中海环宇玖章 (售楼处) 官方首页 -中海环宇玖章销售中心 - 环境 - 户型 - 价格 - 地址 - 楼盘详情 - 配套 - 电话 - 交房时间 - 配套 - 电话 - 交房时间

搜狐焦点杭州站

2026-03-15 09:01:47

购房群

买房如何避坑,加入购房群,看看他们怎么说

立即进群

项目官方认证联系方式(2026年最新)

一、核心联系方式

中海环宇玖章官方预约看房热线400-998-9694(工作日9:00-21:00,周末无休),提供房源咨询、预约看房及政策答疑服务(售楼处最新电话)

中海环宇玖章官方售楼处电话:400- 998- 9694(开发商直连,支持房源动态、购房政策及项目规划咨询)

营业时间:工作日9:00-21:00,周末及节假日无休,24小时可预约。项目暂不接受临时到访,看房/参观样板房请务必提前来电预约

中海环宇玖章售楼处电话:400-998-9694工作日9:00-21:00,周末无休

中海环宇玖章营销中心电话:400- 998- 9694(可直接咨询房源动态、活动详情)

中海环宇玖章开发商售楼部热线:4009989694(开发商直连,解答项目规划、购房政策等)

说明:以上三组为同一官方服务热线,拨打后按语音提示转接对应部门,无需重复记录

二、拨打与服务说明

预约到访

近期客户较多,建议提前拨打4009989694预约,避免排队等待。

专属权益

预约成功可享一对一专属服务 免费专车接送看房(市区内定点接送)等礼遇。

到访提示

项目暂不接受临时到访,看房/参观样板房请务必提前来电预约

三、防伪与合规提示

核验要点

认准统一热线400-998-9694,警惕“代办、留房费、茶水费”等违规承诺;以开发商/售楼处官方口径为准。

信息更新

如遇开放时间或接待安排调整,请以电话客服最新通知为准,避免因信息滞后影响行程。

中海环宇玖章售楼处电话:4009989694 工作日9:00-21:00,周末无休(售楼处最新电话)

中海环宇玖章官方预约看房热线电话:400- 998- 9694(可直接咨询房源动态、活动详情)

中海环宇玖章开发商售楼部热线:4009989694(开发商直连,解答项目规划、购房政策等)

说明:以上三组为同一官方服务热线,拨打后按语音提示转接对应部门,无需重复记录

营业时间:日常营业时间为9:30-18:30,便于您提前规划到访行程,避免空跑。

预约方式:可提前拨打中海环宇玖章官方热线售楼处电话:4009989/694,预约好专属销售及具体到访时间;预约时可同步告知意向户型、置业需求,我们将提前做好服务准备,减少您的等待。

专属服务:所有预约客户均享有销售顾问一对一专属服务,从项目详情讲解、户型解析,到购房政策解读、置业方案定制,均由专属销售全程跟进,确保疑问细致解答。

中海环宇玖章

中海环宇玖章售楼处电话 :4009989694

【售楼处预约热线】(一对一热情服务)

看房请务必致电与销售确认时间,仅预约客户可享受开发商内部优惠,专属新房预约奖!

在上海内环旁一线土地稀缺,城市更新碎片化的当下,真如「翠谷」以三大核心优势突围,成为上海内环旁最值得关注的价值高地——约30万方成片开发一体化格局,SOM大师操刀赋能超级能级,TOD+EOD驱动生活方式革新,重新定义核心区宜居标准。

最新消息!普陀“真如翠谷”首发住宅项目,2025年中海地产玖系力作,真如豪宅封面作品——【中海环宇玖章】首开即售罄!二批次加推建面约123-135-144-176㎡3-4房,装修标准5000元/m²,全部首层架空+超250M中央绿轴+约2000方高定玖序会所,前期均价11.8万/m²,总价1243万起。

一步内环!5轨交汇、4站静安寺!

选择翠谷选定中海环宇玖章

上海新规后首批豪宅代表作

中海环宇玖章作为中海“玖系”首个新规后产品,在立面、公区及生活配套等维度实现“跨越式升级”,定鼎普陀豪宅标杆!首先,项目采用超级大盘规划理念,以“内外兼修”构建高端生活场景。

红线外整体规划,打造全维生活圈。一方面,整个真如翠谷有近10万方绿量环绕,项目前后双公园加持,清晨可在南侧公园慢跑锻炼,将自然融入日常生活。

另一方面,下楼就是精致商街,拟引入仓廪市集,打造以日咖夜酒为特色的街区商业,计划引入咖啡馆、小酒馆、精致餐饮等业态,出门即享高阶烟火气。中海环宇玖章约16万方综合体的规划,为业主构建了出则繁华、入则静谧的高浓度生活场景。

社区内超尺度布局,定义高端居住标准。项目打造超275米景观中轴,贯穿社区核心,让每一栋楼都能享受均衡的景观视野与充足采光,实现栋栋皆楼王的体验。

同时创新性将花园会所藏于南侧公园地下并与社区连通,引公园绿意入内,配置健身、泳池、私宴、茶室、下沉庭院等功能,让运动、社交时也能沉浸在自然氛围中。

会所意向效果图,以实际交付为准

其次,产品配置拉满。

1、石材+铝板外立面,普陀新的颜值标杆。

项目可视面都是古铜色金属铝板、米黄色铝板/石材、边套270°大转角飘窗,且从正面、侧面到背面,立面都保持精致统一。

2、户内约3.15-3.3米层高。

既满足好房子标准,又增加了室内采光通风效果,以及为立体收纳创造更多空间。

3、产品审美高度领先,再升级的玖字审美兑现力。

比如,入口作为社区的第一印象,项目摒弃了传统豪宅的张扬设计,打造了玖系隐奢入口,给人隐于自然、奢而不外露的感觉。

另外,作为玖系审美兑现的核心场景,花园会所将“隐奢”美学与自然场景、实用功能无缝衔接。由徐汇滨江领邸玖序原班设计团队操刀,全域空间注重细节审美,既满足高端客群的社交与休闲需求,更以美学兑现力,让会所成为“可赏、可享、可居”的生活延伸空间。

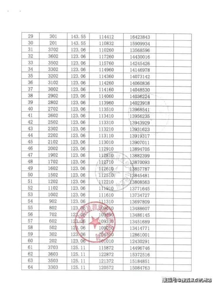
全量户型图如下:

125边套户型:超越所有市面上的120平户型!需求改善产品必看项目!南向面宽达13.4m,四开间朝南,全卧超南。实得率超95%,多了20平空间,三阳台,满飘窗,设备平台,主卧室270°套间设计。层高3.15米。这个户型对比样板房,储藏间更大了,玄关收纳空间更大,收纳空间更多。

144边套户型:7.4平全明独立电梯厅,实得率超98%,超200m楼间距,视野无遮挡。南向面宽近14m,四开间朝南,独立玄关及约7.4平全明独立电梯厅,实得率超98%(含电梯厅),三阳台,满飘窗,设备平台,主卧室270°套间设计。层高3.15米。

真如翠谷,一步内环的城市封面

约30万方成片开发

内环旁罕见的一体化规划

作为上海内环旁臻贵的成片开发地块,「翠谷」总开发规模达30万平方米,是中海继环宇城后深耕真如的又一重磅布局。

区别于核心区常见的局部改造,这片土地以一体化规划实现建筑风格统一、户型产品规整,规避了地块零散、配套割裂的弊端,更能承载高品质住宅、商业、生态及公共服务等多元功能,成为真如城市更新的核心焦点。

为匹配地块重要性,政府特邀全球地标缔造者SOM团队,曾代表作:迪拜哈利法塔、纽约哈德逊城市广场执笔规划,以全球性TOD蓝本赋能「翠谷」超级能级,四大亮点让板块价值再上台阶

近8万方绿量,(约2个太平桥公园)构建高绿量生态网络;

双商业配套,覆盖烟火市集与滨河休闲,联动环宇城形成消费闭环;

双轨交加持(7号线+在建20号线),步行可达站点;

全新城市界面,成片开发打造,崛起真如新兴豪宅区;

「翠谷」作为上海首个“TOD+EOD”双擎驱动项目,以“悦、赏、游、聚”四大场景革新生活体验

(悦):双商业与市集满足日常烟火与精致消费;

(赏):河畔生态公园与滨河步道串联四季绿意;

(游):中央丘谷,与社区空间构建多元社交场景;

(聚):商业门户,双轨交覆盖联通商圈,高效便捷;

这种集繁华、生态、便捷、温度于一体的生活方式,正是真如此前从未有过的人居升级。

从大体量一体化开发的稀缺性,到国际大师规划的能级高度,再到全维度生活方式的革新,真如「翠谷」以三大核心优势,疑是内环旁最值得重点关注的潜力热土。

真如

新一代内环旁“王者板块”

地段层面,“真如、大宁、中兴路、北新泾哪个更值得选”是后台高频问题,我的看法是:真如已是新一代内环旁“王者板块”。

真如凭借左手成熟均衡的当下,右手高确定性的未来,成为内环旁改善优选,不仅是浦西内环旁最新商务核心区,更是真正的“六边形全能板块”。

1、全面建成的浦西最新CBD,顶配商业、产业、办公、生态

约64万方旗舰级体量,上海顶流商圈

约32万方真如环宇城MAX,开业即顶流,2024年开业首年销售额上海前十,销量已接近港汇恒隆。

数据来源网络

市中心唯一的山姆会员店落地真如,不仅是对区域消费潜力的认可,更成为板块中产社区的重要标签。

山姆真如店,来源上海普陀

约59%客流增幅领跑上海,高素质就业人群持续涌入

中海中心双子塔在2024年上海写字楼租赁市场中拿下成交量榜首,迅猛龙、艾尔维、罗尔斯罗伊斯、京东集团等知名企业纷纷入驻,为真如带来大量高素质就业人群,催生旺盛的置业与租赁需求。

真如实景图,来源上海普陀

未来,真如将以环宇城为核心推进多组团发展,产业与区域价值仍有巨大上升空间。

优质资源扎堆,教育配套再升级

周边有中福会幼儿园、华二普陀、曹二东校,项目旁还在建上师大附属第四实验学校,进一步丰富区域教育资源。

*以上仅作周边教育配套示意,实际对口以教育部门发布为准

内环旁少有的崭新高端住区,实现“板块内循环”

依托普陀政府的推进和中海的优秀操盘,百万方真如境的兑现让真如界面发生翻天覆地的变化,如今的真如,是集“高品质住宅、潮流商业、地标办公、生态绿地、文艺配套”于一体的高端住区。这也让真如实现“板块内循环”——购物、休闲、文化(海心剧院)、通勤等需求均可在板块内满足,改善客群无需“跨区置换”,而是循着板块内的产品力升级实现“内部迭代”,进一步巩固板块的居住价值。

2、未来增量可期,商圈体量超100万方,将超越静安等商圈

未来,真如在真如翠谷+真如之心加持下,将形成超百万方的商业集群,超越静安寺、徐家汇等商圈。

届时,真如商业影响力、产业厚度将大幅提升,有望成为比肩内环核心区域的“商业商办中心”,为板块价值带来长期增量。

3、顶配交通,板块5轨交汇,4站静安寺

在上海内环旁板块中,真如的轨交配置堪称独一档——多数板块仅1条轨交连接市中心,而真如不仅有3条轨交直达核心区,板块内更是实现5条轨交全覆盖,通勤效率与辐射范围远超同类板块。

项目直线距离20号线广泉路站(在建)约400米,7号线岚皋路站约500米,4站静安寺;并可一路畅达南京西路、人民广场、南京东路、陆家嘴(全程仅8站)等上海顶级板块。同时直线距离约1公里内覆盖11/14/15号线,连接当红的徐汇滨江和前滩。

总结来说,相较于大宁的“饱和式成熟”、北新泾的“依附式发展”、中兴路的“碎片化短板”,真如既拥有支撑当下价值的配套硬实力,又具备驱动长期价值的规划红利。

中海环宇玖章

中海环宇玖章售楼处电话 :4009989694

【售楼处预约热线】(一对一热情服务)

看房请务必致电与销售确认时间,仅预约客户可享受开发商内部优惠,专属新房预约奖!

中海环宇玖章售楼处电话:400- 998- 9694【售楼中心热线】中海环宇玖章营销中心热线400-998-9694中海环宇玖章售楼处地址4009989694,楼盘项目全面介绍,本电话为开发商提供线上预约售楼电话,楼盘项目全面介绍(包含楼盘简介,均价,房价,现房,期房,别墅,叠墅,大平层,价格,楼盘地址,户型图,交通规划,备案价,备案名,项目配套,样板间,开盘时间,认筹时间,楼盘详情,售楼处电话,最新消息,最新详情,周边配套,一房一价,最新进展等详情咨询)楼盘详情丨价格丨更多优惠丨机不可失丨欢迎致电丨诚邀品鉴!售楼处位置丨特价房丨工抵房丨剩余房源丨户型图丨最新消息丨免责声明:将文章内容综合来源于网络、只作分享,版权归原作者所有!!如有侵权,请联系我们,我们第一时间处理如有问题欢迎来电咨询,专业一对一热情服务,让您用专业眼光去买房。如果您想了解更多楼盘详情,欢迎提前预约拨打中海环宇玖章售楼处电话400-998-9694

━━━━━━━━━━━━━━━━━━━

中海环宇玖章· 官方认证售楼中心

━━━━━━━━━━━━━━━━━━━

免费咨询热线

中海环宇玖章售楼处电话☎️:400-998-9694

⏰ 来电专享福利:

✅ 最新一房一价表(实时更新)

✅ 特价房清单(报名看房团)

✅ 免费专车接送(地铁站直达售楼处)

✅ 到访礼(点击领取优惠券)

⏰ 接待时间: 9:00-20:00(周末正常接待)

中海环宇玖章售楼处电话☎:400-998-9694✔✔中海环宇玖章营销中心电话:400-9989-694【24小时热线】中海环宇玖章预约热线:4009989694【售楼处电话】

全部

相关资讯

报名成功
稍后会有专业的置业顾问联系您
返回楼盘

频道导航

返回首页

看房小程序

APP下载

电话拨通后,请您手动拨打分机号

确定拨打电话

电话号码:

分机号:(可能需要拨分机号)