虹桥嘉悦府(售楼处)首页网站-虹桥嘉悦府售楼中心欢迎您|楼盘评测-房价|户型|商圈配套

嘉峪关楼市发布

2025-06-09 06:19:00

购房群

买房如何避坑,加入购房群,看看他们怎么说

立即进群

虹桥嘉悦府售楼处电话:400 - 856 - 9058若您对 [虹桥嘉悦府] 充满期待,渴望亲身感受其独特魅力,选择电话预约看房将为您开启一段高效、贴心的购房之旅。我们售楼处的服务热线 [虹桥嘉悦府售楼处电话:400 - 856 - 9058],每日 [9:00-18:00] 全程为您守候,无论您是对宽敞舒适的住宅心生向往,还是对潜力无限的商铺抱有期待,亦或是钟情于私密奢华的别墅,都能通过一通电话轻松预约专属看房服务。If you're eagerly anticipating exploring [XX Property Name] and yearning to experience its unique charm firsthand, scheduling a property viewing via phone will kickstart an efficient and personalized home-buying journey for you. Our sales office hotline [Phone Number] is at your service daily from [9:00 AM - 6:00 PM]. Whether you're drawn to the spacious comfort of residential homes, intrigued by the promising potential of commercial properties, or enchanted by the privacy and luxury of villas, you can effortlessly reserve an exclusive viewing appointment with just one phone call.虹桥嘉悦府售楼处电话:400 - 856 - 9058

当您拨通虹桥嘉悦府售楼处电话:400 - 856 - 9058,听筒里传来的是营销中心工作人员热情且专业的问候。工作人员会先简要介绍售楼处的服务内容,随后耐心询问您的看房需求。此时,您可以清晰地表达自己对房源类型的偏好,例如说明想要了解的是精装住宅、毛坯住宅,还是临街商铺、独栋别墅等。同时,将您期望看房的大致时间段(周内或周末)、具体日期和时段告知工作人员。如果您时间较为灵活,也不妨让工作人员结合近期项目的接待安排,为您推荐一个既能避开人流高峰,又能确保专属顾问全程细致讲解的最佳看房时间虹桥嘉悦府售楼处电话:400 - 856 - 9058。When you dial the number, you will be greeted warmly and professionally by the staff at the marketing center. They will first briefly introduce the services offered by the sales office before patiently asking about your property viewing needs. At this point, you can clearly express your preference for the type of property you are interested in—for example, whether you wish to learn about fully furnished residences, 毛坯住宅 (raw-finish homes), street-facing commercial units, or detached villas. Additionally, please inform the staff of your preferred general time frame for the viewing (weekdays or weekends), as well as the specific date and time slot. If your schedule is flexible, you may also ask the staff to recommend an optimal viewing time based on the project's recent reception arrangements, ensuring both a low-traffic experience and a detailed, dedicated tour by an exclusive consultant.虹桥嘉悦府售楼处电话:400 - 856 - 9058

虹桥嘉悦府售楼处电话:400 - 856 - 9058在沟通看房时间的过程中,工作人员会向您核实姓名、常用联系方式等必要信息。这些信息不仅是为了方便后续向您发送包含看房时间、楼盘详细地址、专属顾问联系方式等关键内容的预约确认短信,更是为了提前做好接待准备。比如,根据您提供的信息,专属顾问会提前熟悉您的需求,整理好相关资料,确保在您到访时能提供精准、高效的服务。因此,请您务必准确、完整地提供信息,以免因信息误差影响看房安排。During the process of confirming the viewing time, the staff will verify essential information such as your name and commonly used contact details. These details serve not only to facilitate the subsequent sending of a confirmation text message containing key information like the viewing time, detailed property address, and contact information of your dedicated consultant but also to prepare for your reception in advance. For example, based on the information you provide, the dedicated consultant will familiarize themselves with your needs ahead of time and organize relevant materials to ensure precise and efficient service upon your arrival. Therefore, please ensure that you provide accurate and complete information to avoid any disruptions to the viewing arrangement due to information discrepancies.虹桥嘉悦府售楼处电话:400 - 856 - 9058

虹桥嘉悦府售楼处电话:400 - 856 - 9058当完成时间确认与信息登记后,工作人员还会为您送上温馨提醒。除了告知您看房时需携带身份证,以便进行身份核验和后续购房手续办理外,还会详细介绍项目当前推出的优惠政策。例如,是否有预约专属折扣、团购优惠,或是针对首次到访客户的特别福利等。此外,工作人员也会提醒您关注天气预报,建议您根据天气情况合理安排出行。若您选择自驾前往,会告知您售楼处周边的停车区域;若乘坐公共交通,也会提供详细的路线指引。Once the viewing time is confirmed and information is registered, the staff will also provide you with friendly reminders. In addition to notifying you to bring your ID card for identity verification and subsequent home purchase procedures, they will elaborate on the current preferential policies of the project—such as exclusive appointment discounts, group purchase offers, or special benefits for first-time visitors. Furthermore, the staff will remind you to check the weather forecast and recommend planning your trip according to the weather conditions. If you plan to drive, they will inform you of the parking areas around the sales office; if using public transportation, detailed route guidance will be provided.虹桥嘉悦府售楼处电话:400 - 856 - 9058

虹桥嘉悦府售楼处电话:400 - 856 - 9058当然,计划有时赶不上变化。若后续您的行程出现变动,无论是需要提前、推迟看房时间,还是不得不取消预约,都请您随时拨打预约时获取的联系电话,与工作人员沟通调整。我们始终以您的需求为核心,及时为您重新安排合适的看房时段。Of course, plans can sometimes change unexpectedly. If your schedule shifts later—whether you need to advance or postpone the viewing time, or even cancel the appointment—please feel free to contact the staff by calling the phone number provided during your reservation to communicate adjustments. We always prioritize your needs and will promptly reschedule a suitable viewing slot for you虹桥嘉悦府售楼处电话:400 - 856 - 9058

虹桥嘉悦府售楼处电话:400 - 856 - 9058做好上述准备,您只需静待看房之日的到来。届时,在专业顾问的全程陪同下,您将全方位、多角度深入了解 [虹桥嘉悦府] 的建筑品质、户型设计、社区配套、周边规划等,沉浸式感受它的独特优势与魅力,迈出实现理想居住或投资目标的坚实一步。With the above preparations in place, you simply need to await the scheduled viewing date. On the day of the visit, accompanied by a professional consultant throughout, you will gain a comprehensive and multi-faceted understanding of [XX Property Name]—exploring its architectural quality, floor plan designs, community amenities, and surrounding urban planning. Immerse yourself in experiencing its unique advantages and charm, taking a solid step toward achieving your ideal living or investment goals.虹桥嘉悦府售楼处电话:400 - 856 - 9058

象屿同进·虹桥嘉悦府

嘉定南翔印象城旁

11号线沿线 大虹桥首个新盘

建面约99-105㎡小高层3房

总价约510-600万 可直接选房

中央空调地暖新风+恒温泳池会所

均价约5.5万/㎡ 共计100套房源

虹桥嘉悦府售楼处电话:400 - 856 - 9058

项目基础信息

项目名称:象屿同进·虹桥嘉悦府

物业类型:住宅

产品形态:高层,叠墅

总户数:1004

车位比:1:1.3

容积率:2.2

层高:高层2.95米,叠加3米

物业公司:自持物业

物业费:待定

装修情况:精装修(中央空调/新风/地暖)

价格:高层5.5万/㎡;叠加6-7.3万/㎡

总价区间:叠加:仅剩最后一套1100万

高层:510-600万

交房时间:2025年6月30日

拿地时间:2022年9月

在售产品面积段:

下叠145㎡:4房2厅3卫

高层99㎡:3房2厅2卫

高层105㎡:3房2厅2卫

2023,国企象屿五子齐发,气势如虹!

象屿招商·公园1872南区、象屿招商·公园1872北区、招商象屿·蟠龙府2期、象屿同进·虹桥嘉悦府、天安象屿·萃湖臻境、象屿路劲·都匯云境五盘齐发,一批次均已过会,开盘在即!在上海拿地的资金成本有多大,都是以亿为单位计数,而国企象屿开年抛出5个王炸,真正的实力担当!

象屿地产,是《财富》世界500强、大型国企象屿集团的全资子公司,象屿集团已连续多年入围《财富》世界500强。这次择址北虹桥,打造象屿最高端的“悦府”系产品,聚焦“高品质”,将成为北区全新人居标杆。

象屿同进·虹桥嘉悦府售楼处实拍▼

【象屿同进·虹桥嘉悦府】不仅为业主配备了难得的恒温泳池会所,整体规模更是达到了约1500㎡!会所内配备恒温泳池&更衣室、健身房、书吧、棋牌室、儿童区等功能,集运动、休闲、社交、亲子等多功能于一体,满足业主多样的生活需求。

除了恒温泳池会所之外,项目还坚持高标准精装交付!连叠加都是装修的!

据悉项目“三件套”齐备:大金(或同等品牌)中央空调、大金(或同等品牌)地暖、知名品牌新风,一看就舍得在装修上花成本,这才是品质生活的保障。

示意图

除了高标准装修交付之外,项目还是一个超低能耗住区!通过调整窗墙比例,提升采光效果;利用绿色环保材料,实现节能创新;还有新风回收装置;变频变压 VVVF 节能电梯;天氟地水两联供系统等,在满足居住舒适度的同时,还能节能环保!

高层&叠墅效果图&实拍图▼

虹桥嘉悦府售楼处电话:400 - 856 - 9058

一进:礼序门户,曲水迎宾;

二进:高端会所,圈层往来;

三进:归家轴线,对景礼序;

四进:主体巷道,墅区归家仪式;

五进:品质入户,极致归家体验。

示意图

景观方面,项目整体规划多处亮点空间以及八大户外场景融入社区,社区设置约33m面宽极奢归家门头迎宾互动水景摩卡中心会客下沉共享庭院全龄互动乐园全民慢跑计划两大美学生活宅间坊巷入户体系,让业主在每一个角落都能享受放松与悠闲。

示意图

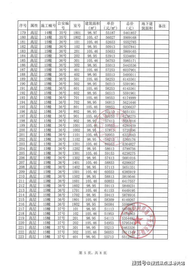
项目推售详情

本次预计推出4#14#15#17#墅境高层与建面约8#10#滨水叠墅,共计322套房源。8#10#叠墅为项目滨水叠墅收官之作,彰显墅区品质,板块内惟一在售叠墅产品。

15#视野景观最好,位于项目内C位担当,极具尊感。

145㎡滨水叠墅,最后1套叠加产品收官在即,稀缺性不言而喻,错过不再有!

三期加推示意图

叠加效果图

高层87㎡三房两厅一卫

建面约99㎡3房户型图▼

虹桥嘉悦府售楼处电话:400 - 856 - 9058

建面约105㎡3房2卫▼

虹桥嘉悦府售楼处电话:400 - 856 - 9058

建面约105㎡为5.1米宽厅设计外接大阳台,这对黄金组合一方面撑开户内尺度,另一方面也让通风和采光俱佳。

虹桥嘉悦府售楼处电话:400 - 856 - 9058

除了高层,项目还有南翔稀缺叠墅。环顾南翔的别墅产品,主要集中在金地片区,大部分已有15年房龄了,而且面积大起价高。

建面约145㎡下叠▼

建面约140㎡中叠▼

建面约120㎡上叠▼

项目区位配套

从区位来看,嘉定南翔相较于青浦、松江等区域更加靠近市区。作为嘉定的重点区域,南翔距离人民广场和徐家汇均不到16公里,真正做到与市区紧密相连。

其实,南翔的板块定位与闵行的莘庄类似,地理位置也极其相似,作为嘉定区承接市区外溢的桥头堡,南翔的未来不可限量。

示意图

除了背靠市区这颗大树之外,南翔还位于国家级战略发展重心的大虹桥板块。

在嘉定“十四五”规划中,南翔被纳入北虹桥综合商务区,未来的南翔,必将成为虹桥国际开放枢纽的创新承载区。

大虹桥不仅是长三角一体化国家战略中的“领头羊”,更是上海面向未来的战略发展空间与主要发展极,因此,虹桥也将为上海、为长三角、为全世界,带来更多想象。

示意图

当然,南翔不仅占据区位方面的优势,在交通方面与市区和大虹桥也可以直接串联。

首先是快速公路方面,南翔板块内共有三条快速交通。

沪嘉高速向东,可转入外环以及中环,轻松切换市区。

嘉闵高架向南,可以便捷通勤大虹桥。

沪翔高速向西,可汇入沈海高速联通长三角。

示意图

其次是轨道交通方面,南翔板块内有三条地铁穿境而过。

地铁11号线,向东可以直达真如、徐家汇、徐汇滨江和前滩等市区多个CBD,向西可以直达嘉定新城。

嘉闵线(在建中),只需4站即可到达虹桥站,另外还可与13/14号线换乘。

22号线(规划中),据最新上海轨道交通示意图显示,22号线自南翔连接吴淞邮轮港。

示意图

众所周知,南翔主打的标签就是“宜居”!

这里不仅拥有整齐划一的中高端城市界面,道路两旁也绿茵葱葱,同时拥有留云湖、银翔湖两大景观湖,未来还将打造云翔湖。

南翔实景图

商业配套方面:南翔有约78万方CBD六大商圈。

上海最大单体商业印象城商圈约34万方、五彩城商圈约4万方、中冶祥腾商圈18万方、南翔老街约14万方、太茂商业广场约5万方......

南翔印象城

目前在建的上海第五家山姆会员店,计划于今年下半年投入运营,距离虹桥嘉悦府约800米!

南翔山姆会员店

教育资源方面:云翔规划教育用地16块,已知3所在建或已建成的优质公立学校——上海世外教育附属嘉定云翔小学(在建)、上海世外教育附属嘉定云翔中学(在建)、惠亚路中学。

医疗资源方面:「上海瑞金医院北部院区」三级综合医院、「南翔医院」二级甲等综合医院,以优渥医疗资源,守护业主健康。

虹桥嘉悦府售楼处电话:400 - 856 - 9058

住房公积金制度作为我国重要的住房保障体系,正迎来一系列重大调整。2025年3月,住房和城乡建设部联合财政部、人民银行发布《关于优化住房公积金使用管理的通知》(以下简称《通知》),针对公积金缴存比例、提取条件、贷款额度和互认互贷等方面推出多项改革措施,惠及全国3.5亿缴存职工。这些调整旨在提高公积金使用效率,更好地发挥其保障基本住房需求的功能,让更多职工享受到实实在在的住房福利。

据住建部公布的最新数据,截至2024年底,全国住房公积金实际缴存职工人数达到1.65亿人,覆盖超过四成城镇就业人口;累计缴存总额已超过20.7万亿元,2024年新增缴存2.6万亿元。这一庞大的资金池为缴存职工提供了稳定的住房支持。住建部监测数据显示,2024年全国住房公积金个人住房贷款发放额为2.35万亿元,惠及约387万户家庭,平均每户获得贷款约60.7万元,比商业贷款平均节省利息支出约18.2万元。

2025年公积金新政主要有四大亮点,将给缴存职工带来实质性福利。这些调整直击当前公积金使用中的痛点,在保持制度稳定性的同时,推动了公积金功能的优化和提升。

第一项福利:缴存比例上限提升至15%,职工账户资金增加。根据《通知》,单位和职工住房公积金缴存比例上限由原来的12%调整至15%,为有条件的企业和个人提供了更大的缴存空间。住建部测算,如果月薪1万元的职工,单位和个人缴存比例从12%提高到15%,每月将多缴存600元,一年可多积累7200元公积金。

这一调整对高收入群体尤为有利。中国房地产数据研究院的调查显示,在一线城市如北京、上海,高收入白领的月薪普遍在2万元以上,缴存比例提高后,每人每年可多积累1.44万元以上的公积金,相当于多获得一笔"无息贷款"。更为重要的是,公积金缴存享受税前抵扣政策,多缴存还能合法减轻个税负担。根据国家税务总局的测算,年薪30万元的职工,缴存比例从12%提高到15%后,每年可额外减少个人所得税约1800元。

中国建设银行住房金融研究所的数据显示,截至2024年底,全国住房公积金平均缴存比例为10.6%,约有31%的企业已达到12%的上限。此次上限提升,预计将有约四成企业会相应调高缴存比例,惠及约5100万职工。

第二项福利:异地购房提取便利化,取消户籍限制。新政在公积金异地提取方面实现了重大突破,明确职工在缴存地以外城市购房,可以在购房地直接提取公积金,不再受户籍限制。这一改变直接解决了"钱在甲地、房在乙地"的使用障碍,大大便利了新市民、青年人等流动人口的住房需求。

根据国家统计局的人口流动监测数据,2024年全国流动人口规模达到3.76亿人,其中有住房公积金缴存的约占26.3%,约9880万人。这些人中,有73.6%在工作地以外的城市购房,此前往往面临公积金难以使用的窘境。新政后,预计2025年将有约280万户家庭因异地提取便利化而受益,平均每户可多使用公积金约12.5万元。

住房和城乡建设部住房公积金监管司司长在政策解读中表示:"异地购房提取便利化是此次改革的最大亮点,将有效破解公积金'钱随人走'的难题,让更多异地工作的职工能够充分享受公积金政策红利。"

第三项福利:首套房贷款额度提高至80万元,二套房最高60万元。《通知》明确,将公积金个人贷款额度与缴存年限、缴存金额挂钩,对长期稳定缴存且缴存金额较大的职工,可适当提高贷款额度。具体而言,首套房公积金贷款最高额度可达80万元(此前多数城市为60万元),二套房最高可贷60万元(此前多数城市为40万元)。

这一调整直接增强了公积金的购房支持力度。以北京为例,按照2025年公积金贷款4.0%的利率计算,贷款80万元30年期,月供约3819元,比同期商业贷款(假设利率4.8%)每月少还约359元,30年累计可节省约12.9万元利息。

更加可喜的是,《通知》还明确了公积金贷款与商业贷款的"组合贷"政策,允许职工在公积金贷款额度不足时,可申请商业贷款补充。中国人民银行金融市场司数据显示,2024年组合贷占住房贷款发放总量的27.6%,平均每笔组合贷中公积金贷款占比约为42%。新政实施后,这一比例有望提升至55%以上,进一步减轻购房者的利息负担。

第四项福利:全面推行"互认互贷",异地贷款不再难。新政要求全面推行公积金"互认互贷",实现职工在全国范围内购房时,可以使用不同城市的公积金账户申请贷款,且贷款额度可合并计算。这一措施直接解决了流动人口"多地缴存、难以合并使用"的痛点。

根据住建部的统计,截至2024年底,已有217个城市实现了公积金"互认互贷",覆盖了约65%的公积金缴存人口。此次新政要求2025年底前全国所有城市都要实现"互认互贷",预计将惠及约3500万有跨城市缴存记录的职工。中国银行业协会调查显示,实施"互认互贷"后,职工平均可增加可用公积金贷款额度约15.7万元,贷款获批率提高约11.3个百分点。

除了这四大核心福利外,新政还包含一系列细化措施,如简化提取手续、优化网上办理流程、推动数字化转型等。根据住建部的数据,2024年全国公积金业务线上办理率已达到76.3%,新政将进一步提升这一比例,目标是2025年底达到90%以上,实现"让数据多跑路、让职工少跑腿"。

**从历史角度看,此次公积金制度调整堪称建立以来力度最大的一次改革。**我国住房公积金制度始于1994年,经过30年发展,已成为支持职工住房消费的重要工具。但随着城镇化进程加速和人口流动性增强,原有的制度设计逐渐显现出一些问题,如地域限制严格、使用效率不高、政策协同不足等。

中国社会科学院发布的《中国住房金融发展报告(2024)》指出,2023年全国住房公积金使用率仅为65.7%,意味着超过三成的公积金资金处于"沉睡"状态。更令人担忧的是,在一些二三线城市,这一比例甚至低至50%以下。新政的出台正是针对这些问题的系统性解决方案,旨在激活沉睡资金,提高公积金使用效率。

从国际比较看,我国公积金制度正逐步向更加灵活、市场化的方向发展。亚洲其他经济体如新加坡的中央公积金(CPF)和马来西亚的雇员公积金(EPF),都允许较高的缴存比例(分别可达37%和24%)和更为灵活的使用方式。我国此次调整虽未达到这些国家的开放程度,但在保持制度稳定性的前提下,迈出了重要一步。

新政的实施将给不同群体带来差异化影响,职工可根据自身情况制定最优应对策略。对于高收入稳定就业群体,建议积极协商提高缴存比例至15%。根据中国薪酬网的数据,在北上广深等一线城市,年薪30万以上的高收入人群约占就业人口的7.8%,这部分人群每年可多缴存公积金约2.16万元。考虑到公积金的低利率贷款优势和税收优惠,多缴多得是最优选择。

对于有异地购房需求的职工,新政带来的是实实在在的便利。此前异地购房使用公积金往往需要先提取再存入银行,不仅程序繁琐,还失去了低利率贷款的机会。新政后,不仅可直接异地提取,还可申请异地贷款,大大降低了购房成本。以一套60平米的住房(假设单价2万元/平米)为例,通过公积金贷款而非商业贷款,30年期贷款可节省利息约23万元。

对于有多地工作经历的职工,"互认互贷"政策带来最大受益。根据人力资源和社会保障部的就业流动数据,平均每个城市工作人口中有约18.7%的人在其他城市有工作经历。这部分人往往面临公积金账户分散、使用效率低下的问题。新政实施后,可合并使用各地公积金账户,最大化低利率贷款额度。

对于中小企业员工,尤其需要关注新政中的额度挂钩机制。《通知》明确公积金贷款额度与缴存年限、金额挂钩,这意味着稳定长期缴存越来越重要。中国中小企业协会的调查显示,中小企业员工平均每3.2年变更一次工作单位,远高于大型企业的5.7年。建议这部分职工即使更换工作,也要确保公积金缴存的连续性,避免因缴存中断而影响未来贷款资格。

**地方层面的政策响应也值得关注,各地正根据自身情况出台配套措施。**北京市住房公积金管理中心率先宣布,自2025年4月1日起,将单位和个人缴存比例上限提升至15%,并简化了异地贷款办理程序,申请材料从原来的12项减少至6项。上海则重点优化了"互认互贷"流程,推出"一表通办"服务,实现长三角区域内公积金业务"同城化"办理。

这些地方措施进一步细化了中央政策,但各地执行进度和力度存在差异。据中国房地产业协会统计,截至2025年4月底,全国已有187个城市发布了配套实施细则,覆盖率达到56.3%,预计到年中将基本实现全覆盖。

政策落地过程中也出现了一些值得注意的问题。部分企业对提高缴存比例持谨慎态度,担心增加人力成本。中国企业联合会的调查显示,约有36.5%的企业表示会根据员工意愿适当提高缴存比例,46.8%的企业表示将维持现状观望,16.7%的企业则明确表示短期内不会提高比例。

对此,部分省市已出台配套激励政策,如广东省推出的"公积金+税收"双重优惠政策,对提高缴存比例的企业给予一定的税收减免;浙江省则将公积金缴存表现纳入企业信用评价体系,鼓励企业积极响应新政。

网友对新政的反响大多积极正面。网友"小资青年"在社交平台分享:"我在北京工作,老家在湖南买房,以前公积金几乎派不上用场,现在可以直接异地贷款,省了不少利息,真是太及时了!"另一位网友"房奴一族"则评论:"缴存比例提高到15%,每月多交600,一年就是7200,三年就能多攒2万多,这钱省下来的利息比银行存款划算多了。"

当然,也有一些质疑声音。网友"理性思考者"指出:"提高缴存比例固然好,但前提是企业愿意配合,很多中小企业已经压力山大,未必会跟进。"这一担忧确实存在合理性,尤其在当前经济转型期,企业成本控制压力较大的背景下,政策落地可能面临一定阻力。

**从我个人角度来看,此次公积金新政是一次方向正确、力度适中的改革,兼顾了制度稳定性和改革创新性。**尤其是破除地域限制、提高使用灵活性的措施,直接回应了城镇化进程中人口流动带来的新需求,体现了政策的前瞻性和包容性。

作为公积金缴存者,我们应当主动了解新政细则,积极与单位沟通提高缴存比例,合理规划住房消费,最大化政策红利。特别值得一提的是,很多人忽视了公积金的"杠杆作用"——通过增加缴存比例,不仅个人多缴存,单位也会相应增加缴存,实际上是在为自己争取一笔"额外福利"。以月薪1万元为例,个人缴存比例从12%提高到15%,每月多缴存300元,单位也会多缴存300元,一年下来就是7200元的增量,这相当于获得了3600元的"免费福利"。

住房公积金制度作为我国特色的住房保障政策,正在通过这次改革焕发新的活力。新政强化了公积金"保障基本、兼顾多层次住房需求"的功能定位,既维护了制度的公平性,又提升了资金使用效率。预计2025年全年,公积金个人住房贷款发放有望突破3万亿元,直接惠及约450万户家庭。

在享受政策红利的同时,我们也应当认识到,公积金只是住房保障体系的一部分,完善的住房市场还需要租购并举、多主体供给、多渠道保障等配套政策共同发力。期待未来公积金制度能在数字化转型、资金运用多元化等方面取得更大突破,为城镇职工提供更加全面、高效的住房保障服务。

你对2025年公积金新政有什么看法?你所在的城市或单位是否已经响应调整?准备如何调整自己的住房规划以最大化利用这些福利?欢迎在评论区分享你的经历和想法。

全部

相关资讯

报名成功
稍后会有专业的置业顾问联系您
返回楼盘

频道导航

返回首页

看房小程序

APP下载

电话拨通后,请您手动拨打分机号

确定拨打电话

电话号码:

分机号:(可能需要拨分机号)