招商时代潮派售楼处电话:400 - 8894 - 986🦄🦄在这个诸多新盘“暴雷”“降标减配”的市场环境下,「招商时代潮派」却不惜重金打造产品,社区品质也是卷到极致,立志打造出板块新地标!
“超高颜值立面 · 沉淀历久弥新的惊艳”
招商时代潮派汲取极简主义的精髓,运用简约线条精心塑造建筑的轻盈感与未来感,旨在打造一处兼具现代审美与实用价值的建筑典范。特别设计的鎏金穹顶,以其独特的艺术魅力为城市天际线勾勒出一道历久弥新的美学符号,彰显了项目的品质与品味。招商时代潮派售楼处电话:400 - 8894 - 986🦄🦄
“三重归家动线 · 匠心高定生活礼仪”
在归家仪式感方面,「招商时代潮派」精心规划三重归家动线。社区主入口设计酒店式环岛归家,辅以活力四溢的涌泉水景,营造出更尊崇的归家仪式感,让业主在归家的瞬间感受到尊贵与温馨。
入户门厅以弧形悬浮顶棚为特色,为业主带来柔和温润的归家关怀,让归家的每一步都充满舒适与惬意。

招商时代潮派售楼处电话:400 - 8894 - 986🦄🦄
此外,项目还设有地上地下双精装大堂,地下车库电梯直达,为业主提供便捷高效的出行体验,同时也彰显了极尽礼宾仪式的尊贵品质。
“四大架空层 · 家楼下的全龄社交空间”
招商时代潮派在社区内部精心布局了多个架空层区域,涵盖休闲会客、社交洽谈、儿童娱乐及阅读室四大核心功能模块,为业主带来适合全龄段的社交空间,营造更加温馨和谐的生活氛围。

“方寸之间尽显匠心· 全龄居住品质标杆 ”
「招商时代潮派」的高品质产品力其实并不仅仅只体现在社区景观规划之内,户型及品质上的表现也十分优异!
「招商·时代潮派│东屿」户型分布↓招商时代潮派售楼处电话:400 - 8894 - 986🦄🦄
二批次即将加推8#9#楼

「招商·时代潮派│东屿」户型鉴赏↓

招商时代潮派售楼处电话:400 - 8894 - 986🦄🦄


招商时代潮派售楼处电话:400 - 8894 - 986🦄🦄

招商时代潮派售楼处电话:400 - 8894 - 986🦄🦄
样板间实景:


招商时代潮派售楼处电话:400 - 8894 - 986🦄🦄







招商时代潮派售楼处电话:400 - 8894 - 986🦄🦄
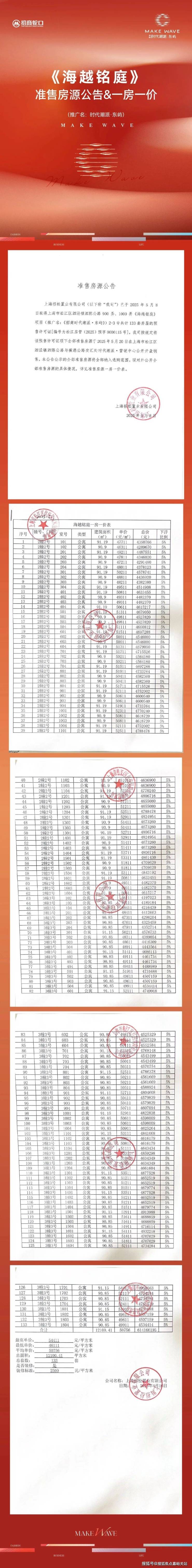
上期一房一价表如下:

招商时代潮派售楼处电话:400 - 8894 - 986🦄🦄
「招商时代潮派」的到来,可以说是来颠覆泗泾板块商业设施的。
它不仅是一座TOD超级大城,总建面达到了约50万方,拥有滨水国际住区,自带约18.5万方的上海第5座花园城,还规划了文化空间+酒店等业态,这个体量在整个9号线都是佼佼者。
同时,也将「居住体验」上升到了另一个维度,把氛围感和烟火气融为一体。可以虹吸周边居民到此来消费,那么对于泗泾板块来说,是有巨大的潜力价值。

招商时代潮派售楼处电话:400 - 8894 - 986🦄🦄
商业方面,青浦奥特莱斯、山姆会员店、元祖梦世界,以及三湘商业广场、保利悦活荟、绿地云天坊、大润发、金地方邻等繁华商业,近享高配生活;

教育方面,松江二中、松江四中、泗泾实验学校、上师大附属实验学校、泗泾幼儿园、泗泾小学等优质教育资源环伺,智启孩子成长;(本宣传资料对项目周边幼儿园、学校等教育资源的介绍旨在提供相关信息,并不意味着本公司对就学安排作出承诺。) 招商时代潮派售楼处电话:400 - 8894 - 986🦄🦄

招商时代潮派售楼处电话:400 - 8894 - 986🦄🦄
背靠包括辰山植物园、月湖雕塑艺术公园、欢乐谷在内的佘山国家级旅游风景区,近临泗泾公园,超高负氧离子,让自然底色嵌入美好生活;

招商时代潮派售楼处电话:400 - 8894 - 986🦄🦄


日前,历经四年多建造,上海市重大工程项目、位于虹桥商务区(青浦徐泾)的美的全球创新中心建成启用,这一造型炫酷、充满未来感的“森林之上的科技之城”成为大虹桥片区的闪耀地标。
从高处俯瞰,园区呈“方环”形态,两座L型主楼相互搭叠,形成连续的“口”字布局;四座裙房屋顶覆盖着起伏的“空中花园”,树木从地面延伸至裙房顶部,再通过竖向交通系统攀援至中央森林广场,构成“双倍公共空间”。
美的全球创新中心是美的集团全球运营总部和创新孵化器,集高端商务、研发办公、森林景观、共享空间为一体,将面向全球引进万名高端研发人才。

该园区也是长三角生态绿色一体化建设标杆项目。

该项目由北京市建筑设计研究院设计、中建八局上海公司承建,总投资超过70亿元,总建筑面积40.2万平方米。

主体两栋L型塔楼通过14个核心筒支撑,以“群筒-大跨度斜拉”结构实现筒间70米的无柱跨度,L型端部更悬挑45米,创造了国内钢结构建筑的难度之最。