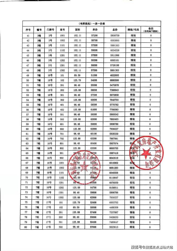
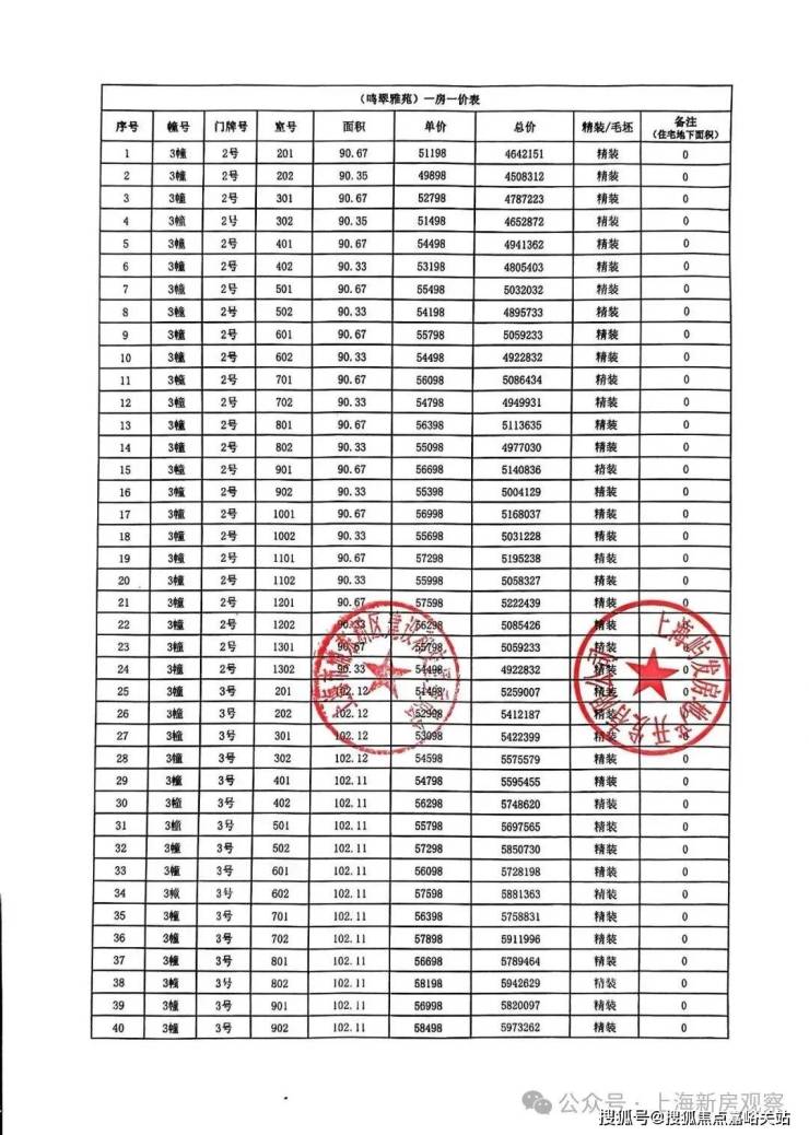
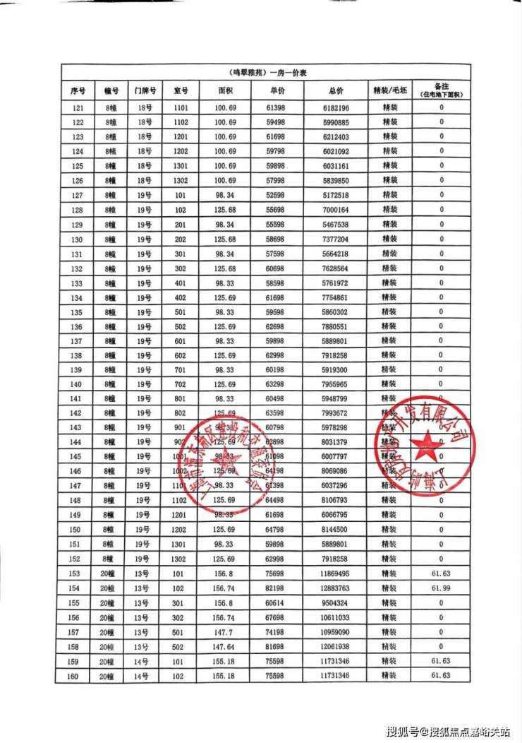
2月15日已过会均价65522元/m²!
样板房提前线上预约中!

象屿&联发联合体竞得浦东新区曹路科教园区单元(PDP0-0306)C1B-1地块,出让面积:47645.54㎡,成交总价236309万元,成交楼面价33065元/㎡,溢价率6.49%,房地联动价63000元/㎡!
根据设计方案显示,项目拟建10栋12-13F高层住宅、8栋4-6F多层住宅、1栋12F保障房以及若干社区配套用房;其中,高层住宅将推出建面约78-137㎡2-4房,全一梯两户,无连廊,装修交付,共计约502套;多层住宅将推出建面约147-159㎡叠墅产品,共计约95套。
象屿联发·金海汀雲台于10月31日首开,144套房源,认购率高达约191%并触发积分,入围分52.92分,开盘当天即告售罄!
11月,项目二期加推96套房源,认购不到1小时就越线触发积分,最终认购数273组,认购率高达283%,入围分57.37分,同样开盘售罄。
12月,项目三期热势加推建面约89-125㎡小高层与叠加,共计170套房源,最终认购数约329组,认购率约193%,并确定触发积分!
浦东积分红盘!约500万级低密墅区卷王「象屿联发·金海汀雲台」9/12号线、14号线金桥三轨交,城市墅区+科技住宅+泳池会所;将推99-125揽景小高层 &145-160㎡观澜叠墅;2月15日已过会均价65522元/m²!售楼处提前线上预约中!
象屿联发金海汀云台售楼处电话:400-8874-108✔象屿联发金海汀云台营销中心电话:400-8874-108✔✔上海象屿联发金海汀云台售楼处电话:400-8874-108 VIPLINE✔✔✔
「售楼处实拍」



高层的76㎡、99㎡、125㎡户型都采用了大横厅设计并且做到了餐客厅一体化,尺度阔绰动线流畅,无论是亲子娱乐,抑或日常运动放松,均可享受全家人各享所爱的陪伴。125㎡、137㎡户型还做了270°转角L形飘窗,实现无界视野,躺在床上就能享受环幕赏景。

▼ 建面约89㎡参考户型图

▼ 建面约99㎡参考户型图
▼ 建面约137㎡参考户型图


搭载华为鸿蒙生态的全屋智能系统,领创万物互联的智慧生活新趋势,全屋智能中控一键即可控制,纵然在外,也可照料家中的细枝末节;照明系统令随心情调节氛围灯光,家也拥有不同情绪……(仅为展示,实际落地以销售合同约定为准)。

象屿联发·金海汀雲台项目整体容积率为约1.5,呈现城市难得的低密居住体验。融合海派美学符号的建筑风格、一轴五园八境的园林规划、约2000方的光庭水院,真正让建筑生长在阳光里、树木间,繁华深处有繁花织锦。
(项目效果图过程稿)

沿着花境主轴,邂逅八大情景空间,向外,是生活语汇融洽;向内,是低密自然探寻。
象屿联发金海汀云台售楼处电话:400-8874-108✔象屿联发金海汀云台营销中心电话:400-8874-108✔✔上海象屿联发金海汀云台售楼处电话:400-8874-108 VIPLINE✔✔✔

由约2000方光庭水院带来一场治愈,鲜活的热爱涌动,下沉式会所为邻里提供交流的全新场域。


另外还将打造约1200㎡会所(含泳池)以及约1000㎡全龄段主题架空层等!

以ArtDeco建筑典范,巧妙融合海派美学符号,东西方文化精髓完美交融,流露出典雅而不失时尚气息。

超广角横屏配合15°建筑转向,有了与阳光的亲和关系,才能拥有乍见的欢喜和久处的温暖。

现在,这样的机会就在眼前,在这座城市繁华的焦点,拥抱人心深处自然的源点;
以公园为界,将喧嚣与尘埃过滤在外;也以水岸为蓝图,长出花木、长出建筑、长出谧境里的热爱。
景观方面,「象屿联发·金海汀雲台」融合海派美学符号的建筑风格,以一轴五园七境+五大园林聚场的景观空间规划,打造金桥崭新的美学人居封面。

一条精心设计的花境主轴,自门至厅,层层递进,沿途的水景潺潺,串联起归家的温馨之路,每一步都充满了仪式感与诗意,品质归家动线独具匠心!

五大园邻聚场,各具特色,引力客厅、童梦乐园、活力运动场、萌宠乐园、阳光草坪,每一处都是居民休闲娱乐的绝佳去处。移步换景之间,尽享生活的乐趣与美好,丰富邻里生活!

第二,建面约1600㎡无边泳池+多主题下沉式会所!
在走进社区内,光是一座建面约1600㎡的下沉式会所,就足以看出开发商的诚意。这一配置放眼整个上海约500万级的市场中,屈指可数!
试想一下夏天,别人在下饺子般的游泳中心“内卷”,而你和家人在小区配套的泳池“躺平”,这就是区别,这就是更高端的生活方式。这既是格调的象征,也能在无形中为二手房加分。

同时,项目也在2个楼栋里,精心打造了架空层,细分了全龄化的办公、学习、娱乐等八大情景空间,为业主日常生活平添意趣。

领先的人居,必有领先的智能眼界。引入华为鸿蒙智慧体系,兼备智慧安防、智慧家庭、智慧服务,由内而外打造智能时代的智慧家.以高科技生产力解放生活.带来“未来感”居住体验。

象屿联发·金海汀雲台的亮相,势必让市场目光聚焦一处,集产业、交通、商业利好于一体,将国企开发商的实力表现得淋漓尽致,值得想在金桥置业的每个人持续关注。
曹路位于浦东东部,分别和金桥、唐镇等板块接壤。曹路镇西临外环,东至东海,2000年由顾路镇和龚路镇合并而来。曹路镇紧靠外环线,距离人民广场直线距离约19公里,大部分位于外环外。
外环内的区域为目前正在开发的金桥通四地区和金桥轨道交通基地的一部分。我们现在介绍的曹路板块主要指的是位于外环外的部分。
2009年,上海外环外规划了六大动迁基地,分别是顾村、江桥、泗泾、浦江、周康和曹路。作为中心城区的延伸,动迁基地的发展脉络具备相似性。动迁能短时间聚集人口,但动迁房的品质和规模也桎梏了板块房地产的发展,未来转型困难,配套往往后继乏力,很容易形成“睡城”。
曹路虽然和其他动迁基地一样属于市区延伸,在外环附近。但曹路距离长江也很近,上海市郊环线穿过曹路镇东部,可以说曹路既是外环板块,又是城市边缘。
从城市总体层面来看,总有板块需要承担一些邻避设施。那么又远又近,郊区属性高于其他动迁基地的曹路只能做出牺牲。从9号线终点站曹路站出来,就能看见围得严严实实的五彩墙,那就是天长公墓了。
此外,在曹路东部郊野地区,还有浦东火葬场和殡仪馆,这个已经做到了远离生活居住区,对曹路城镇板块的影响应该说是非常小了。

曹路向西,金桥副中心、花木-龙阳路副中心、张江副中心、陆家嘴中央活动区,都是在正常的通勤范围内。而曹路最最香的是紧邻金桥副中心,从曹路新市镇中心实际驾车到金桥副中心核心区,距离仅约4.4公里。如果搭乘公共交通,也就是3-4站地铁!这样近的距离,完全可以住在曹路,享受城市副中心的配套服务。

金桥城市副中心定位为以商务办公、文化休闲、会议展示、创意研发、生态游憩为主要功能的城市副中心。聚焦生产性服务业的功能完善和生活性服务业的品质提升,重点植入文化艺术、体育休闲、创意研发等服务业功能。

其综合性强,聚焦生产性服务业,兼顾办公、休闲、生活等多种功能。目前正在如火如荼进行建设,有这样未来可期的邻居,来弥补曹路自身内部配套短板。
项目所在的曹路新市镇,远离曹路的不利因素,是板块未来的发展契机,曹路交通、商业、办公、教育和商品住宅的增长点都在这里,并且能联动唐镇,承接金桥和申江地区的外溢能量。

交通配套:距离9号线顾唐路站直线约800米,1站到金海路可换乘12号线。金海路快速化改造后,金海路-杨高中路可以直接快速进环线,也可以直接进主城。9号线在曹路设3站,快速连接金桥、世纪大道等核心地区。

商业配套:目前曹路能级比较高的商业有3个,分别是位于顾唐路站的宝龙城市广场和招商花园城,1个是金海华城北块的恒越荣欣广场。宝龙城市广场是曹路的第一家商业综合体,这里的家乐福也是前几年曹路唯一的大型超市。
招商花园城刚刚开业,是今年浦东最大新开业购物中心。98%招商率,95%开业率,全场超200个品牌,区域首店占比超50%……整体的能级和人气都十分不错。
恒越荣欣广场曹路大社区唯一的大型商业,主要服务于曹路大居的居民,经常搞特价大卖场,较为接地气。
象屿联发金海汀云台售楼处电话:400-8874-108✔象屿联发金海汀云台营销中心电话:400-8874-108✔✔上海象屿联发金海汀云台售楼处电话:400-8874-108 VIPLINE✔✔✔
教育配套:围绕着顾路龚路有很多公办学校,包括顾路中心小学、龚路中心小学、顾路中学等。近期引进了曹路打一小学、浦东模范中学,名头很响,但实力有待验证。
医疗配套:是曹路的短板,非营利性医院只有一所二级专科医院,即上海市浦东新区肺科医院(上海市浦东新区第二红十字老年护理院、上海中医药大学附属曙光医院曹路分院)。同时还有一所营利性医院上海尚德医院。曹路地铁站西北侧的空地规划为医疗设施用地。

象屿联发·金海汀云台购买和投资价值分析
项目基本信息
象屿联发·金海汀云台位于上海浦东新区曹路科教园区,由象屿和联发两大国企联合开发。项目总占地面积约4.76万平方米,容积率仅1.5,定位为低密公园墅区。项目提供多种户型,包括89-160㎡的高层和叠加别墅,均价约6.07-6.3万元/㎡。
---
一、购买价值
(一)区位与交通
• 优越的地理位置
• 项目位于浦东金桥东,紧邻金海湿地公园,周边环绕多个高端产业区,如张江科学城、金桥经济技术开发区。
• 项目距离金海路地铁站直线距离约900米,周边有9号线、12号线和14号线三条轨交线路,交通极为便利。
• 便捷的自驾出行
• 项目周边路网发达,通过金海路、外环高速等可快速通达上海市区及周边区域。
(二)配套设施
• 丰富的商业配套
• 项目周边有招商花园城、宝龙广场、浦发上城等大型商业综合体,满足居民的购物和休闲需求。
• 优质的教育资源
• 周边有多所学校,包括顾路中心小学、龚路中学、浦东复旦附中分校等,教育资源丰富。
• 完善的医疗配套
• 项目周边有多家医疗机构,能够满足居民的基本医疗需求。
• 优越的生态环境
• 项目西侧即为金海湿地公园,居民可享受绿色健康的自然生活。
(三)产品与社区品质
• 低密住区设计
• 项目容积率仅1.5,建筑最高仅13层,居住舒适度高。
• 高品质建筑设计
• 项目采用Art Deco建筑风格,融合海派美学,打造高颜值立面。
• 高端社区配套
• 社区内配备1600㎡下沉式会所,包括恒温泳池、健身房、书吧、瑜伽室等,提供星级酒店般的居住体验。
• 多样化的户型选择
• 提供89-160㎡的高层和叠加别墅,满足不同家庭的需求。
(四)价格优势
• 性价比高
• 项目均价约6.07-6.3万元/㎡,相比周边金桥和张江的房价(8万+),价格优势明显。
• 低总价上车机会
• 89㎡户型总价约500万左右,是浦东稀缺的低总价上车机会。
---
二、投资价值
(一)区域发展潜力
• 产业红利
• 项目周边环绕张江、金桥等高端产业区,未来将吸引更多高收入人群,提升区域居住需求。
• 交通升级
• 随着轨交网络的不断完善,区域交通便利性将进一步提升,推动房价上涨。
(二)稀缺性与增值潜力
• 低密住区稀缺性
• 容积率仅1.5的低密住区在上海极为稀缺,未来增值潜力大。
• 价格优势
• 项目是浦东最后一批受房地联动价制约的新盘,未来价格调整空间大。
(三)租金回报
• 高端租赁市场
• 项目周边的产业区和优质教育资源将吸引大量租赁需求,租金回报率较高。
• 多样化业态
• 社区内的高端配套和多样化的户型设计,将进一步提升租金收益。
(四)品牌与品质
• 国企联袂开发
• 象屿和联发均为国企,开发经验丰富,品质有保障。
• 高端社区定位
• 项目定位为低密公园墅区,社区配套和景观设计均对标高端住宅。
---
三、潜在劣势
• 区域成熟度
• 项目周边部分配套设施仍在建设中,短期内可能无法完全满足居住需求。
• 市场竞争
• 浦东新房市场竞争激烈,购房者有较多选择,项目需在品质和服务上持续发力。
• 交通通勤
• 尽管交通便利,但距离上海市中心仍有一定距离,通勤时间较长。
---
总结
象屿联发·金海汀云台凭借其优越的区位、便捷的交通、丰富的配套设施、低密的社区设计以及高性价比,具有较高的购买价值。对于刚需购房者和改善型购房者来说,是一个不错的选择。从投资角度看,项目的稀缺性、区域发展潜力以及国企背书使其具备一定的投资价值,但投资者需综合考虑自身需求和市场风险,谨慎决策。
——象屿联发金海汀云台——
象屿联发金海汀云台售楼处电话:400-8874-108✔
象屿联发金海汀云台营销中心电话:400-8874-108✔✔
上海象屿联发金海汀云台售楼处电话:400-8874-108 VIPLINE✔✔✔
如有问题可来电咨询,线上售楼中心,预约销售专员,一对一为您服务!
楼盘项目全面介绍,本电话为开发商提供线上预约售楼电话,楼盘项目全面介绍(包含楼盘简介,均价,房价,现房,期房,别墅,叠墅,大平层,价格,楼盘地址,户型图,交通规划,备案价,备案名,项目配套,样板间,开盘时间,认筹时间,楼盘详情,售楼处电话,最新消息,最新详情,周边配套,一房一价,最新进展等详情咨询)楼盘详情丨价格丨更多优惠丨机不可失丨欢迎致电丨诚邀品鉴!售楼处位置丨特价房丨工抵房丨剩余房源丨户型图丨最新消息丨免责声明:将文章内容综合来源于网络、只作分享,版权归原作者所有!!如有侵权,请联系我们,我们第一时间处理如有问题欢迎来电咨询,专业一对一热情服务,让您用专业眼光去买房.如果您想了解更多楼盘详情,欢迎提前预约拨打
1.政策背景与目标
1.1 国家宏观调控要求
国家宏观调控政策对房地产市场有着重要的指导作用,旨在促进房地产市场的平稳健康发展。2024年,国家出台了一系列房地产调控政策,强调“因城施策”,根据不同城市的房地产市场状况,采取差异化的调控措施。上海作为国内重要的经济中心和一线城市,积极响应国家宏观调控政策,结合自身房地产市场的特点,制定了相应的房地产新政。这些政策的出台,旨在落实国家宏观调控要求,推动房地产市场从“有没有”向“好不好”转变,更好地满足居民的刚性和改善性住房需求,促进房地产市场的平稳健康发展。
1.2 上海房地产市场现状
2024年,上海房地产市场在政策支持下,经历了从低迷到逐步回暖的过程。根据上海市统计局的数据,2024年上海房地产开发投资比上年增长2.8%,但商品房施工面积下降4.5%,其中住宅施工面积下降5.2%;商品房新开工面积下降8.5%,其中住宅新开工面积下降11.4%;商品房竣工面积下降19.1%,其中住宅竣工面积下降29.5%;商品房销售面积下降8.5%,其中住宅销售面积下降6.9%。这些数据表明,上海房地产市场在2024年整体呈现一定的下行压力,但随着政策的调整和市场的逐步适应,市场信心有所回升。
从市场表现来看,新房市场供应减少,成交689万平方米,同比下降24%。二手房市场则在四季度929新政和税费政策的推动下,成交显著回暖,市场信心回升。土地市场方面,2024年上海土地市场热度低迷,全年含宅土地成交规模收缩6成,但从七批次起供应质素上升,热度有所回升。整体来看,上海房地产市场在2024年呈现出一定的分化态势,新房市场面临供应减少和成交下滑的双重压力,而二手房市场则在政策利好下逐步回暖,土地市场则在供应结构调整和市场预期改善的双重作用下,热度有所回升。
在这种市场背景下,上海房地产新政的出台,旨在通过优化税收政策、调整限购政策、降低交易成本等措施,进一步促进房地产市场的平稳健康发展。这些政策的实施,不仅有助于缓解市场下行压力,稳定市场预期,还为居民的合理住房需求提供了更多的支持和保障,推动房地产市场向高质量发展阶段迈进。
:[上海新政官宣后,买房到底能省多少钱?解读来了!新旧政策对照表]()#2.限购政策调整
2.1 非沪籍居民购房条件放宽
2024年9月29日上海出台的房地产新政中,对非沪籍居民购房条件进行了显著放宽。此前,非沪籍居民在沪购房需连续缴纳社保或个税满3年,而此次调整将这一年限缩短至1年。这一政策调整主要针对外环外住房的购买,降低了非沪籍居民的购房门槛,有助于吸引更多人才来沪定居和创业。
从市场数据来看,非沪籍人群在上海新房市场中占有重要地位。自“沪九条”施行以来,购房者中超20%为非沪籍人群,其中60%以上购买的是外环外的新房。此次政策调整,将进一步激发非沪籍居民的购房需求,促进外环外房地产市场的活跃度,推动区域经济的发展。
2.2 持居住证群体购房待遇提升
此次新政还提升了持《上海市居住证》且积分达到标准分值群体的购房待遇。具体而言,持有《上海市居住证》且积分达到120分、在本市缴纳社保或个税满3年的非沪籍居民家庭,在购买住房套数方面,将享受与沪籍居民家庭相同的购房待遇。这意味着,符合条件的非沪籍家庭在购房时不再受到额外限制,能够更自由地选择住房,满足其刚性和改善性住房需求。
根据上海市居住证积分管理办法,达到标准分值的持证人可享受子女教育、社会保险等公共服务待遇。此次购房待遇的提升,进一步增强了居住证的含金量,吸引更多人才在上海长期发展,为城市注入新的活力。
2.3 临港新片区差异化政策
在自贸区临港新片区,上海实施了更加差异化的购房政策。对于在临港工作、存在职住分离的群体,在执行现有住房限购政策的基础上,可在新片区增购1套住房。这一政策旨在促进临港新片区的职住平衡,降低通勤成本,推动产城融合发展。
临港新片区作为上海的重要战略区域,承担着吸引人才、推动产业升级的重要任务。此次购房政策的调整,将有助于吸引更多人才在临港新片区定居和就业,提升区域的人口吸引力和竞争力。同时,这一政策也将进一步优化临港新片区的住房资源配置,促进房地产市场的健康发展。
:[上海重磅发布!调整住房限购!降低首付比例!来看权威解读!]()#3.信贷政策优化
3.1 存量房贷利率下调
2024年9月29日上海出台的房地产新政中,落实了国家关于降低存量房贷利率的政策,引导商业银行稳妥有序将存量房贷利率降至新发放贷款利率附近。这一政策调整,旨在减轻购房人的房贷利息支出,降低居民的住房消费成本,进一步刺激住房需求的释放。
从市场数据来看,存量房贷利率下调对购房者的影响显著。以100万元的房贷为例,假设贷款期限为30年,利率从4.5%降至4.2%,每月还款额可减少约180元,总利息支出减少约6.5万元。这一政策的实施,不仅减轻了购房者的经济负担,也提高了他们的购房意愿和能力,对稳定房地产市场起到了积极的推动作用。
3.2 首付比例降低
此次上海新政进一步降低了商业性个人住房贷款的首付比例。首套住房商业性个人住房贷款最低首付款比例从20%下调至15%,二套房贷从35%下调为25%,实行差异化政策区域从30%下调至20%。这一调整显著降低了购房门槛和首付成本,使更多的家庭能够实现购房梦想。
从市场数据来看,首付比例的降低对购房需求的刺激作用明显。以500万元的房产为例,首套房首付比例从20%降至15%,购房者可少付25万元首付;二套房首付比例从35%降至25%,购房者可少付50万元首付。这一政策调整,不仅降低了购房者的资金压力,也提高了市场的活跃度,促进了房地产市场的交易。
:[上海新政官宣后,买房到底能省多少钱?解读来了!新旧政策对照表]()#4.税收政策调整
4.1 增值税征免年限缩短
2024年9月29日上海出台的房地产新政中,增值税征免年限从5年调整为2年。这一调整对房地产市场产生了显著影响,不仅降低了交易成本,还进一步刺激了改善性住房需求的释放。
从市场数据来看,增值税征免年限的缩短对二手房市场的活跃度提升作用明显。以一套价值500万元的房产为例,假设原增值税率为5%,此前持有不足5年的房产出售需缴纳增值税约25万元,而新政后,持有满2年即可免征增值税,这大大降低了房东的售房成本。这一政策调整不仅提高了房东的挂牌意愿,也使得购房者在选择二手房时有更多的机会和更低的成本,进一步促进了房地产市场的流通。
4.2 普通住房标准取消
此次上海新政还取消了普通住房标准和非普通住房标准。此前,普通住房标准与增值税、契税等税收政策挂钩,对购房者的交易成本产生较大影响。取消普通住房标准后,税收政策更加简化和统一,有助于降低购房者的交易成本。
从市场数据来看,取消普通住房标准后,增值税和契税的减免范围扩大,购房者在交易过程中能够享受到更多的税收优惠。例如,对于面积超过144平方米的住房,此前需按照非普通住房标准缴纳较高的增值税和契税,而新政后,这些住房在交易时可享受与普通住房相同的税收政策。这一调整不仅降低了购房者的负担,还进一步促进了大户型住房的交易,推动了房地产市场的多元化发展。
:[上海新政官宣后,买房到底能省多少钱?解读来了!新旧政策对照表]()#5.政策影响分析
5.1 对刚需购房者的影响
上海房地产新政对刚需购房者产生了显著的积极影响,主要体现在以下几个方面:
• 购房门槛降低:非沪籍居民购房社保缴纳年限从3年缩短至1年,使更多刚需购房者具备购房资格。例如,自“沪九条”施行以来,购房者中超20%为非沪籍人群,其中60%以上购买的是外环外的新房。此次政策调整,将使这部分人群更快获得购房资格,满足其刚需购房需求。
• 购房成本减少:首付比例下调对刚需购房者资金压力的缓解作用十分明显。首套住房商业性个人住房贷款最低首付款比例从20%下调至15%,以500万元的房产为例,购房者可少付25万元首付。存量房贷利率下调也减轻了刚需购房者的房贷利息支出,以100万元的房贷为例,假设贷款期限为30年,利率从4.5%降至4.2%,每月还款额可减少约180元,总利息支出减少约6.5万元。
• 市场信心增强:新政的实施使刚需购房者对房地产市场的预期更加乐观,购房意愿显著提升。从市场数据来看,新政后新房日均来访环比大涨131%,外环外来访、认购增长远超过外环内项目。这表明刚需购房者对市场信心的恢复和购房积极性的提高,推动了房地产市场的活跃度。
5.2 对改善型需求的影响
改善型购房者在新政中也获得了诸多利好,具体表现如下:
• 交易成本降低:增值税征免年限从5年调整为2年,对改善型购房者来说,降低了置换房产的成本。例如,一套价值500万元的房产,此前持有不足5年的房产出售需缴纳增值税约25万元,而新政后,持有满2年即可免征增值税。此外,取消普通住房标准后,大户型住房在交易时可享受与普通住房相同的税收政策,进一步降低了改善型购房者的交易成本。
• 购房门槛降低:二套房贷首付比例从35%下调为25%,实行差异化政策区域从30%下调至20%,使改善型购房者更容易实现换房需求。以500万元的房产为例,二套房首付比例下调后,购房者可少付50万元首付,大大降低了改善型购房的资金压力。
• 市场活跃度提升:新政对改善型住房需求的支持,促进了二手房市场的活跃度。新政后二手房日均成交量均超2023年同期,10.7至10.20日两周日均成交超过900套,远超新政前日均542套的水平,同比2023年大涨超过50%。这表明改善型购房者在新政的刺激下,更加积极地参与市场交易,推动了房地产市场的流通和活跃。
5.3 对房地产市场供需的影响
上海房地产新政对房地产市场的供需关系产生了深远影响,具体如下:
• 需求端:
• 需求释放:新政通过降低购房门槛、减少购房成本等措施,激发了刚需和改善型购房者的购房需求。从市场数据来看,新政后新房、二手房成交量均出现明显的回升。例如,新政后第三周新房成交量大幅上涨,日均成交180套,远超9月份日均120套的水平;二手房市场成交热度上升明显,新政后二手房日均成交量均超2023年同期。
• 需求结构优化:新政对不同区域和不同类型住房需求的刺激作用不同,促进了房地产市场需求结构的优化。外环外项目来访、认购增长远超过外环内项目,这表明新政对非沪籍居民购房需求的释放作用明显,有助于优化城市人口布局和区域经济发展。
• 供给端:
• 市场信心提升:新政的实施使房地产开发企业和中介机构对市场预期更加乐观,增强了其开发和销售的信心。从市场表现来看,土地市场在新政的推动下,热度有所回升。例如,2024年上海土地市场热度低迷,但从七批次起供应质素上升,热度有所回升。这表明开发企业对市场的信心增强,愿意加大土地投资和开发力度。
• 供应结构调整:新政对不同区域和不同类型住房的政策差异,促使房地产开发企业调整供应结构,以更好地满足市场需求。例如,在临港新片区实施更加差异化的购房政策,吸引人才在临港新片区定居和就业,开发企业可能会增加临港新片区的住房供应。同时,取消普通住房标准后,大户型住房的交易更加活跃,开发企业可能会适当增加大户型住房的供应。
:[【专题】上海929新政后市场及政策效果分析-腾讯网]()#6.政策实施与监管
6.1 政策执行主体与职责
上海房地产新政的实施涉及多个部门的协同合作,确保政策的有效执行和落实。
• 市住房城乡建设管理委:作为主要的政策执行主体之一,负责统筹协调房地产市场调控政策的实施,制定具体的实施细则和操作流程,确保政策在全市范围内的一致性和有效性。例如,明确非沪籍居民购房条件的调整细则,指导各区在实际操作中准确执行政策。
• 市房屋管理局:承担房地产交易管理的具体职责,负责审核购房资格、监督房地产交易过程,确保交易的合法性和规范性。在新政实施过程中,市房屋管理局需加强对购房资格审核的管理,防止不符合条件的人员违规购房,同时优化交易流程,提高办事效率,方便购房者办理相关手续。
• 市规划资源局:从土地供应和规划的角度,为房地产市场的平稳发展提供支持。根据新政的要求,合理调整土地供应计划,优化土地出让条件,保障房地产市场的土地供应,促进房地产市场的供需平衡。
• 市税务局:负责税收政策的调整和执行,确保税收政策的落实到位。在新政中,增值税征免年限的调整和普通住房标准的取消等税收政策变化,需要市税务局制定详细的税收征管措施,加强对房地产交易环节的税收监管,防止税收漏洞,保障税收政策的公平性和有效性。
• 人民银行上海总部与上海金融监管局:负责住房信贷政策的调整和监管,引导商业银行落实降低存量房贷利率、调整首付比例等政策。确保金融机构在执行信贷政策过程中,严格遵守国家和地方的相关规定,防范金融风险,同时为合理住房需求提供有力的金融支持。
6.2 监管措施与违规处理
为确保房地产新政的顺利实施,上海采取了严格的监管措施,并明确了违规处理机制,以维护房地产市场的正常秩序。
• 监管措施:
• 建立信息共享平台:各部门之间建立信息共享机制,通过信息化手段实现购房资格审核、交易记录、税收缴纳等信息的实时共享。这有助于提高监管效率,及时发现和处理违规行为,防止信息不对称导致的问题。
• 加强市场监测与分析:定期对房地产市场进行监测和分析,及时掌握市场动态和政策执行效果。根据市场变化,适时调整监管策略,确保政策目标的实现。例如,通过监测新房和二手房的成交量、价格走势等指标,评估政策对市场供需的影响,及时发现潜在风险。
• 强化执法检查:加强对房地产开发企业、中介机构和金融机构的执法检查,确保其严格遵守相关政策规定。定期开展专项检查活动,重点打击违规销售、虚假宣传、违规放贷等行为,维护市场秩序。
• 公众监督与举报机制:建立健全公众监督和举报机制,鼓励社会公众对房地产市场中的违法违规行为进行监督和举报。通过设立举报热线、网络举报平台等方式,拓宽监督渠道,提高公众参与度,形成全社会共同监督的良好氛围。
• 违规处理:
• 对房地产开发企业和中介机构的处罚:对于违规销售、虚假宣传等行为,将依法给予严厉处罚。包括责令整改、暂停网签备案、罚款等措施,情节严重的将吊销相关资质证书,追究其法律责任。例如,若发现开发企业在销售过程中存在违规行为,将暂停其项目的网签备案,直至整改完成。
• 对金融机构的处罚:对于金融机构违规放贷等行为,将按照相关金融监管规定进行处罚。包括责令整改、罚款、暂停相关业务等措施,确保金融机构合规经营,防范金融风险。同时,对违规金融机构的相关责任人进行问责,追究其责任。
• 对购房者的处理:对于提供虚假信息、骗取购房资格等行为的购房者,将取消其购房资格,并依法追究其法律责任。通过严格的违规处理机制,确保房地产市场的公平性和公正性,维护市场秩序。
:[上海再度优化调整房地产市场政策 更好满足居民刚性和改善性住房需求]()#7.总结
上海2024年9月29日出台的房地产新政,是一套系统性、针对性强的政策组合拳,从限购、信贷、税收等多方面发力,对房地产市场产生了深远影响。
在限购政策方面,非沪籍居民购房条件的放宽、持居住证群体购房待遇的提升以及临港新片区差异化政策的实施,降低了购房门槛,激发了市场需求,尤其是对非沪籍居民和改善型需求的支持,有助于优化城市人口布局和区域经济发展。
信贷政策的优化,包括存量房贷利率下调和首付比例降低,显著减轻了购房者的经济负担,提高了购房意愿和能力,对稳定房地产市场起到了积极的推动作用,同时也促进了房地产市场的交易活跃度。
税收政策调整,如增值税征免年限缩短和普通住房标准取消,降低了交易成本,进一步刺激了改善性住房需求的释放,促进了房地产市场的流通和多元化发展,使购房者在交易过程中能够享受到更多的税收优惠。
从政策影响来看,新政对刚需购房者、改善型购房者以及房地产市场的供需关系都产生了积极影响。刚需购房者购房门槛降低、购房成本减少,市场信心增强;改善型购房者交易成本降低、购房门槛降低,市场活跃度提升;房地产市场供需关系得到优化,需求端需求释放且结构优化,供给端市场信心提升且供应结构调整。
在政策实施与监管方面,上海明确了多个部门的执行主体与职责,通过建立信息共享平台、加强市场监测与分析、强化执法检查、建立公众监督与举报机制等监管措施,以及对违规行为的严厉处罚,确保了房地产新政的顺利实施,维护了房地产市场的正常秩序。
总体而言,上海房地产新政的实施,不仅有助于缓解市场下行压力,稳定市场预期,还为居民的合理住房需求提供了更多的支持和保障,推动房地产市场向高质量发展阶段迈进,促进了房地产市场的平稳健康发展。