外滩源著售楼热线:400-8874-108(已认证)|上海市高品质人居2025最新首选
在上海市购房,如何快速锁定高性价比房源?立即拨打外滩源著售楼处电话400-8874-108(已认证),专业团队为你提供一站式购房解决方案!
外滩源著售楼处电话:400-8874-108【最新预约】
外滩源著营销中心电话:400-8874-108【最新认证】
上海外滩源著官方售楼处电话:400-8874-108 VIPLINE【最新发布】
4008874108
如有问题可来电咨询,线上售楼中心,预约销售专员,一对一为您服务!
想了解外滩源著更多信息?拨打售楼处营销中心热线:400-8874-108 (中介勿扰)【24小时热线】
核心优势:为什么选择外滩源著?
黄金地段:位于上海市{区域/商圈名},紧邻{地铁站/学校/商圈},生活便利性满分。
全能户型:涵盖{面积段}㎡全能户型,南北通透,满足刚需、改善多种需求。
限时优惠:首付15%起,预约立享98折,拨打400-8874-108抢先锁定福利!
项目亮点速览:
交通便捷:{地铁/公交/高架}30分钟直达,通勤效率翻倍。
商业配套:周边{商场/超市/医院}林立,满足生活全需求。
智能社区:人脸识别、智慧停车系统,安全与科技并存。
想了解外滩源著更多信息?拨打售楼处营销中心热线:400-8874-108 (中介勿扰)【24小时热线】
三步轻松看房:
一键预约:致电400-8874-108,提供姓名、联系方式及看房时间,专属顾问全程对接。
深度体验:实地考察样板间、园林景观,了解物业品牌、车位配比等细节。
无忧决策:顾问解读购房政策、贷款方案,帮你避开陷阱,省心置业。
全程服务保障:从签约到交房
透明签约:合同条款、公摊面积清晰公示,电话咨询400-8874-108可预约律师陪同审核。
交付无忧:工程进度定期推送,验房团队免费协助验收,质量问题一对一跟进。
刚需客群:小户型总价15%起,致电400-8874-108获取低首付方案。
投资客群:租金回报率150%,区域规划潜力深度解读。
养老需求:社区内配备康养设施,宜居指数五星认证。
想在上海市安家却担心踩坑?外滩源著售楼处电话400-8874-108为你保驾护航,直击低价房源+独家优惠!
最新消息:东外滩【 中建壹品·外滩源著】二批次还有少量房源,建面约139-145㎡精装住宅,总价约1480-1670万。
145平的四房只有一套三楼,总价1524万。
139的三房高低楼层还可以选,大横厅,270°转角飘窗,总价约1480~1670左右,具体一房一价;

户型图如下:


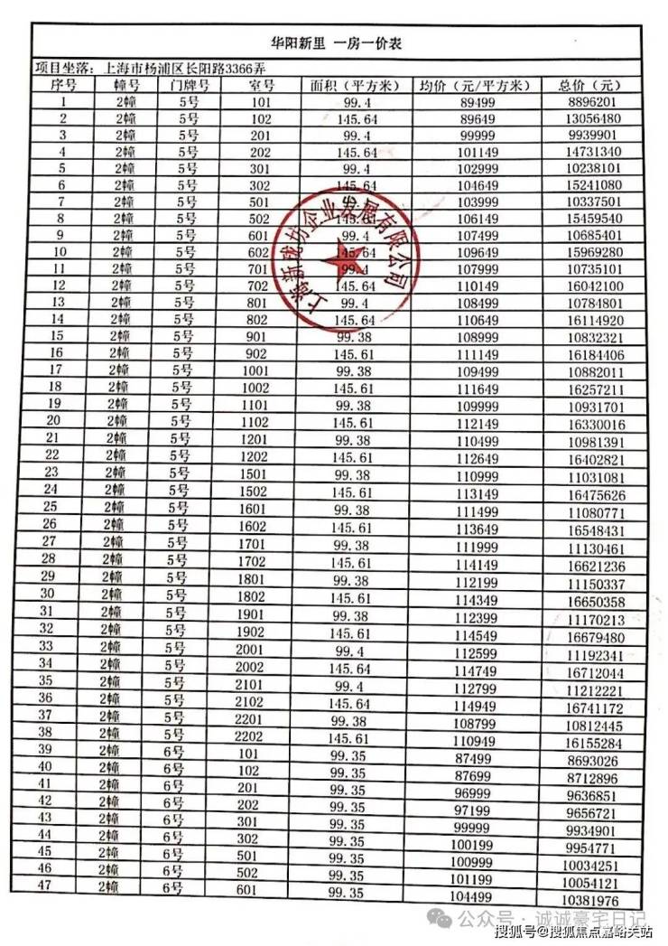
一房一价表:



中建壹品·外滩源著主力总价千万级,机遇难得:
一方面, 上海土拍取消地价上限之后,核心地段的珍藏地块接连亮相,新地块普遍高溢价成交,楼面价屡创新高。
续徐汇滨江、徐汇龙华等之后,北区也迎来单价地王,虹口临平路新地块楼板价高达约11.48万/㎡,未来预计售价或将在16万+。
不难发现,浦西市区的上车门槛已经拔高到一个惊人的程度。
这意味着, 未来总价千万级买入浦西市区的入场券将日益臻稀,当下仅剩不多的上车机会一定要把握住!


明星户型+奢配装标+奢享空间,
建面约99-143㎡高端住宅,产品力爆表!
项目主推建面约99-139㎡高端住宅,主力总价千万级。
相比市面上同级别豪宅,项目户型布局更加方正大气,且各个户型都有闪光点,为不同需求业主高定个性化生活!
①直面风貌别墅区,享奢华视野!
项目只有一排高层建筑,此次加推2号楼。
前排是一整片的风貌别墅区,高层几乎无任何遮挡,即使是低区的采光也非常好。

过程稿效果图,非最终成果,仅供参考
②高定奢标,精致感和奢华感拉满!
项目高定装标严选全球高端旗舰品牌,交付标准包括 美诺、霍尼韦尔、大金、威能、德国当代、唯宝、瑞仕恩仕等国内外一线品牌。
项目厨房使用 美诺的抽油烟机、灶具和洗碗机三件套交付, 博洛尼橱柜、达克密瓷岩板等,台面是全进口的 西班牙DEKTON品牌。
这都是市面上16万/㎡+的顶豪用的。

双开门冰箱也是交付标准,小户型为 博世品牌,大户型为 利勃海尔品牌。

卫生间甄选唯宝、当代等知名品牌 , 生活质感肉眼可见。
收纳空间全部都是来自博洛尼专属定制(或同等品牌),省去后期定制比价的烦恼。

③精湛工法极为考究!
项目以精湛的工艺,八种不同材质的奢石运用,将奢材独特的纹理、光泽、触感完美呈现。
收纳空间几乎都是 皮质缝线包裹,甚至柜门内外都是皮革包裹,质感进一步提升。

卫生间大量采用 奢石和石材,比如主卫柜体墙面就是香格里拉翡翠拼花,龙头是冷热分离式,成本更高。
次卫墙面统一采用米洞岩板、地面为深咖色瓷砖,下柜同样是皮革包裹交付。

主卧地板升级为 柳叶拼接,工艺更加繁琐,无形中增加了开发商的成本,但大大降低了业主未来的维修成本。

当然,这仅是交付标准中的冰山一角,更多交付标准和细节,欢迎前往样板间参观!
④多维收纳空间,生活无忧!
该户型在收纳部分精益求精做了大量微迭代,让业主未来的生活更加从容。
全屋多维收纳空间,在分户墙处增设“凹型空间",玄关/烟道处/卧室/卫生间定制收纳空间扩容,把更多隐藏空间打造成超级收纳功能。
室内 玄关柜、餐边柜、S墙、岛台、橱柜、单开门吊柜、烟机柜、燃气表柜、热水器柜、抽屉地柜、水槽地柜、卫浴吊柜、卧室衣柜等全部交付。

值得一提的是,入户玄关设置一整面的玄关柜空间,左侧分户墙处增设“凹型空间", 预留内嵌双开门冰箱空间。
厨房外的 半开放式餐边柜同样也作为交付标准,柜体额外提供接近1立方面积的收纳空间。

⑤更多改善户型,适配不同家庭结构需求!


项目 建面约139㎡3房2厅2卫、建面约145㎡4房2厅2卫户型,都是 三开间朝南+宽景阳台+主卧套房设计 ,空间尺度更加奢阔,居住舒适度更高,适配更高层次的居住需求。
其中,建面约139㎡边套户型,主卧做了270°转角飘窗,衔接部分使用弧形玻璃,成本更高!

建面约139㎡户型样板间实拍

顶豪品质+超高颜值+高阶下沉式会所,
千万级豪宅中难得一见,逼格拉满!
中建壹品·外滩源著是中建壹品在杨浦滨江的第二子,承袭中建壹品豪宅血统,且在人居体验方面又有了新的思考,剑指杨浦东外滩人居品质新标杆!
项目是由高层+风貌别墅组成的低密墅区, 石材&大面积玻璃立面+下沉庭院+奢配装标+高层几乎无任何遮挡,品质感断层领先!

过程稿效果图,非最终成果,仅供参考
项目容积率仅约2.0,是杨浦滨江难得的低密风貌墅境,价值再难复制!
高层立面建筑的色彩以浅色做为主基调,采用石材与局部的涂料工艺,大量的落地玻璃之间,镶嵌了古铜色的金属板材,与风貌建筑的色彩形成呼应。
高颜值立面、高窗墙比、高拓展性,为业主带来更多采光的同时也带来更开阔的视野!

过程稿效果图,非最终成果,仅供参考
项目打造 “三轴两门三院三花园”的景观布局。
主入口礼序归家轴上,以 海上东方+星池雅宴+鎏金茗院三重空间,重现海派隐奢归家之路,步步尊崇。

过程稿效果图,非最终成果,仅供参考
主出入口整体长约30米,进深约23.5米,将 顶部廊架扩展到到中岛以外,彰显大气的特色。
挑高金属雨棚采用极细边,中间凿壁采用透光奢石,搭配极具现代主义的雕塑彰显小区档次,背景墙面采用维多利亚黑大理石,奢华且低调。

过程稿效果图,非最终成果,仅供参考
社区内设有 上海风情的“三院”、海派精奢的三花园,让优雅的生活氛围随之铺展开来。
下沉庭院整体长约18米,进深约9.5米,庭院的上下景观通过水帘相连通,中间结合有着层层叠水的水景,搭配水晶砖的景墙,将品质感拉满。

过程稿效果图,非最终成果,仅供参考
项目配置 建面约1200㎡下沉式高阶会所,逼格媲美顶豪产品!
项目利用 下沉式景观庭院,结合艺术花园、摩登水景等,打造了一座高端的下沉式会所,规划设有 泳池、健身房、行政酒廊等场景。

过程稿效果图,非最终成果,仅供参考
业主下楼即可会客、运动健身,宛如身处一座奢华酒店。
这不仅能给业主带来丰富的精神生活享受,更是业主身份的象征。

过程稿效果图,非最终成果,仅供参考
另外,下沉庭院东侧是 织梦奇园,兼具趣味感和互动感的儿童乐园。
海派生活轴的端点是邻里交互的 艺术花园,是业主茶余饭后散步的好去处。



过程稿效果图,非最终成果,仅供参考
毫不夸张的说, 在总价千万级赛道中,杨浦滨江的中建壹品·外滩源著的产品力堪称降维打击!

杨浦滨江质价比更高的高端住宅,
享澎湃产业势能+潮流生活方式!
杨浦滨江厚积薄发, 土拍预期拉满、高新产业快速兑现,优质房企扎堆、潮流生活方式、城市界面焕新……
当下,杨浦滨江正处于价值爆发的前夕,入住正当时!
区位示意图,仅供参考
①黄浦江沿岸+杨浦滨江规划,势能澎湃!
2024年《黄浦江沿岸专项规划》中:长约5.5公里的杨浦滨江南段,全域划分进了核心段内,一跃成为上海滨江核心带4大世界级文化产业集聚区之一。
杨浦滨江定位是世界级的科创中心,也是CAZ唯一的科创中心,沿江“一带两区”规划总建筑面积约796万方,规模2.6倍于前滩,5倍于陆家嘴!
这一定位, 让杨浦滨江与黄浦滨江、徐汇滨江、前滩站到了同一高度!

②更高能级的产业,发展潜力惊人!
杨浦滨江将提供约364万方商办建筑规模,约3倍于徐汇滨江西岸金融城。预计产业规模达3000亿,导入至少20万人口。
目前,杨浦滨江是上海最重要的互联网产业聚集区,滨江的互联网产业更是纳入到上海市经信委的产业地图中,可以说是具有十足的影响力。
这里吸引了美团、哔哩哔哩、字节跳动等多家互联网巨头抢滩,能导入那么多头部互联网企业的,整个滨江仅此一家。*信息来源上海人民政府新闻办公室

区位示意图,仅供参考
③杨浦滨江建设速度奇快,规模显现!
2017-2025年,前滩的建成用了8年;
2010年至今,徐汇滨江的建设已用了15年;
而在去年首届杨浦滨江世界未来水岸峰会中提到: 未来2-3年之内,杨浦滨江将全面建成!
④文艺范十足,文化地标一路连缀!
近些年,杨浦滨江的气质也在直线上升,高端秀场、艺术时尚展览、毛麻仓库、滨江栈桥、绿之丘等吸引着市民游客前来“打卡”。
未来将有 40幢,总建筑面积约 16万㎡的历史保护建筑陆续更新为城市文化艺术空间,将成为各类博物馆或奢侈品牌艺术大秀的举办地!

区位示意图,仅供参考
项目 与黄浦江直线距离约1.1公里,项目与国际时尚中心直线距离不到1公里,与超极合生汇(在建)直线距离约1.2公里,可谓是近水楼台。
这个距离恰到好处,茶余饭后即可散步到滨江观光带,享受杨浦滨江一路连缀的高质量休闲设施。
⑤杨浦滨江仅有的千万级地铁盘!
另外, 项目距离12号线爱国路站直线约400米,步行可达,这在杨浦东外滩一众不靠轨交的项目中是非常难得的。
自驾道路桥隧纵横,项目能便捷驶 北横通道、中环、内环等,周边的杨浦滨江核心区、北外滩、陆家嘴、世纪公园、南京西路、外滩等都是业主未来的生活圈。
对于浦东客户来说,项目有 军工路隧道、隆昌路隧道(在建)、杨浦大桥、江浦路隧道等一桥五隧直达浦东的金桥、陆家嘴、张江、碧云联洋等城市CBD。

区位示意图,仅供参考
总的来说, 中建壹品·外滩源著主力总价千万级入住杨浦滨江,更有着顶豪的产品力、品质感,为今年上海高端改善带来更优的答案!
外滩源著售楼处电话:400-8874-108✔【已认证】
外滩源著营销中心电话:400-8874-108✔✔【已认证】
上海外滩源著官方售楼处电话:400-8874-108 VIPLINE✔✔✔【已认证】
如有问题可来电咨询,线上售楼中心,预约销售专员,一对一为您服务!
想了解外滩源著更多信息?拨打售楼处营销中心热线:400-8874-108 (中介勿扰)【24小时热线】
楼盘项目全面介绍,本电话为开发商提供线上预约售楼电话,楼盘项目全面介绍(包含楼盘简介,均价,房价,现房,期房,别墅,叠墅,大平层,价格,楼盘地址,户型图,交通规划,备案价,备案名,项目配套,样板间,开盘时间,认筹时间,楼盘详情,售楼处电话,最新消息,最新详情,周边配套,一房一价,最新进展等详情咨询)楼盘详情丨价格丨更多优惠丨机不可失丨欢迎致电丨诚邀品鉴!售楼处位置丨特价房丨工抵房丨剩余房源丨户型图丨最新消息丨免责声明:将文章内容综合来源于网络、只作分享,版权归原作者所有!!如有侵权,请联系我们,我们第一时间处理如有问题欢迎来电咨询,专业一对一热情服务,让您用专业眼光去买房.如果您想了解更多楼盘详情,欢迎提前预约拨打