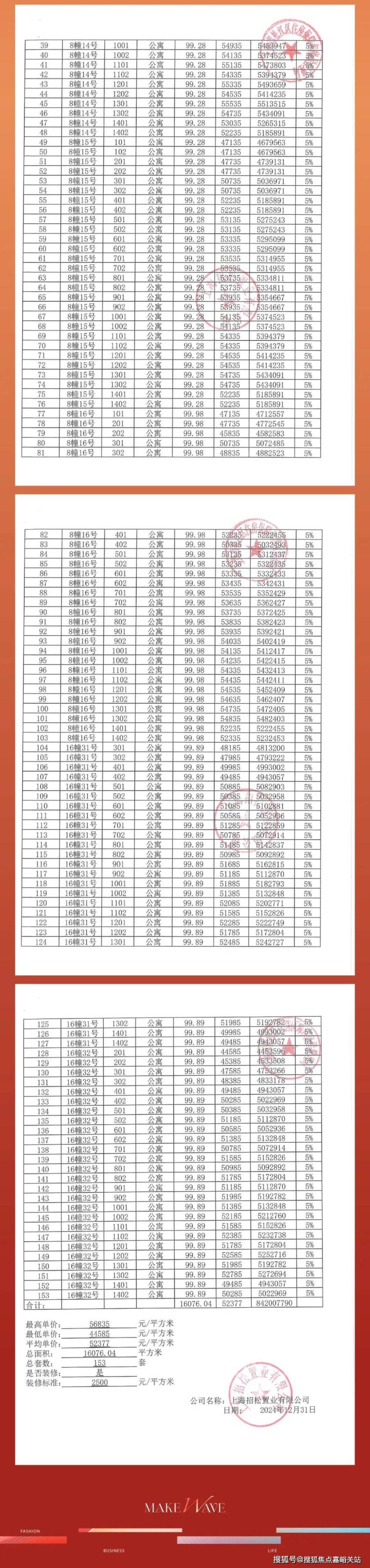
均价52377元/㎡,泗泾北星誉铭庭(招商·时代潮派)153套房屋2月16日开盘,2月8日起认购(附一房一价表)
2025年1月11日,上海市房地产交易中心官网“网上房地产”发布本市近期将上市新建商品住房项目一览表,共涉及3个项目,共计425套,分布在普陀、嘉定松江3个区域。
这批新房备案均价74058元/平方米,备案均价在6万元/平方米以下的项目2个,面积占比约40%;10万元/平方米以上的项目1个,面积占比约60%。
据“网上房地产”公开信息,项目认购比(认购组数/准售房源套数)高于入围比(入围组数/准售房源套数)的,触发计分排序规则;所有项目中凡是认购比高于1.3的,继续实行“5年限售”政策。楼盘认购和开盘日期另行公布。
3个项目中,泗泾镇有一个项目,为星誉铭庭(外婆泾路750弄)153套公寓,备案均价52377元/平方米。
星誉铭庭(备案名)即泗泾镇SJS20005单元14-01地块招商·时代潮派(推广名)项目。
此前,星誉铭庭第一批次234套、第二批次123套、第三批次102套、第四批次146套、第五批次136套、第六批次160套房屋已开盘,具体可点击以下链接查看:
▶ 泗泾北星誉铭庭(招商·时代潮派)234套公寓备案均价49701元/㎡,上海推出2024年第七批次集中供应楼盘
▶ 均价49701元/㎡,泗泾北星誉铭庭(招商时代潮派)234套房屋6月22日开盘,6月12日起认购(附一房一价表)
▶ 泗泾北星誉铭庭(招商时代潮派)234套房屋启动计分排序程序,延迟开盘
▶ 泗泾北星誉铭庭(招商·时代潮派)123套公寓近期将上市,备案均价49500元/㎡
▶ 均价49500元/㎡,泗泾北星誉铭庭(招商时代潮派)123套房屋7月28日开盘,7月20日起认购(附一房一价表)
▶ 泗泾北星誉铭庭(招商·时代潮派)102套公寓近期将上市,备案均价49803元/㎡
▶ 均价49803元/㎡,泗泾北星誉铭庭(招商·时代潮派)102套房屋9月15日开盘,9月5日起认购(附一房一价表)
▶ 泗泾北星誉铭庭(招商·时代潮派)146套公寓近期将上市,备案均价51075元/㎡
▶ 均价51075元/㎡,泗泾北星誉铭庭(招商·时代潮派)146套房屋10月1日开盘,9月26日起认购(附一房一价表)
▶ 泗泾北星誉铭庭(招商·时代潮派)136套公寓近期将上市,备案均价51664元/㎡
▶ 均价51664元/㎡,泗泾北星誉铭庭(招商·时代潮派)136套房屋11月15日开盘,11月7日起认购(附一房一价表)
▶ 泗泾北星誉铭庭(招商·时代潮派)160套公寓近期将上市,备案均价53168元/㎡
▶ 均价53168元/㎡,泗泾北星誉铭庭(招商·时代潮派)160套房屋12月25日开盘,12月14日起认购(附一房一价表)
▶ 因认购登记人数较多,泗泾北星誉铭庭(招商·时代潮派)12月25日开盘销售地点变更→
2024年1月26日,上海市松江区规划和自然资源局发布《关于松江区泗泾镇SJS20005单元14-01、17-07号地块项目(14-01地块)公示方案》,具体可点击以下链接查看:
▶ 泗泾北招商14-01号地块住宅项目设计方案公示

▲ 经济技术指标

▲ 总平面图
2024年3月12日,上海市松江区规划和自然资源局发布《关于松江区泗泾镇SJS20005单元14-01号地块商品住宅项目规划方案公示公众意见的反馈公告》,具体可点击以下链接查看:
▶ 关于泗泾北招商14-01号地块商品住宅项目规划方案公示公众意见的反馈公告
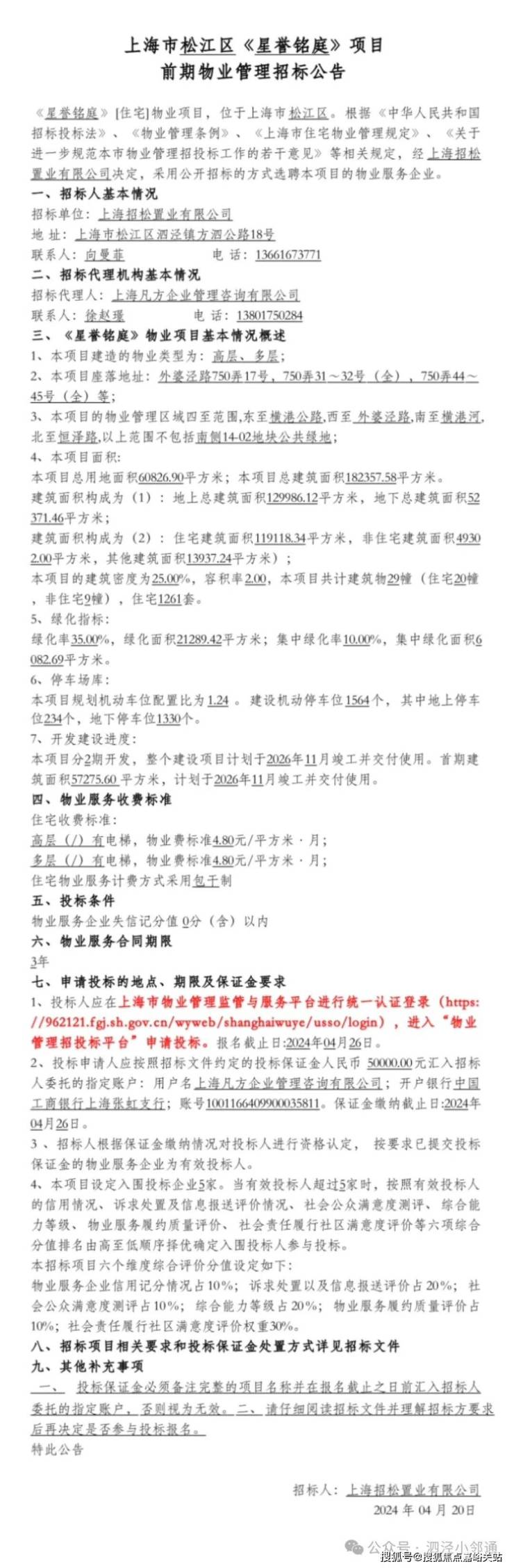
2024年4月20日,上海住宅物业网发布上海市松江区《星誉铭庭》项目前期物业管理招标公告,具体可点击以下链接查看:
▶ 泗泾北招商星誉铭庭(时代潮派)项目前期物业管理招标进行中
星誉铭庭即泗泾镇SJS20005单元14-01地块商品房项目,推广名为“招商·时代潮派”,备案名为“星誉铭庭”。
2024年5月22日,上海住宅物业网发布上海市松江区《星誉铭庭》项目前期物业管理招投标中标公告,中标企业为上海招商局物业管理有限公司,物业费标准4.80元/平方米·月(包干制)。

2024年5月10日,上海市松江区规划和自然资源局发布《关于"松江区泗泾镇SJS20005单元14-01、17-07号地块项目(14-01地块)"规划许可证变更公示》,具体可点击以下链接查看:
▶ 泗泾北招商14-01号地块住宅项目规划许可证变更公示

▲ 经济技术指标
▲ 总平面图
根据上海土地市场官方网站2024年1月10日发布的消息,太仓汇尔置业有限公司(招商蛇口)以52.5080亿元竞得泗泾地铁站北侧松江区泗泾镇SJS20005单元14-01、16-02、17-07号地块:
▲ 松江区泗泾镇SJS20005单元14-01、16-02、17-07号地块位置示意图(图片来源:“好地网上海”微信公众号)
根据国家企业信用信息公示系统,上海招松置业有限公司由太仓汇尔置业有限公司全额认缴出资,而太仓汇尔置业有限公司则由招商局蛇口工业区控股股份有限公司全额认缴出资。
出让合同部分内容
地上建设用地规划性质:14-01子地块:三类住宅组团用地,16-02子地块:商业服务业用地、文化用地、公交场站用地,17-07子地块:三类住宅组团用地、商业服务业用地。
地上建筑容积率:14-01子地块:2.0,16-02子地块:2.6,17-07子地块:2.5,计容面积14-01子地块:121653.84平方米,16-02子地块:107027.41平方米,17-07子地块:69083.5平方米。
混合用地各用途建筑面积比例:14-01子地块:三类住宅组团用地100%,16-02子地块:商业服务业用地84%、文化用地16%、公交场站用地,17-07子地块:三类住宅组团用地76%、商业服务业用地24%,具体以审定的方案为准。
地上建筑限高:14-01子地块:60米,16-02子地块:80米,17-07子地块:60米。
公共服务设施、公共空间建设要求:
1、本次出让范围内应设置建筑面积不少于1695平方米的公共服务设施,包括:14-01子地块内老年活动室236平方米(计容),居委会281平方米(计容),文化活动室118平方米(计容),日间照料中心200平方米(不计容),养育托育点360平方米(不计容),室内健身点200平方米(不计容);17-07子地块内老年活动室200平方米(计容),文化活动室100平方米(计容)。养育托管点宜布局在建筑物一层,其余公共服务设施应布局在建筑物三层以下位置,公共服务设施应临街布置,方便到达,相关建设内容应在建筑规划设计方案中明确。公共服务设施建成后权属无偿移交松江区泗泾镇人民政府。
2、14-01子地块内设置1条宽度不小于6米、长度不小于264米的公共通道(步行),公共通道两端不得设置围墙,应保持24小时向公众开放。与建筑结合设置的公共通道净空高度一般不低于4.5米。通道建议布局于地块中部,于外婆泾路和泗安路开口,须与16-02地块内通道直接连通,其位置、线型可结合方案调整。
16-02子地块内须设置1条宽度不小于9米的公共通道,公共通道端口避免设置在干路上,两端不得设置围墙,应保持24小时向公众开放。与建筑结合设置的公共通道净空高度一般不低于4.5米。通道建议呈"L"型布局于地块中部,出入口设置于外婆泾路和泗安路,并设置通往泗陈公路的步行通道,其位置、线型可结合方案调整。
其他土地、规划建设条件:16街坊建筑的二层空间与地铁站二层站台以天桥通道相衔接。
住宅套数下限:14-01子地块:1229,17-07子地块:527。
功能业态要求:16-02子地块需设置商业综合体,文化设施建筑面积不小于17905平方米,公交场站占地面积不少于12000平方米,有轨电车存车线占地面积不少于4000平方米。
16-02子地块内配置20个泊位的出租车停泊点一处,规划200个公共停车位。
16-02子地块内公交场站及有轨电车存车线的方案需经区交通委及区属运营公司审批通过,相关要求需符合公交场站及有轨电车存车线的特殊规划要求。
泗泾镇SJS20005单元14-01、16-02、17-07号地块位于泗泾地铁站北侧,14-01号地块东至横港公路,南至横港河,西至外婆泾路,北至恒泽路,用地面积60827㎡,容积率为2.0;16-02号地块东至横港公路,南至泗陈公路,西至外婆泾路,北至泗安路(规划),用地面积41164㎡,容积率为2.6;17-07号地块东至洞泾港,南至泗陈公路,西至横港公路,北至横港河,用地面积27633㎡,容积率为2.5,具体位置如下:

* 上图来自上海市规划和自然资源局官方网站此前发布的《松江区泗泾镇SJS20005(原SJSB0003)单元控制性详细规划14、16、17街坊局部调整(实施深化)》,相关地块规划如有变更,以最新内容为准。