964
上海浦东招商瑧境售楼处电话:400-9939-964【招商臻境】,定鼎三林之上,以“静奢lifeDeco”的前沿理念,打造2023年三林十年来重要作品,依靠外环/中环/南北高架等交通路网,串联前滩、陆家嘴、徐家汇等一级城市节点,出入之间,相逢高阶未来。
招商瑧境售楼处电话:400-9939-964招商瑧境官方电话:400-9939-964
上海浦东招商瑧境售楼处电话:400-9939-964
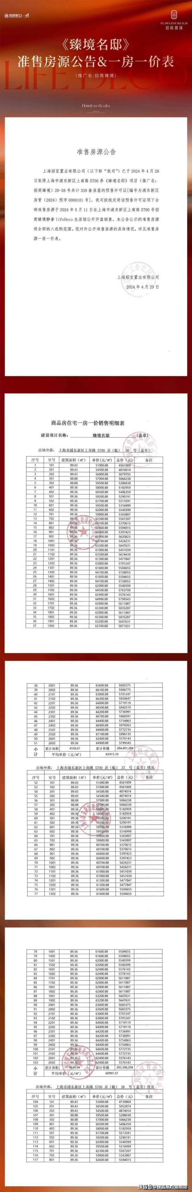
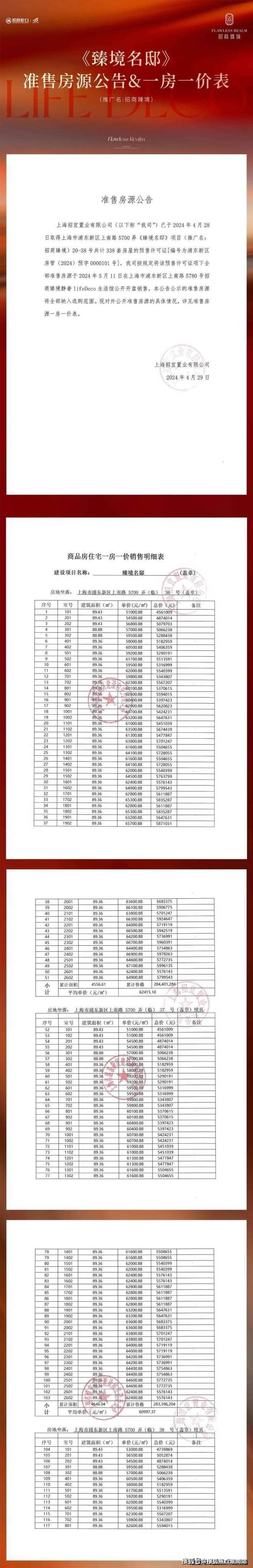
项目一房一价表
招商瑧境售楼处电话:400-9939-964招商瑧境官方电话:400-9939-964
上海浦东招商瑧境售楼处电话:400-9939-964
项目基本信息
开发商名称
上海市招宜置业有限公司
产权年限
70年住宅
拿地时间
2023年10月
总层高
高层:26层、
叠拼
:6层
在售套数
高层:254套、叠拼:84套
交房时间
预计2026年12月31日
绿化率
35%
车位配比
1:1.3
层高
高层:3米、
叠拼
3.1-3.3米
得房率
高层:70%-73%
叠拼
:75%-77%
梯户比
高层:2梯4户/3梯6户
叠拼
:1梯2户
物业公司
上海招商局物业管理有限公司
物业费
高层:5.9元/㎡/月
叠拼:7元/㎡/月
均价
6.8万
总价
456-1379万
在售建面
高层:89-135平
叠拼:145-148平
招商瑧境售楼处电话:400-9939-964招商瑧境官方电话:400-9939-964
上海浦东招商瑧境售楼处电话:400-9939-964
招商瑧境售楼处电话:400-9939-964招商瑧境官方电话:400-9939-964
上海浦东招商瑧境售楼处电话:400-9939-964【招商臻境】位于上南路与东明路交叉口西侧,共计由3幅住宅用地组成,用地面积约8.54万方,总建筑面积约30.91万方;
招商瑧境售楼处电话:400-9939-964招商瑧境官方电话:400-9939-964
上海浦东招商瑧境售楼处电话:400-9939-964【招商臻境】项目分为3个地块,住宅地块为5-6层叠拼、23-26层高层住宅混合小区。三个地块均没有地上车位,全人车分流,社区内部规划有室外健身点、儿童游戏场以及部分架空层,09-02地块社区内部规划多了景观庭院、下沉庭院等类目。
07-04地块:招商瑧境售楼处电话:400-9939-964招商瑧境官方电话:400-9939-964
上海浦东招商瑧境售楼处电话:400-9939-964容积率2.2,拟建1栋26F保障房、3栋23-26F高层住宅、5栋5-6F多层住宅以及若干社区配套用房;
09-02地块:容积率2.2,拟建1栋26F保障房、6栋26F高层住宅、7栋6F多层住宅以及若干社区配套用房;
08-03地块:容积率2.2,拟建3栋23-26F高层住宅、4栋5F多层住宅以及若干社区配套用房;
项目社区规划
招商瑧境售楼处电话:400-9939-964招商瑧境官方电话:400-9939-964
上海浦东招商瑧境售楼处电话:400-9939-964
【招商臻境】是百年招商上海首座臻系作品,将以“臻”之名,开启浦东三林的人居梦想。

项目以上海海派建筑的设计元素为基因,将经典海派的艺术精粹与摩登优雅的现代审美相融合,流动曲线勾勒优雅大气的建筑轮廓,将“静于已心,奢享世界”的静奢主义lifeDeco前沿生活理念融入其中,以建筑语言对国际化审美与趋势作出新的诠释。
招商瑧境售楼处电话:400-9939-964招商瑧境官方电话:400-9939-964
上海浦东招商瑧境售楼处电话:400-9939-964
整个小区都采用统一的设计语言,高层和叠拼产品全部采用弧形阳台形制,柔性的圆弧搭配简洁有力的直向线条,厚重中带着轻灵,低调中彰显优雅。
(效果图,仅供参考)
在楼栋主入口同样运用石材+弧形铝板等元素,同时还有格栅装饰,质感提升明显:
(效果图,仅供参考)
社区品质方面,【招商臻境】为业主打造了五进式归家礼序,七维六巷景观分布其中,开启静奢园林生活方式。
首开地块住宅楼宇下还设置了四大架空层,涵盖品茗阅读、运动健身、洽谈社交等多元业态,为业主提供全方位的生活体验,满足不同年龄层次的需求。
招商瑧境售楼处电话:400-9939-964招商瑧境官方电话:400-9939-964
上海浦东招商瑧境售楼处电话:400-9939-964地上、地下双层入户精装大堂,每一处细节都彰显着尊贵与品味。
地下精装大堂,开阔的挑高空间,配置自然采光井以及专属的等候区,让业主感受到如同酒店式首层大堂般的尊贵礼遇。
地上精装大堂的设计同样出彩,地面的石材拼花造型与墙面的石材背景相得益彰,将静奢海派的艺术风格展现得淋漓尽致,为业主带来无与伦比的视觉盛宴。
招商瑧境售楼处电话:400-9939-964招商瑧境官方电话:400-9939-964
上海浦东招商瑧境售楼处电话:400-9939-964【招商臻境】精心规划了七维生活剧场,包括:街角花园、摩登水院、下沉花园等七重生活场景,营造四季分明、美景如画的精致水岸归家之路。
在整体设计中巧妙汲取了海派建筑的精华元素,通过层层递进的游览线路和景观艺术的巧妙穿插,让整个空间充满活力和生活气息。
招商瑧境售楼处电话:400-9939-964招商瑧境官方电话:400-9939-964
上海浦东招商瑧境售楼处电话:400-9939-964街角花园,用丛生的乌桕、冬青等,构筑社区外的口袋花园,消弭了社区与外部的边界感。摩登水院,华灯映入水池,雍容华贵。
项目效果示意图,仅供参考
下沉花园,打造宽观景亭,亭外是苍苍乌桕,秋后丹红一片。
项目景观示意图,仅供参考
芳草花厅,由香樟、迷迭香、夜来香等构筑,缤纷色彩与清新芬芳相结合,为业主提供野餐、放风筝等场景活动;
项目景观示意图,仅供参考
招商瑧境售楼处电话:400-9939-964招商瑧境官方电话:400-9939-964
上海浦东招商瑧境售楼处电话:400-9939-964唱片花园,古典唱片机辅以银杏、香橼构筑的花境空间,这独属于老上海的海派浪漫。
行星花园则是优秀的亲子空间,植物自习室、星球探险树屋、自由拓展乐园……家长带着小朋友认识植物、观察虫鸟,在自然中建立良好的亲子互动氛围。
整个小区大量栽种花卉,如紫薇、丹枫、乌桕、香樟、樱花、桂花等,移步异景,四时风光,园内尽享。
招商瑧境售楼处电话:400-9939-964招商瑧境官方电话:400-9939-964
上海浦东招商瑧境售楼处电话:400-9939-964整座社区,从宜居度、仪式感、生活方式的多样性等多重角度来看,都称得上的完美。并且从会所、车库以及园林的建造标准来看,是真正比肩千万级豪宅的标准。
项目标配下沉式庭院会所和恒温泳池,满足业主们的会客、健身、娱乐需求,同时利用建筑内部的架空区域,以全龄社区为出发点,打造容纳多元生活的社区中心。
(效果图,仅供参考)
项目推售详情
招商瑧境售楼处电话:400-9939-964招商瑧境官方电话:400-9939-964
上海浦东招商瑧境售楼处电话:400-9939-964
【招商臻境】三期加推建面约103-148㎡高层&叠墅,共计218套房源,目前价格已经过会,均价67845元/㎡,即将取证认购,前期少量建面约89-148㎡房源在售,直接认购!
(首开地块分布图)
高层户型为建面约89-135㎡,设计方正且全明,为业主提供更加舒适的居住环境。
采用多飘窗设计,有效增加采光和通风效果,拥有更开阔的视野,能够欣赏到更多庭院美景。
此外,S型墙冰箱内嵌与玄关柜的一体化设计,不仅提升了空间的利用率,也增强了整体的美观性……
方案过程图,仅供参考,以官方最终发布为准
招商瑧境售楼处电话:400-9939-964招商瑧境官方电话:400-9939-964
上海浦东招商瑧境售楼处电话:400-9939-964
建面约89㎡ 3房2厅1卫▼
招商瑧境售楼处电话:400-9939-964招商瑧境官方电话:400-9939-964
上海浦东招商瑧境售楼处电话:400-9939-964
招商瑧境售楼处电话:400-9939-964招商瑧境官方电话:400-9939-964
上海浦东招商瑧境售楼处电话:400-9939-964
招商瑧境售楼处电话:400-9939-964招商瑧境官方电话:400-9939-964
上海浦东招商瑧境售楼处电话:400-9939-964
招商瑧境售楼处电话:400-9939-964招商瑧境官方电话:400-9939-964
上海浦东招商瑧境售楼处电话:400-9939-964
招商瑧境售楼处电话:400-9939-964
上海浦东招商瑧境售楼处电话:400-9939-964
招商瑧境售楼处电话:400-9939-964
上海浦东招商瑧境售楼处电话:400-9939-964
招商瑧境售楼处电话:400-9939-964招商瑧境官方电话:400-9939-964
上海浦东招商瑧境售楼处电话:400-9939-964「招商臻境」三期
浦东三林板块全新盘
加推建面约103-135㎡高层
及建面约145-148㎡叠拼
均价67845元/㎡ 共218套房源
正在认购中 前期少量房源在售
豪华泳池会所 追光式奢石地库
外立面LOW-E玻璃、质感金属线条
高品质精装交付 付款周期友好
售楼处线上火热预约
招商瑧境售楼处电话:400-9939-964招商瑧境官方电话:400-9939-964
上海浦东招商瑧境售楼处电话:400-9939-964
招商瑧境售楼处电话:400-9939-964招商瑧境官方电话:400-9939-964
上海浦东招商瑧境售楼处电话:400-9939-964【招商臻境】,定鼎三林之上,以“静奢lifeDeco”的前沿理念,打造2023年三林十年来重要作品,依靠外环/中环/南北高架等交通路网,串联前滩、陆家嘴、徐家汇等一级城市节点,出入之间,相逢高阶未来。
招商瑧境售楼处电话:400-9939-964招商瑧境官方电话:400-9939-964
上海浦东招商瑧境售楼处电话:400-9939-964
项目一房一价表
招商臻境售楼处电话:400-9939-964招商臻境售楼处电话:400-9939-964招商臻境售楼处电话:400-9939-964招商臻境售楼处电话:400-9939-964招商臻境售楼处电话:400-9939-964
招商臻境售楼处电话:400-9939-964招商臻境售楼处电话:400-9939-964招商臻境售楼处电话:400-9939-964招商臻境售楼处电话:400-9939-964招商臻境售楼处电话:400-9939-964
上海浦东招商瑧境售楼处电话:400-9939-964
招商瑧境售楼处电话:400-9939-964招商瑧境官方电话:400-9939-964
上海浦东招商瑧境售楼处电话:400-9939-964「招商臻境」三期
浦东三林板块全新盘
加推建面约103-135㎡高层
及建面约145-148㎡叠拼
均价67845元/㎡ 共218套房源
正在认购中 前期少量房源在售
豪华泳池会所 追光式奢石地库
外立面LOW-E玻璃、质感金属线条
高品质精装交付 付款周期友好
售楼处线上火热预约
招商瑧境售楼处电话:400-9939-964招商瑧境官方电话:400-9939-964
上海浦东招商瑧境售楼处电话:400-9939-964
招商瑧境售楼处电话:400-9939-964招商瑧境官方电话:400-9939-964
上海浦东招商瑧境售楼处电话:400-9939-964【招商臻境】,定鼎三林之上,以“静奢lifeDeco”的前沿理念,打造2023年三林十年来重要作品,依靠外环/中环/南北高架等交通路网,串联前滩、陆家嘴、徐家汇等一级城市节点,出入之间,相逢高阶未来。
招商瑧境售楼处电话:400-9939-964招商瑧境官方电话:400-9939-964
上海浦东招商瑧境售楼处电话:400-9939-964
项目一房一价表
招商瑧境售楼处电话:400-9939-964招商瑧境官方电话:400-9939-964
上海浦东招商瑧境售楼处电话:400-9939-964
项目基本信息
开发商名称
上海市招宜置业有限公司
产权年限
70年住宅
拿地时间
2023年10月
总层高
高层:26层、
叠拼
:6层
在售套数
高层:254套、叠拼:84套
交房时间
预计2026年12月31日
绿化率
35%
车位配比
1:1.3
层高
高层:3米、
叠拼
3.1-3.3米
得房率
高层:70%-73%
叠拼
:75%-77%
梯户比
高层:2梯4户/3梯6户
叠拼
:1梯2户
物业公司
上海招商局物业管理有限公司
物业费
高层:5.9元/㎡/月
叠拼:7元/㎡/月
均价
6.8万
总价
456-1379万
在售建面
高层:89-135平
叠拼:145-148平
招商瑧境售楼处电话:400-9939-964招商瑧境官方电话:400-9939-964
上海浦东招商瑧境售楼处电话:400-9939-964
招商瑧境售楼处电话:400-9939-964招商瑧境官方电话:400-9939-964
上海浦东招商瑧境售楼处电话:400-9939-964【招商臻境】位于上南路与东明路交叉口西侧,共计由3幅住宅用地组成,用地面积约8.54万方,总建筑面积约30.91万方;
招商瑧境售楼处电话:400-9939-964招商瑧境官方电话:400-9939-964
上海浦东招商瑧境售楼处电话:400-9939-964【招商臻境】项目分为3个地块,住宅地块为5-6层叠拼、23-26层高层住宅混合小区。三个地块均没有地上车位,全人车分流,社区内部规划有室外健身点、儿童游戏场以及部分架空层,09-02地块社区内部规划多了景观庭院、下沉庭院等类目。
07-04地块:招商瑧境售楼处电话:400-9939-964招商瑧境官方电话:400-9939-964
上海浦东招商瑧境售楼处电话:400-9939-964容积率2.2,拟建1栋26F保障房、3栋23-26F高层住宅、5栋5-6F多层住宅以及若干社区配套用房;
09-02地块:容积率2.2,拟建1栋26F保障房、6栋26F高层住宅、7栋6F多层住宅以及若干社区配套用房;
08-03地块:容积率2.2,拟建3栋23-26F高层住宅、4栋5F多层住宅以及若干社区配套用房;
项目社区规划
招商瑧境售楼处电话:400-9939-964招商瑧境官方电话:400-9939-964
上海浦东招商瑧境售楼处电话:400-9939-964
【招商臻境】是百年招商上海首座臻系作品,将以“臻”之名,开启浦东三林的人居梦想。

项目以上海海派建筑的设计元素为基因,将经典海派的艺术精粹与摩登优雅的现代审美相融合,流动曲线勾勒优雅大气的建筑轮廓,将“静于已心,奢享世界”的静奢主义lifeDeco前沿生活理念融入其中,以建筑语言对国际化审美与趋势作出新的诠释。
招商瑧境售楼处电话:400-9939-964招商瑧境官方电话:400-9939-964
上海浦东招商瑧境售楼处电话:400-9939-964
整个小区都采用统一的设计语言,高层和叠拼产品全部采用弧形阳台形制,柔性的圆弧搭配简洁有力的直向线条,厚重中带着轻灵,低调中彰显优雅。
(效果图,仅供参考)
在楼栋主入口同样运用石材+弧形铝板等元素,同时还有格栅装饰,质感提升明显:
(效果图,仅供参考)
社区品质方面,【招商臻境】为业主打造了五进式归家礼序,七维六巷景观分布其中,开启静奢园林生活方式。
首开地块住宅楼宇下还设置了四大架空层,涵盖品茗阅读、运动健身、洽谈社交等多元业态,为业主提供全方位的生活体验,满足不同年龄层次的需求。
招商瑧境售楼处电话:400-9939-964招商瑧境官方电话:400-9939-964
上海浦东招商瑧境售楼处电话:400-9939-964地上、地下双层入户精装大堂,每一处细节都彰显着尊贵与品味。
地下精装大堂,开阔的挑高空间,配置自然采光井以及专属的等候区,让业主感受到如同酒店式首层大堂般的尊贵礼遇。
地上精装大堂的设计同样出彩,地面的石材拼花造型与墙面的石材背景相得益彰,将静奢海派的艺术风格展现得淋漓尽致,为业主带来无与伦比的视觉盛宴。
招商瑧境售楼处电话:400-9939-964招商瑧境官方电话:400-9939-964
上海浦东招商瑧境售楼处电话:400-9939-964【招商臻境】精心规划了七维生活剧场,包括:街角花园、摩登水院、下沉花园等七重生活场景,营造四季分明、美景如画的精致水岸归家之路。
在整体设计中巧妙汲取了海派建筑的精华元素,通过层层递进的游览线路和景观艺术的巧妙穿插,让整个空间充满活力和生活气息。
招商瑧境售楼处电话:400-9939-964招商瑧境官方电话:400-9939-964
上海浦东招商瑧境售楼处电话:400-9939-964街角花园,用丛生的乌桕、冬青等,构筑社区外的口袋花园,消弭了社区与外部的边界感。摩登水院,华灯映入水池,雍容华贵。
项目效果示意图,仅供参考
下沉花园,打造宽观景亭,亭外是苍苍乌桕,秋后丹红一片。
项目景观示意图,仅供参考
芳草花厅,由香樟、迷迭香、夜来香等构筑,缤纷色彩与清新芬芳相结合,为业主提供野餐、放风筝等场景活动;
项目景观示意图,仅供参考
招商瑧境售楼处电话:400-9939-964招商瑧境官方电话:400-9939-964
上海浦东招商瑧境售楼处电话:400-9939-964唱片花园,古典唱片机辅以银杏、香橼构筑的花境空间,这独属于老上海的海派浪漫。
行星花园则是优秀的亲子空间,植物自习室、星球探险树屋、自由拓展乐园……家长带着小朋友认识植物、观察虫鸟,在自然中建立良好的亲子互动氛围。
整个小区大量栽种花卉,如紫薇、丹枫、乌桕、香樟、樱花、桂花等,移步异景,四时风光,园内尽享。
招商瑧境售楼处电话:400-9939-964招商瑧境官方电话:400-9939-964
上海浦东招商瑧境售楼处电话:400-9939-964整座社区,从宜居度、仪式感、生活方式的多样性等多重角度来看,都称得上的完美。并且从会所、车库以及园林的建造标准来看,是真正比肩千万级豪宅的标准。
项目标配下沉式庭院会所和恒温泳池,满足业主们的会客、健身、娱乐需求,同时利用建筑内部的架空区域,以全龄社区为出发点,打造容纳多元生活的社区中心。
(效果图,仅供参考)
项目推售详情
招商瑧境售楼处电话:400-9939-964招商瑧境官方电话:400-9939-964
上海浦东招商瑧境售楼处电话:400-9939-964
【招商臻境】三期加推建面约103-148㎡高层&叠墅,共计218套房源,目前价格已经过会,均价67845元/㎡,即将取证认购,前期少量建面约89-148㎡房源在售,直接认购!
(首开地块分布图)
高层户型为建面约89-135㎡,设计方正且全明,为业主提供更加舒适的居住环境。
采用多飘窗设计,有效增加采光和通风效果,拥有更开阔的视野,能够欣赏到更多庭院美景。
此外,S型墙冰箱内嵌与玄关柜的一体化设计,不仅提升了空间的利用率,也增强了整体的美观性……
方案过程图,仅供参考,以官方最终发布为准
招商瑧境售楼处电话:400-9939-964招商瑧境官方电话:400-9939-964
上海浦东招商瑧境售楼处电话:400-9939-964
建面约89㎡ 3房2厅1卫▼
招商瑧境售楼处电话:400-9939-964招商瑧境官方电话:400-9939-964
上海浦东招商瑧境售楼处电话:400-9939-964
招商瑧境售楼处电话:400-9939-964招商瑧境官方电话:400-9939-964
上海浦东招商瑧境售楼处电话:400-9939-964
招商瑧境售楼处电话:400-9939-964招商瑧境官方电话:400-9939-964
上海浦东招商瑧境售楼处电话:400-9939-964
招商瑧境售楼处电话:400-9939-964招商瑧境官方电话:400-9939-964
上海浦东招商瑧境售楼处电话:400-9939-964
招商瑧境售楼处电话:400-9939-964
上海浦东招商瑧境售楼处电话:400-9939-964
招商瑧境售楼处电话:400-9939-964
上海浦东招商瑧境售楼处电话:400-9939-964
招商瑧境售楼处电话:400-9939-964招商瑧境官方电话:400-9939-964
上海浦东招商瑧境售楼处电话:400-9939-964「招商臻境」三期
浦东三林板块全新盘
加推建面约103-135㎡高层
及建面约145-148㎡叠拼
均价67845元/㎡ 共218套房源
正在认购中 前期少量房源在售
豪华泳池会所 追光式奢石地库
外立面LOW-E玻璃、质感金属线条
高品质精装交付 付款周期友好
售楼处线上火热预约
招商瑧境售楼处电话:400-9939-964招商瑧境官方电话:400-9939-964
上海浦东招商瑧境售楼处电话:400-9939-964
招商瑧境售楼处电话:400-9939-964招商瑧境官方电话:400-9939-964
上海浦东招商瑧境售楼处电话:400-9939-964【招商臻境】,定鼎三林之上,以“静奢lifeDeco”的前沿理念,打造2023年三林十年来重要作品,依靠外环/中环/南北高架等交通路网,串联前滩、陆家嘴、徐家汇等一级城市节点,出入之间,相逢高阶未来。
招商瑧境售楼处电话:400-9939-964招商瑧境官方电话:400-9939-964
上海浦东招商瑧境售楼处电话:400-9939-964
项目一房一价表
招商瑧境售楼处电话:400-9939-964
上海浦东招商臻境售楼处电话☎:400-9939-964✔✔

招商臻境售楼处电话☎:400-9939-964✔✔招商臻境售楼处电话☎:400-9939-964✔✔
上海浦东招商臻境售楼处电话☎:400-9939-964✔✔
拨冗城市风云,共叙时间的光语,20载情缘流长,悠然回味,百年招商与上海的故事,臻意再开篇。
当百年招商再一次邂逅上海,在这片充满无限想象力的土地上,将如何谱写更多传奇故事?
百年招商,每一次有影响力的大事件都是上海关注的焦点。招商臻境,作为百年招商臻系首发上海的全新里程碑巨著,以一场澎湃湾岸的案名发布仪式,惊艳全城目光。

招商臻境售楼处电话☎:400-9939-964✔✔招商臻境售楼处电话☎:400-9939-964✔✔
上海浦东招商臻境售楼处电话☎:400-9939-964✔✔
2023年12月24日晚,耀眼霓虹炫动北外滩,【招商臻境】案名震撼发布,点亮白玉兰广场。生活的臻意灿燃天际,也将百年招商「臻」系作品的璀璨光影,映射全上海。
实景图
伴随两岸绚丽霓虹以及奔腾的江流,黄浦江上一艘满载着招商蛇口对上海人居美好梦想的游艇,从北外滩到外滩九号,破风斩浪、自由驰骋,驶向更有想象力的未来。
招商臻境——百年招商上海首座臻系作品,将以“臻”之名,开启浦东三林的人居梦想。
招商臻境售楼处电话☎:400-9939-964✔✔招商臻境售楼处电话☎:400-9939-964✔✔
上海浦东招商臻境售楼处电话☎:400-9939-964✔✔
招商三林项目:招商臻境
项目将推售建面约89-103-135m²3-4房(高层)
建面约143-148m²叠墅
均价是68091/m²
500万起的价格,入住城市核心内,享受高级会所、精装双大堂、精装地库、精美园林、大品牌豪装!
项目于5月11日开盘,当日劲销16亿,去化率7成
虽然没有日光,但以现在的市场,7成的去化率已属热品,6.8万的单价,三林的地段,买不了吃亏,买不了上当!
另外,本次推售的房源中,500万级3房竟有154套之多,刚需入住三林的绝佳时机,不容错过!
招商臻境售楼处电话☎:400-9939-964✔✔招商臻境售楼处电话☎:400-9939-964✔✔
上海浦东招商臻境售楼处电话☎:400-9939-964✔✔
招商臻境售楼处电话☎:400-9939-964✔✔招商臻境售楼处电话☎:400-9939-964✔✔
上海浦东招商臻境售楼处电话☎:400-9939-964✔✔
首先我们来看看项目在价格上是否有优势
项目位于浦东三林板块,属于环外区域,靠近康桥板块。周边二手房价位以下面几个项目作为参考
中骏柏景湾,竣工于2017年,人车分流带会所,露天泳池,外立面以真石漆为主,目前二手价格在7-7.5万左右,近期有成交!
阳光城丽景湾PLUS,竣工于2016年,半人车分流,无会所,外立面以真石漆为主,约88㎡2房价格在6.5-6.9万左右,近期有成交;3房挂牌价格在7.8-8.5万左右,近期无成交!
世茂云图,竣工于2015年,小区人车分流无会所,外立面以真石漆为主,3房户型还不错,目前二手价格在7.5万上下!
保利首创颂,竣工于2020年,人车分流带会所,园林式小区,干挂石材外立面,目前挂牌价格在8-9万上下,有成交,但量很小!
浦发仁恒珊瑚世纪,竣工于2022年,今年刚交付,小区人车分流无会所,但配置有架空层会客厅以及健身场所等,铝板外立面,目前挂牌价格在9万左右,暂无成交!
招商臻境售楼处电话☎:400-9939-964✔✔招商臻境售楼处电话☎:400-9939-964✔✔
上海浦东招商臻境售楼处电话☎:400-9939-964✔✔
户型图赏鉴
高层户型图赏鉴
招商瑧境售楼处电话:400-9939-964
上海浦东招商臻境售楼处电话☎:400-9939-964✔✔
由于公寓所属精英社区,室内维多利亚式的老式风格和现代风格相结合,形成了温馨怡人的居住环境。
招商臻境售楼处电话:400-9939-964招商臻境售楼处电话:400-9939-964招商臻境售楼处电话:400-9939-964招商臻境售楼处电话:400-9939-964招商臻境售楼处电话:400-9939-964
Penglao Pavilion
登鹳雀楼
By Wang Zhihuan of the Tang Dynasty
唐·王之涣
The sun sets behind the mountains, and the Yellow River flows into the sea.
白日依山尽,黄河入海流。
If one wishes to see far, one must ascend to a higher floor.
欲穷千里目,更上一层楼。
【Criticism by Masters】In the late Ming and early Qing dynasties, Huang Sheng of "Selected Poems of Tang Dynasty" commented: "It encompasses everything in its vastness, thus being bold and powerful without being desolate."
【名家评价】明末清初黄生《唐诗摘钞》:空阔中无所不有,故雄浑而不疏寂。
【Aspiring to Progress】This poem depicts the extraordinary mind and aspirations of the poet as he looks afar, reflecting the proactive spirit of the people during the prosperous Tang Dynasty.
【奋发向上】这首诗写诗人在登高望远中表现出来的不凡的胸襟抱负,反映了盛唐时期人们积极向上的进取精神。
Although this poem is short in length, it has a magnificent momentum and profound意境, inspiring the Chinese nation to strive upward for thousands of years.
此诗篇幅虽短,却气势磅礴、意境深远,千百年来一直激励着中华民族昂扬向上。
A tranquil night
静夜思
Dang Li Bai
唐·李白
Moonlight shining on the bed, I doubt it's frost on the ground.
床前明月光,疑是地上霜。
Looking up at the bright moon, I lower my head and think of my hometown.
举头望明月,低头思故乡。
【Criticism by Masters】 In the Qing Dynasty, Wang Yaoqiu of "Ancient Tang Poems Compendium and Interpretation" said: This poem is achieved naturally without any effort.
【名家评价】清代王尧衢《古唐诗合解》:此诗如不经意,而得之自然。
Therefore, everyone admires its extraordinary charm.
故群服其神妙。
【Yearning for Home】 Every wanderer, at night, will recite this poem in their heart.
【思乡】每一个游子,在深夜时,都会在内心吟诵这首诗。
spring morning
春晓
Don Menghao
唐·孟浩然
Spring sleeps without realizing dawn, everywhere can hear the chirping of birds.
春眠不觉晓,处处闻啼鸟。
The sound of wind and rain at night, how many flowers have fallen?
夜来风雨声,花落知多少。
【Criticism by Masters】 Qing Dynasty - Huang Shucan, "The Tang Dynasty Poems Annotation": The poem is natural and untraceable.
【名家评价】清·黄叔灿《唐诗笺注》:诗到自然,无迹可寻。
【Spring Awakening】 When people are young, the spring is at its prime. During their journey, they don't realize that the wind and rain are coming and the frost and snow are destroying everything. It seems like a long dream. When they wake up and come to their senses, they no longer know how many flowers have fallen.
【春晓】人年少时春光正好,行途中不觉间风雨漫漫霜雪摧折,仿若长梦一场,待回身醒神,早已不知花落几何。
These twenty words are enough to tell the whole of one's life.
短短二十字,足以道尽人一生。
Two Lyrics of "Coolzhou" - The First One
凉州词二首·其一
Tang Dynasty - Wang Zhihuan
唐·王之涣
The Yellow River flows far above the white clouds, a solitary city stands on ten thousand mountains.
黄河远上白云间,一片孤城万仞山。
Why need the qiang flute to complain about the willows? The spring breeze doesn't reach the Yumen Pass.
羌笛何须怨杨柳,春风不度玉门关。
【Criticism by Masters】 "The Tang Dynasty Tune Standard": Every word is powerful, comparable to Wang Han's "Coolzhou".
【名家评价】《唐风定》:字字雄浑,可与王翰《凉州》比美。
【The Sound of the Tang Dynasty】 Standing in the vast mountains and thousands of peaks, there is a solitary city.
【大唐之音】千山万仞中屹立着一座孤城,坚毅中透着忧怨。
With firmness, it also reveals sorrow. In this desolate area thousands of miles away, there is no comforting scenery of the hometown. The soldiers in the border region's hardships and yearning are vividly expressed.
在这荒凉的千里之外,没有慰藉心灵的家乡风物,边塞将士的不易和怨思呼之欲出。
But ultimately, it is contained and not expressed openly. The sorrow still retains the kindness and boldness and strength.
但终究还是含而未发,哀怨中仍不失敦厚和昂强。
Snow on the River
江雪
Tang Dynasty - Liu Zongyuan
唐·柳宗元
Birds have flown away from all the mountains, and paths are nowhere to be seen.
千山鸟飞绝,万径人踪灭。
An old boatman with a cap and a cloak stands alone, fishing in the cold river of snow.
孤舟蓑笠翁,独钓寒江雪。
【Criticism by Masters】 "The Enhanced Annotation of Tang Dynasty Poetry" by Gu Zhenyu: A wonderful scene, every sentence is wonderful (the last sentence).
【名家评价】郭濬《增订评注唐诗正声》:好雪景,句句妙(末句下)。
Fan Xishen's "Bedside Night Talk": Among the five-character four-line Tang Dynasty poems, except for Liu Zongyuan's "Fishing in Snow", there are very few excellent ones.
范晞文《对床夜语》:唐人五言四句,除柳子厚《钓雪》一诗之外,极少佳者。
【Loneliness】 In the vast space of thousands of mountains and paths, a solitary boat, an old man, and a fishing rod. There is no one else or anything else. This is the countless loneliness.
【孤独】在千山万径阔大的空间里,一叶孤舟,一个老翁,一根钓竿,此外别无他人,别无他物,这就是千万孤独。
Coolzhou Lyrics
凉州词
Tang Dynasty - Wang Han
唐·王翰
The purple grapes are delicious in the night, the jade cup shines like a star.
The pipa urges the horse to hurry up for drinking.
葡萄美酒夜光杯,欲饮琵琶马上催。
Don't laugh when you fall asleep on the battlefield, few people have returned from the battles in the past?
醉卧沙场君莫笑,古来征战几人回?
【Criticism by Masters】 "The Selection and Evaluation of Tang Dynasty Verses" by Song Guo Lu: The style and quality are superior. It is a masterpiece of the prosperous Tang Dynasty.
【名家评价】清代宋顾乐《唐人万首绝句选评》:气格俱胜,盛唐绝作。
【War】 Whether in ancient times or now, we should not forget that peace is actually the result of the youth and blood of another group of people.
【战争】不管在古时候还是现在,我们都不应该忘了和平其实是另一群人的青春和热血换来的。
Uji Alley
乌衣巷
Tang Dynasty - Liu Yuxi
唐·刘禹锡
Wild flowers bloom on the Juzhe Bridge, the alley of Uji has a slanting sunset.
朱雀桥边野草花,乌衣巷口夕阳斜。
The swallows of the old Sui and Xie families once lived in the hall, now they have flown into the common people's homes.
旧时王谢堂前燕,飞入寻常百姓家。
【Criticism by Masters】 "The Annotation of Tang Dynasty Poetry" by Gui Tianxiang: There is emotion and satire. The taste should make one shed tears.
【名家评价】明·桂天祥《批点唐诗正声》:有感慨,有风刺,味之自当泪下。
【Worldly Affairs】 The swallows that once lived in the mansions of Sui and Xie have now flown to the common people's homes.
【世事】曾经栖息在王谢豪门的燕子,如今飞到寻常百姓家。
Hundreds of years of vicissitudes have passed, hundreds of years of changes have occurred. In this flight and return of the swallows, countless changes have taken place, leaving people with countless sighs.
几百年风云际会,几百年沧海桑田,就在这燕子的一来一回之间,翻转变换,让人感慨万千。
Seeing Meng Haoran off to Guangling on the Yellow Crane Tower
黄鹤楼送孟浩然之广陵
Dang Li Bai
唐·李白
Old friend, you bid farewell to Huanghe Tower in the west.
In the third month of spring, under the blooming flowers, you head for Yangzhou.
故人西辞黄鹤楼,烟花三月下扬州。
The solitary sailboat fades into the distance, disappearing in the azure sky. Only the mighty Yangtze River flows towards the horizon.
孤帆远影碧空尽,唯见长江天际流。
【Criticism by Masters】In the Qing Dynasty, Song Guole's "Selection and Evaluation of Ten Thousand Tang Dynasty's Best Couplets": There is no need to use harsh language. Such sentences are like the rooster crowing in the morning breeze.
【名家评价】清代宋顾乐《唐人万首绝句选评》:不必作苦语,此等语如朝阳鸣风。
【Parting】Two elegant poets, a poetic farewell.
【送别】两个风流诗人,一场诗意送别。
Encountering Li Guinian in Jiangnan
江南逢李龟年
Dong Duofu
唐·杜甫
I often visit the Qizhong Estate, and have heard from Cui Ji before several times.
岐王宅里寻常见,崔九堂前几度闻。
The scenery of Jiangnan is truly wonderful. At this time of falling flowers, I meet you again.
正是江南好风景,落花时节又逢君。
【Criticism by Masters】In the Qing Dynasty, Hu Benyuan's "Abundant Verses of Tang Dynasty": The meaning is not fully expressed, there is no definite conclusion;
【名家评价】清代胡本渊《唐诗近体》:含意未伸,有案无断;
yet the governance and chaos of the times, the rise and decline of years, the desolation and wandering of people, all are contained within.
而世运之治乱、年华之盛衰、彼此之凄凉流落,俱在其中。
【Time】These four lines of poetry span forty years, connecting two eras that seem like worlds apart.
【岁月】四句诗,跨越了四十年,连接起两个恍如隔世的时代。
A night-mooring near Maple Bridge
枫桥夜泊
Dong Zhang Ji
唐·张继
The moon has set, crows are crying, frost covers the sky. The willow trees by the river and the fishing lamps beside me make me sleep with sorrow.
月落乌啼霜满天,江枫渔火对愁眠。
In the cold mountain temple outside Gusu City, the midnight bell reaches the boat of the traveler.
姑苏城外寒山寺,夜半钟声到客船。
【Criticism by Masters】Ling Zilai of the Ming Dynasty: The poetic essence of the entire poem begins with "sorrowful sleep", and the beauty lies in not explicitly stating it.
【名家评价】明·沈子来:全篇诗意自“愁眠”上起,妙在不说出。
【Incomparable Insomnia】More than a thousand years ago, that night, that Fengqiao and the cold mountain temple, were thus fixed in the long river of history by Zhang Ji.
【不朽的失眠】一千多年前的那个夜晚,那个夜晚的枫桥和寒山寺,就这样被张继定格在历史的长河中。
The bell sound of that night has traversed thousands of years of history and still echoes in the hearts of every Chinese person to this day.
那个夜晚的钟声,则穿越了千年历史,至今回响在每一个中国人的心头。
Leaving the White King's town at dawn
早发白帝城
Dong Li Bai
唐·李白
Leaving Baidi City in the midst of colorful clouds, I return to Jiangling in a single day.
朝辞白帝彩云间,千里江陵一日还。
The cries of the apes on both banks do not cease. The small boat has already passed through thousands of mountains.
两岸猿声啼不住,轻舟已过万重山。
【Criticism by Masters】Zhang Qing "On the Abode of Tang": Han Yi said: Where the scene leads, the brush follows. There is sound and emotion, and it seems as if the wrist is receiving divine assistance. This is truly a genius.
【名家评价】张揔《唐风怀》:汉仪曰:境之所到,笔即追之,有声有情,腕疑神助,此真天才也。
【Light Boat】The light boat of life has already passed through thousands of mountains. Is there a smooth road ahead?
【轻舟】人生的轻舟已经驶过万重山了,往前是坦途吗?
Not necessarily.
未必。
But it doesn't matter, it doesn't matter. "It has" passed through thousands of mountains.
但是没关系,没关系,“已”过万重山。
Sending Du Shaofu on His Mission to Shu State
送杜少府之任蜀州
Dong Wang Bo
唐·王勃
The city walls surround the three provinces, and the mist and smoke hint at the five passes.
城阙辅三秦,风烟望五津。
The feeling of parting with you is the same as that of all those who are traveling for business.
与君离别意,同是宦游人。
A bosom friend afar brings a distant land near.
海内存知己,天涯若比邻。
In the dead end, father and son shed tears together.
无为在歧路,儿女共沾巾。
【Critics' Evaluation】 Ming Dynasty Gu Lin's "批点唐音": After reading "Sending Lu Zhibo" and "Baihaiyi" as well as this poem, one can understand why the early Tang Dynasty was prosperous and the late Tang Dynasty was in decline.
【名家评价】明代顾璘《批点唐音》:读《送卢主簿》并《白下驿》及此诗,乃知初唐所以盛,晚唐所以衰。
Qing Dynasty Wang Yaoque's "Ancient Tang Poems Compendium": These poems have a coherent style and spirit, not relying on beautiful scenery to be appealing.
清代王尧衢《古唐诗合解》:此等诗气格浑成,不以景物取妍,具初唐之风骨。
They possess the style of the early Tang Dynasty.
【Parting】 Parting always makes people feel sad. Optimistic people always think that it is an ending but also a beginning. After drinking this friend's toast, let's wish the next destination more wonderful experiences.
【离别】离别总是让人伤感,乐观的人总是觉得即是结束也是开始,干了朋友的这杯酒,祝福下一站拥有更多的精彩。
Spring View
春望
Don Du Fu The country is in ruins but the mountains and rivers remain;
唐·杜甫
in spring, the city is overgrown with lush grass and trees.
国破山河在,城春草木深。
When times are sad, flowers shed tears; when parting is painful, birds' cries strike the heart.
感时花溅泪,恨别鸟惊心。
For three months the flames of war have been burning continuously; letters from home are worth more than ten thousand gold pieces.
烽火连三月,家书抵万金。
As one grows older, hair becomes shorter and shorter; it seems one can barely hold onto the簪 (a type of hairpin).
白头搔更短,浑欲不胜簪。
[Commentary] Qing Dynasty Ji Yun: Every word is profound and calm, without the slightest hint of artificiality, and it is deeply touching.
【名家评价】清·纪昀:语语沉着,无一毫做作,而自然深至。
[Family and Country] My heart with Du Fu's heart is bleeding, and the feeling of wanting to cry but having no tears.
【家国】我跟杜子美的心一起滴血,欲哭无泪的感觉。
Pavilion Beyond the Zen Garden of Baoshan Temple
题破山寺后禅院
Tang Dynasty Chang Jian
唐·常建
In the early morning, I entered the ancient temple; the first rays of sunlight illuminated the tall trees.
清晨入古寺,初日照高林。
The winding path leads to a secluded place; the meditation room is surrounded by flowers and trees.
曲径通幽处,禅房花木深。
The mountain light delights the birds' nature; the reflection in the pool empties the mind.
山光悦鸟性,潭影空人心。
All sounds are silent; only the bell and chime remain.
万籁此都寂,但余钟磬音。
[Commentary] Late Ming Dynasty to Early Qing Dynasty Feng Ban: Every word is deeply touching.
【名家评价】明末清初冯班:字字入神。
(From "Yingkui Rules and Summaries") Late Ming Dynasty to Early Qing Dynasty Xing Fang: This is a poetic scene of a secluded place, reaching the extreme level.
(《瀛奎律髓汇评》)明末清初邢昉:诗家幽境,常尉臻极,此犹是其古体也。
This is still an ancient style poem (from "Abiding in the Abundant Wind").
(《唐风定》)
[Silence and Tranquility] Deep in the woods is the meditation room. That tranquility and that otherworldliness make one yearn for a life beyond the mundane world.
【清幽】林木深处是禅房,那份宁静那份脱俗,纵使在红尘中,也让人心生出世之心。
Missing You by Moonlight
望月怀远
Dong Zhang Jiuling
唐·张九龄
The bright moon rises over the sea, sharing this moment with all distant lands.
海上生明月,天涯共此时。
Lovers complain of the long night, feeling deep longing throughout the night.
情人怨遥夜,竟夕起相思。
I pity the light that dims as I extinguish the candle, and feel the moistening dew as I unbutton my clothes.
灭烛怜光满,披衣觉露滋。
I cannot offer it as a gift, so I return to bed to dream of the beautiful future.
不堪盈手赠,还寝梦佳期。
【Criticism by Masters】 "Collection of Modern Five-Seven Line Poems": This is a five-character regulated verse equivalent to "Li Sao".
【名家评价】《五七言今体诗钞》:是五律中《离骚》。
【The Rising Moon】 The vast sea pours out the bright moon, which rises gracefully, like a sacred ceremony.
【月升】大海吞吐出明月,明月静静升起,像一场神圣的仪式。
Ascending High
登高
Tang Dynasty - Du Fu
唐·杜甫
The wind is fierce, the sky is high, the cries of apes are mournful.
风急天高猿啸哀,渚清沙白鸟飞回。
The waterweed is clear, the sand is white, and the birds fly back.
The boundless forest sheds its leaves shower by shower. The endless river rolls its waves hour after hour.
In the vast expanse of autumn, I often feel like a stranger.
无边落木萧萧下,不尽长江滚滚来。
For a hundred years, I have been plagued by illness and yet I still stand alone on this platform.
万里悲秋常作客,百年多病独登台。
The hardships and sorrows have turned my hair into a thick layer of frost. I am now in a state of decline, having stopped drinking turbid wine.
艰难苦恨繁霜鬓,潦倒新停浊酒杯。
【Criticism by Masters】In the Qing Dynasty, Yang Lun of "The Mirror for Judging Du Fu's Poems" commented: "It is a work of supreme elegance, unmatched by any in history. It should be ranked as the first seven-character regulated verse in Du Fu's collection."
【名家评价】清代杨伦《杜诗镜铨》:高浑一气,古今独步,当为杜集七言律诗第一。
【Melancholy】Stand by the river for ten minutes and watch the surging water. Walk into the woods and listen to the desolate sounds of all things. The trees rise up, yet the vast expanse of them withers and falls. Then you will truly understand Du Fu's heart.
【悲凉】去江边看十分钟滚滚江水,去树林里听万物萧瑟,树木群起而浩瀚凋零,你就直接懂了杜甫的心。
Yellow Crane Tower
黄鹤楼
Dong Chu Hao
唐·崔颢
The ancients have already ascended the Yellow Crane Tower, leaving only the Yellow Crane Tower here.
昔人已乘黄鹤去,此地空余黄鹤楼。
The Yellow Crane has vanished without returning, and the white clouds have been lingering for thousands of years, leaving nothing but emptiness.
黄鹤一去不复返,白云千载空悠悠。
The clear riverbanks are lined with the trees of Han Yang, and the lush grasses are on the Peacock Isle.
晴川历历汉阳树,芳草萋萋鹦鹉洲。
Where is the hometown when the sun sets?
日暮乡关何处是?
The mist-veiled waves of River Han make me homesick.
烟波江上使人愁。
【Expert Evaluation】Southern Song Dynasty - Yan Yu, "Canglang Poetry Treatise": Among the seven-character regulated verse of the Tang Dynasty, the one by Cui Hao titled "The Yellow Crane Tower" should be ranked first.
【名家评价】南宋·严羽《沧浪诗话》:唐人七言律诗,当以崔颢《黄鹤楼》为第一。
Ming Dynasty - Gao Ji, "Commentary on the Correct Sound of Tang Poetry": In terms of style and tone, it stands alone for thousands of years.
明·高棅《批点唐诗正声》:气格音调,千载独步。
【The Yellow Crane Tower】The Yellow Crane has gone, Cui Hao is no longer here, but the Yellow Crane Tower remains in one's heart.
【黄鹤楼】黄鹤走了,崔颢不在了,黄鹤楼却一直留在心间。
To Wei Ba Cuisi
赠卫八处士
Tang Dynasty - Du Fu
唐·杜甫
Life does not meet each other, as if the constellations of Bo and Yu are separated.
人生不相见,动如参与商。
What kind of evening is this tonight, sharing this lamp and candlelight?
今夕复何夕,共此灯烛光。
Youth and vigor are fleeting, and the hair has turned grey.
少壮能几时,鬓发各已苍。
Visiting old friends, half of them have become ghosts, and I am filled with shock and warmth.
访旧半为鬼,惊呼热中肠。
How could I know that twenty years have passed, and I am now visiting your noble home again.
焉知二十载,重上君子堂。
We parted in the past without being engaged, but now our children have grown up.
昔别君未婚,儿女忽成行。
We greet each other with respect, asking where you come from.
怡然敬父执,问我来何方。
The conversation doesn't stop, and we drive the children to prepare wine and food.
问答乃未已,驱儿罗酒浆。
The night rain cuts the spring chives, and the freshly cooked rice is mixed with glutinous rice.
夜雨剪春韭,新炊间黄粱。
The host says it's difficult to meet again, and one drink leads to ten.
主称会面难,一举累十觞。
Ten drinks don't make one drunk, but I am moved by your sincerity.
十觞亦不醉,感子故意长。
Tomorrow we will part across the mountains and rivers, and the world is as vast and indifferent as before.
明日隔山岳,世事两茫茫。
【Expert Evaluation】"Du's Commentary": Write freely, let the meaning reach its fullest expression, leaving a sense of emptiness and elegance, perfectly capturing the essence.
【名家评价】《杜臆》:信手写去,意尽而止,空灵宛畅,曲尽其妙。
【Sentimental】I thought it was the sentiment of the ancient times, but now there are WeChat and videos.
【伤感】以为是古时候的伤感,现在有微信和视频。
However, the feelings and opportunities for meeting have remained the same throughout history.
然而,相见的心情和机缘,从古至今都是一样的。
Snow Song Sending Wu Jianfan Back to His Capital
白雪歌送武判官归京
Dong Cenxian
唐·岑参
The north wind sweeps across the land, causing the white grass to break.
In August of the northern land, snow falls like a flurry.
北风卷地白草折,胡天八月即飞雪。
As if in a sudden spring breeze, thousands of trees and trees of pear blossoms bloom.
忽如一夜春风来,千树万树梨花开。
The snow disperses into the pearl curtains and dampens the brocade curtains. The fur coats are not warm and the silk quilts are thin.
散入珠帘湿罗幕,狐裘不暖锦衾薄。
The general cannot control his horned bow, and the imperial guard's iron armor is difficult to put on in the cold.
将军角弓不得控,都护铁衣冷难着。
The sea is cracked with a hundred-foot-thick ice, and the dark clouds are gloomy and distant for thousands of miles.
瀚海阑干百丈冰,愁云惨淡万里凝。
In the central camp, wine is served to the returning guests. The Chinese lute, the pipa, and the qin are played.
中军置酒饮归客,胡琴琵琶与羌笛。
The snow falls in the evening at the gate, and the red flag is frozen and does not flutter.
纷纷暮雪下辕门,风掣红旗冻不翻。
At the east gate of Luandai, we bid farewell to you.
轮台东门送君去,去时雪满天山路。
When you leave, the sky is covered with snow.
The mountains turn and the roads change, but you are not seen. The horse's tracks left on the snow remain.
山回路转不见君,雪上空留马行处。
【Criticism by Masters】The Qing Dynasty Fang Dongshu's "Zhaomu Jianshan": Cen Jiazhou's "Snow White Song to Send Wu Dabanchuan Back to His Capital" is extremely bold and fresh.
【名家评价】清·方东树《昭昧詹言》:岑嘉州《白雪歌送武判官归京》奇峭。
The first six lines are vigorous, and the extraordinary spirit and emotions burst forth, refreshing the mind.
起飒爽,“忽如”六句,奇气奇情逸发,令人心神一快。
One must read and recite them repeatedly to fully understand and imitate them.
须日诵一过,心摹而力追之。
【Imaginative Imagination】One can instantly imagine the vast expanse of pear blossoms everywhere. How beautiful!
【超逸想象】瞬间就可以脑补漫山遍野的梨花,太美了!
Song of Ascending the Yuezhou Tower
登幽州台歌
Tang Dynasty Chen Zihan
唐·陈子昂
I do not see the ancient people, nor the coming people.
前不见古人,后不见来者。
Thinking of the vastness of the sky and the long years, I weep alone in sorrow!
念天地之悠悠,独怆然而涕下!
【Criticism by Masters】The Ming Dynasty and Qing Dynasty Huang Zhouxing's "Tang Poetry Fast": In one's heart, there are countless ages;
【名家评价】明末清初黄周星《唐诗快》卷二:胸中自有万古,眼底更无一人。
in the eye's view, there is no one.
古今诗人多矣,从未有道及此者。
Among the countless poets of all ages, no one has ever expressed this.
此二十二字,真可以泣鬼。
These twenty-two words can truly move ghosts.
【孤独】时间是无尽的,渺小的我短暂而一生,哪怕是悟出了什么道理,也无人可懂,无人可诉,唯有孤独相伴,孑然一身。
【Loneliness】Time is endless.
将进酒
My insignificant life is short and fleeting.
唐·李白
Even if I have understood something, no one can understand or share it.
君不见黄河之水天上来,
There is only loneliness to accompany me, alone and solitary.
奔流到海不复回。
Heaven has made us talents, we’re not made in vain.
君不见高堂明镜悲白发,
A thousand gold coins spent, more will turn up again.
朝如青丝暮成雪。
Cooking mutton and beef for enjoyment, we must drink three hundred cups in one go.
人生得意须尽欢,莫使金樽空对月。
Cen Fu Zi, Dan Qiu Sheng, let's drink a toast, don't stop drinking the wine.
天生我材必有用,千金散尽还复来。
Let's sing a song for you, please listen carefully.
烹羊宰牛且为乐,会须一饮三百杯。
Gold and fine food are not valuable enough.
岑夫子,丹丘生,将进酒,杯莫停。
We only wish to remain drunk and never wake up.
与君歌一曲,请君为我倾耳听。
All the ancient sages were lonely, but only the drinkers left their names.
钟鼓馔玉不足贵,但愿长醉不愿醒。
Chen Wang once held a feast at Ping Le, drinking ten thousand coins and being carefree.
古来圣贤皆寂寞,惟有饮者留其名。
The host why says there is little money?
陈王昔时宴平乐,斗酒十千恣欢谑。
Just go and buy wine to drink with me.
主人何为言少钱,径须沽取对君酌。
Five-horse carriage, thousand-yuan fur coat,
五花马、千金裘,
Call your servant to bring out the fine wine and let's dissolve all the ancient sorrows together.
呼儿将出换美酒,与尔同销万古愁。
【Criticism by famous scholars】 Ming Dynasty Xu Zeng: Bai Tao's song is the most unrestrained, his talent is unparalleled throughout history.
【名家评价】明代徐增:太白此歌,最为豪放,才气干古无双。
(From "While's Commentary on Tang Poetry")
(《而庵说唐诗》)
【Majestic Sentiment】 There are many disappointments in life. When you are happy, you should enjoy that moment to the fullest.
【豪情】人生有许多不如意,能够快乐的时候就应该尽情地享受那一刻。
The Song of the Fairies - No. 1
清平调·其一
Tang Dynasty Li Bai
唐·李白
The dream of the clouds and the beauty of the flowers, the blooming of the spring breeze against the railing, the dewy glory.
云想衣裳花想容,春风拂槛露华浓。
If not seen on the mountain of the immortal jade, we will meet in the moonlight of the fairy terrace.
若非群玉山头见,会向瑶台月下逢。
【Criticism by famous scholars】 Qing Dynasty Shen Qian: "The dream of the dress and the beauty of the flowers", this is the best scene of Bai Tao.
【名家评价】清代沈谦《填词杂说》:“云想衣裳花想容”,此太白佳境。
【Beauty】 The first person to compare a beauty to flowers was truly a genius.
【美人】第一个以美人比花的人,才是真天才。
The Lament of a Traveler
游子吟
Tang Dynasty Meng Jiao
唐·孟郊
The thread in the mother's hands, the traveler's clothes on the body.
慈母手中线,游子身上衣。
At the moment of departure, she sews carefully, fearing that he will not return in time.
临行密密缝,意恐迟迟归。
Who can say that the grass is too thin, to repay the three springs of warmth.
谁言寸草心,报得三春晖。
【Criticism by famous scholars】 Ming Dynasty Xing Fang: "The dream of the dress and the beauty of the flowers", this is the most beautiful scene of Bai Tao.
【名家评价】明代邢昉《唐风定》:仁孝蔼蔼,万古如新。
【Mother's Love】 Every time I think of my mother, tears stubbornly come out of my eyes.
【母爱】每一次想起母亲,眼中的泪就固执地跑了出来。
Longgan Song - Where Does Your Family Live
长干行·君家何处住
Tang Dynasty Cui Hao
唐·崔颢
Where does your family live? I live in Hengtang.
君家何处住,妾住在横塘。
Stop the boat for a moment to ask, perhaps it is the same hometown.
停船暂借问,或恐是同乡。
【Criticism by famous scholars】 "The Collection of Ancient Poems": One question and one answer, gentle and sincere, actually following the ancient form of folk songs.
【名家评价】《历代诗发》:一问一答,婉款真朴,居然乐府古制。
【Encounter】 When a man meets true love, his first reaction is timidity, while a woman's first reaction is bravery.
【遇见】男人遇到真爱时第一反应是胆怯,女人遇到真爱的第一反应是勇敢。
Sending Yuan Er to Anxi
送元二使安西
Tang Dynasty Wang Wei
唐·王维
The morning rain in Wei City moistens the light dust, the guesthouse is green and the willow color is fresh.
渭城朝雨浥轻尘,客舍青青柳色新。
Let me urge you to drink one more cup of wine, after leaving Yangshan Pass there are no friends.
劝君更尽一杯酒,西出阳关无故人。
【Criticism by famous scholars】 Ming Dynasty Ao Ying: "This is the most wonderful farewell poem of the Tang Dynasty".
【名家评价】明代敖英《唐诗绝句类选》:唐人别诗,此为绝唱。
【Sending a Friend Away】 Everyone is walking on their own path, with their own gatherings and partings.
【送友人】每个人都行走在自己的路上,都有着自己的聚散。
The Lute
锦瑟
Tang Dynasty Li Shangyin
唐·李商隐
The fifty strings of the lute without reason, one string and one pillar thinking of the past glory.
锦瑟无端五十弦,一弦一柱思华年。
Zhuang Sheng wakes up in the morning dreaming of butterflies, Wang Di's spring heart entrusts to Du Yuanyuan.
庄生晓梦迷蝴蝶,望帝春心托杜鹃。
The blue sea moon has tears, the blue field sun makes the jade smoke.
沧海月明珠有泪,蓝田日暖玉生烟。
This feeling can only be recalled now, but at the time, I was completely bewildered.
此情可待成追忆,只是当时已惘然。
【Expert Evaluation】In the Qing Dynasty, Jiang Bingzhang of "Selected Sayings of Yuxi" wrote: The composition is exquisite and naturally perfect, without the slightest trace of artificiality.
【名家评价】清代姜炳璋《选玉溪生补说》:心华结撰,工巧天成,不假一毫凑泊。
【Recollection】How many beautiful moments have passed, yet with how many regrets! After experiencing many things, one will realize that youth is truly the most wonderful thing one has ever possessed.
【追忆】人间有多少芳华,就有多少遗憾,一个人经历了许多事情就会发现,青春真的是一个人拥有过的最美好的东西。
Yanmen General's March
雁门太守行
Tang Dynasty - Li He
唐·李贺
Black clouds pressing down on the city as if it were about to collapse, the armor shining under the sun like golden scales.
黑云压城城欲摧,甲光向日金鳞开。
The sound of the horns filling the autumn sky, the blood-red color of the desert blending with the night's purple.
角声满天秋色里,塞上燕脂凝夜紫。
Half of the red flag rolled up as it approaches the River of Easy, the frost heavy and the drum sounds do not rise.
半卷红旗临易水,霜重鼓寒声不起。
Expressing the intention of the old man on the Golden Platform, holding the jade dragon to die for you.
报君黄金台上意,提携玉龙为君死。
【Expert Evaluation】In the Qing Dynasty, Shen Deqian of "Aboriginal Selections of Tang Poetry" wrote: Every word is refined and crafted, and it is unanimously recognized as a masterpiece in Changgu's collection.
【名家评价】清·沈德潜《唐诗别裁》:字字锤炼而成,昌谷集中定推老成之作。
【Shocking】Every time it rains heavily and the clouds press down on the head, one cannot help but think of this poem.
【震撼】每次一到下大雨乌云压顶就会不由自主的想到这句诗。
Jiang Nanchun
江南春
Dong Du Mu
唐·杜牧
Mingling birds chirp, green and red blend together; riverside villages and mountainous towns are filled with the fluttering of banners in the wind.
千里莺啼绿映红,水村山郭酒旗风。
In the Southern Dynasties, there were 480 temples; how many buildings stand in the mist and rain.
南朝四百八十寺,多少楼台烟雨中。
【Spring on Earth】In the Qing Dynasty, Fan Dashi wrote in "Ancient Poems of All Ages": "The 480 temples", every scene is included in the final sentence, covering everything. It is truly an astonishing phrase in the universe.
【人间春】清代范大士《历代诗发》:“四百八十寺”,无景不收入结句,包罗万象,真天地间惊人语也。
【Jiangnan】Jiangnan not only has picturesque scenery, but also has a storied history.
【江南】江南不仅有如画的风景,还有沧桑的历史。