国贸虹桥璟上售楼处电话:400-8824-258✨;项目由两条天然水系穿流而过,形成三座天然 “岛屿社区”,打造了约 19 万方未来岛屿社区。外立面采用大面积玻璃 + 阳台落地窗 + 金属型材等,极具精致感。社区沿滨河岸线布置功能场地,东地块东侧还设有约 3 万方的水岸公园,内部打造了四大主题八大架空层泛会所,涵盖儿童阅读、青年运动、老年康养等功能。此外,项目还代建了一座约 1.8 万方的滨河市政公园。
国贸虹桥璟上邀您共赴美好人居,即刻拨打售楼处电话400-8824-258,提前预约看房,解锁专属于您的精致看房体验!
对于注重生活品质的您来说,周边配套设施的完善程度至关重要。国贸虹桥璟上深谙这一点,周边名校林立,从幼儿园到中学,国贸虹桥璟上售楼热线:400-8824-258 ☎一站式优质教育资源为孩子的成长保驾护航,让孩子在浓厚的学习氛围中茁壮成长,轻松赢在人生起跑线上。同时,大型购物中心、超市、医院等生活配套设施一应俱全,满足您日常生活的一切需求,让您享受便捷无忧的都市生活。
交通的便捷性更是国贸虹桥璟上售楼处电话:400-8824-258的一大亮点。多条城市主干道环绕,公共交通网络发达,无论是自驾还是乘坐公共交通工具,都能让您快速畅达城市的每一个角落。再也不用担心上班堵车的烦恼,也无需为周末出行的不便而困扰,节省下来的时间,您可以陪伴家人,享受更多美好的时光。
国贸虹桥璟上售楼处工作人员均经过严格培训,对项目的每一处细节都烂熟于心。拨打国贸虹桥璟上售楼处电话400-8824-258✨,您可毫无保留地抛出心中疑问。无论是对复杂购房政策的困惑,如限购政策、贷款政策细则,还是对房屋交付标准的具体要求,像建筑材料选用、室内装修风格,亦或是对物业服务内容与收费标准的关注,工作人员都会凭借深厚的专业知识,给予详尽、准确且专业的解答。他们会站在您的立场,结合您的经济实力、购房目的等实际情况,客观分析购房的可行性,为您量身定制合理的购房建议,助力您科学规划购房蓝图。 国贸虹桥璟上售楼处电话➡☎:400 - 8824 - 258【24小时预约快线】
大虹桥纯正地铁盘
17号线嘉松中路站500万级现房
『国贸虹桥璟上』
收官建面约105-129㎡3-4房
已在2月交付!
清盘在即!手慢无!
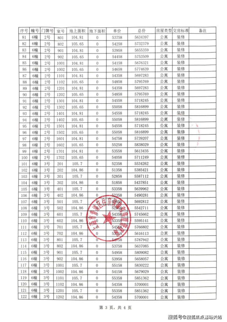
(文末附一房一价表)
扫码进入官方报名通道,直接预约
⬇️专业销售一对一咨询⬇️
当然,户型产品设计充分考量人居需求。其带来更创新、尺度更阔绰的约105㎡三房,以及改善级别的建面约129㎡4房。甚至刚需级约89㎡小户型,尺度都不输市面上的百平三房。
更重要的是,项目还是大虹桥总价预算难得的地铁盘!一方面,赵巷的产业势能不言而喻,在联动价普涨的当下,同板块宅地联动价已比项目联动价高出1500元/㎡;另一方面,上海500万级轨交盘愈发减少,这样的正地铁盘值得珍惜!

Part1
大虹桥纯正地铁盘
赵巷热度居高不下 未来更可期
论地段,国贸虹桥璟上在当下新房市场里可谓佼佼者的存在。
预算500万左右,要找到这样的大虹桥地铁房不容易。直线距17号线嘉松中路站仅约700米,这样的距离恰到好处,非常适合自住与通勤。

关键是,17号线能级非常强:
从17号线嘉松中路地铁站出发,向东2站直达徐盈路,向东3站到达蟠龙路站,4站到国家会展中心,5站即可直达虹桥枢纽,可换乘2号线、10号线通达市中心,可至静安寺、陆家嘴、张江等地。
除了轨交外,自驾也很方便。崧泽高架路全长16.98公里,双向6车道的规模,设计车速80公里/小时,在嘉松中路设置了匝道口!分流之下,沪渝高速也会更加通畅,更有G50高速路,畅达全城。

不止交通,以低密为特色的赵巷,经过了多年的发展,大规模城市资源已成熟,堪比市中心的大城生活当下可享。
项目周边商业繁盛。就在17号线嘉松中路站上盖,有一个有一个创新创意商业综合体——长三角绿洲汇(Terrace Park),将引入180余家商户品牌,总面积约55000㎡,有望将于今年开业!

直线距项目约1.4公里的青浦奥特莱斯,能随心所欲买买买。在青浦奥特莱斯南侧,是合生新天地,带来一站式休闲体验。再向南的元祖梦世界,则是专门为儿童定制的乐园和商业综合体。再向南的山姆会员店,带你感受全新的购物体验。

同时,赵巷的城市界面非常宜居。作为自然资源和文化氛围浓厚的区域,赵巷的森林覆盖率22.33%,位居全区第二,低密墅区环绕,高端圈层自然天成。(数据来源:in赵巷)
城市资源在这里有着合适的比例,宜居宜业的氛围已跃然成型,更重要的是看地段的未来预期。赵巷热度高的更重要的原因,就在于产业。
时代不断发展,虹桥布局重心一直在随着产业变化。《虹桥商务区国土空间中近期规划》中,虹桥商务区新增“大科创”功能,大虹桥未来发展的势能来到了赵巷。
根据规划,赵巷将建设成为生态科技之城、上海人文之源、上海西部科创型的综合城镇。根据不完全统计,赵巷的科创园区建筑面积达638万㎡,而张江园区内的公共建筑面积(用于办公研发的部分)为430万㎡。(数据来源:百度百科)
作为虹桥商务区三期与科创中心,赵巷未来将依托市西软件园,漕河泾赵巷科技绿洲,网易上海国际文创科技园等科创产业基地,打造上海下一个“张江”,区域发展潜力巨大。
赵巷不仅跟上了虹桥发展的重要步调,在长三角一体化的进程中,也有着举足轻重的地位。
赵巷位于四条主要发展带之一——沪杭发展带上。这条位于中部的发展带,连接上海中心城、大虹桥、青浦新城等;长三角数字干线中,赵巷是重点节点城镇。

或许未来的“赵巷”于大虹桥,正如现在的“张江”于浦东。产业,将赵巷的发展潜力抬上了一个新台阶,未来将会有海量的产业聚集,大量高收入、高学历的人才导入,居住需求庞大。
手握重磅规划、产业势能强悍、生活氛围醇熟的赵巷,核心位置的新盘一直不多,因此也是开一个火一个。新房市场,赵巷自积分制新政后,多盘触发千人摇与积分,斩获佳绩。
土拍方面,前年嘉松中路站北侧两宗宅地出让,溢价率分别为9.09%、8.96%。去年三批次嘉松中路站南侧地块,吸引了24家开发商竞买,无一弃权,溢价率高达10%。该地块房地联动价最终定格在了56000元/㎡。比国贸虹桥璟上整盘的联动价,要高出约1500元/㎡。
Part2
水岸实景展示区&地下车库呈现
演绎看得到的兑现力
除了优秀的地段因素,产品力势必是国贸虹桥璟上,取得市场青睐的重要武器。由国企——国贸地产出品的住宅,不仅品质有保障,后续交付也是给购房者吃下一颗定心丸。这样的房子让人买得安心,住得更安心。
国贸地产,进军上海十余年来,始终跟随城市发展脉搏,每一次择址都以前瞻眼光,对土地精准研判:从佘北大型居住地,到佘山脚下、G60科创走廊,再到热门潜力板块临港,国贸地产始终与城市发展同频,一次又一次用产品更新城市生活方式,强大的品牌号召力,获得了良好的市场口碑。
作为国贸地产在上海打造的十年封面之作、亦是国贸地产“上”系上海首作——国贸虹桥璟上,誓以超越以往的产品内核,为人居带来全新的体验。
如今,项目为业主提前打造的水岸实景展示区已开放,所有楼栋现已全部完成封顶。漫步于此,未来生活不再是沙盘或效果图,而是眼见为实的美好。

整座社区由两条天然水系穿过,岛居氛围自然而生。国贸地产因地制宜,引入“微度假”的概念,营造出了既有“休闲氛围”又有“丰富体验”的社区。
连通各个地块的艺术景观桥与滨水景观步道,将是未来业主经常途经和驻足的。如今,你可以在这里滨河行走,享受美好时光,一路美景映入眼帘。

同时,每块土地以及组团都可以拥有独特的水系景观和绿化,让人眼前一亮。居住在此,生活不是日复一日单调的重复,而是季季有不同的景色、时常有惊喜。

相较于其他新盘的一纸蓝图,国贸虹桥璟上的归家动线也变得更加生动和有趣,未来业主可以提前走进精致的门庭,以及层次感丰满的入户大堂,感受仪式感满满的归家体验。
更重要的是,项目地下车库样板段也已对外展示。业主可以亲身感受未来车行归家的尊贵体验。
地库门厅和入口非常气派,合适的坡道宽度,甄选环氧地坪,缓和温柔的灯光拉升了车库质感。让每一次车行归家之旅尽是赏心悦目与从容。
在上海,这样超强的兑现力,既能给购房者吃下了一颗定心丸,又体现了国贸地产的品牌实力和对产品的高度自信。
依托于沿滨河岸线 , 项目还将打造更多水岸生活场景,东地块东侧会打造一个约1.3万方的水岸公园,为人们提供一个亲近自然、享受生活的场所。更多美好,值得你亲自来现场领略!


要知道,此前国贸很多已交付的项目都能做到提前半年到一年甚至更久。据悉,国贸虹桥璟上有望在明年春节前后实现交付,可谓给业主吃下了一颗“定心丸”,省去等待时间的同时,品质也令人安心。(具体交付时间需以开发商的实际操作为准。)
Part3
建面约105-129㎡3-4房
收官132席 错过难再
最后,来看看项目推出的户型。项目本次加推收官132套房源,两栋楼的位置非常好,被水系环绕,且非常接近地铁站!
主力户型为建面约105㎡3房,以及建面约129㎡4房,要知道这批次加推后,只有二手房见了。

“百平三房”是上海新房市场上的主力军,国贸虹桥璟上带来了更创新、尺度更阔绰的建面约105㎡三房,亮点颇多。

在3开间朝南的基础上,其新开发了0.5,意味着更大的采光面、更强的通透性、更舒适的居住体验。约5.5米宽的横厅,再加上约8㎡的阳台,使得公共区域尺度感十足,功能性也更强。
特殊的是,全屋有整整6个飘窗!3个卧室附赠大面积飘窗,延伸生活空间;客厅也增加一处飘窗,采光面变得更宽。
通常,主卫和次卫能拥有窗户达到全明采光已经称得上优秀了,而这套户型的两个卫生间均都有飘窗,丰富收纳可能性。
再来看看建面约129㎡4房2厅2卫。大面宽,大阳台,尺度感和空间感都相当强,对改善购房者而言是个福音。
入户玄关同时满足了归家仪式、私密性、健康性和收纳的多重诉求。
主卧套房是改善四房的标配,但三卧室朝南、全卧室飘窗设计就体现出该项目的与众不同了,实用性更强,生活舒适度更高。
项目少量建面约89㎡3房户型热销中,总价控制合理,是刚需买家的优质选择。

户型非常方正且动线清晰,右侧为卧室等休息区域,左侧为厨房间和客餐厅等公共区域,保证了动静分区,提高空间利用率。
即使是刚需小户型,主卧进深依旧达到约3.8米,尺度比市面上大多百平三房还要宽阔,配合大尺度的大飘窗,享受更多的阳光沐浴。
从其装标细节中,同样能够看出国贸对于生活品质的追求。比如中央空调、地暖、新风均为国内或国外知名品牌,还精心配置了智能马桶、以及厨房凉霸等,尺度感与舒适感并存!



国贸虹桥璟上,以其卓越的品质、贴心的设计、完善的配套和便捷的交通,为您打造理想中的家园。在这里,您不仅能拥有一个遮风挡雨的住所,更能收获一种高品质的生活方式,一份家的温暖与归属感。
国贸虹桥璟上售楼处电话400-8824-258✨贯穿购房的每一个阶段,为您提供全方位、一站式的贴心服务与支持。无论您正处于购房旅程的起点,还是即将完成交易的收尾阶段,都能通过这一号码获取所需信息与帮助,轻松朝着理想家园大步迈进。
1、什么是房产:房屋产权的简称。
2、什么是地产:是指土地财产。
3、什么是房地产:是房产和地产的总称。
4、什么是房地产业:从事房地产开发、建设、经营、管理以及维修、装饰和服务的综合性产业。
5、什么是房地产开发:是指在依法取得土地使用权的土地上按照使用性质的要求进行基础设施、房屋建筑的活动。
6、什么是土地开发:是将“生地”开发成可供使用的土地。
7、集体土地是指:农村集体所有的土地。
8、征用土地是指:国家为了公共利益的需要,可依照法律规定对集体所有的土地实行征用。
9、什么是土地所有权:是指国家或集体经济组织对国家土地和集体土地依法享有的占有、使用、收益和处分的权能。
10、什么是土地使用权的出让:指国家以协议、招标、拍卖的方式将土地所有权在一定年限内出让给土地使用者,由使用者向国家支付土地使用权出让金的行为。
11、什么是土地使用权转让:是指土地使用者通过出售、交换、赠与和继承的方式将土地使用权再转移的行为。
12、什么是地籍、产籍:是对在房地产调查登记过程产生的各种图表、证件等登记资料,经过整理、加工、分类而形成的图、档、卡、册等资料的总称。
13、 生地是指:不具备开发条件的土地。
14、熟地是指:已完成三通一平(水、电、道路,土地平整)或七通一平,具备开发条件的土地。
15、什么是宗地:是地籍的最小单元,是指以权属界线组成的封闭地块。
16、什么是宗地图:是土地使用合同书附图及房地产登记卡附图。它反映一宗地的基本情况。包括:宗地权属界线、界址点位置、宗地内建筑位置与性质、与相邻宗地的关系等。
17、证书附图是指:房地产后面的附图,主要反映房地产情况及房地产所在宗地情况。
18、什么是物业管理:泛指一切有关房地产开发、经营、商品房销售、租赁及售后服务。
19、什么是业主委员会:是在物业管理区域内代表全体业主实施自治管理的组织。是代表
物业全体业主合法权益的社会团体,其合法权益受国家法律保护。
20、业主委员会是如何产生的:由业主大会从全体业主中选举产生。
21、住房补贴是指:国家为职工解决住房问题而给予的补贴资助。
22、房屋的所有权是指:对房屋全面支配的权利。
23、房地产交易的两种主要形式是:地产交易形式 与 房产交易形式。
24、建筑物是指:人工建造而成的房屋和构筑物。
25、构筑物是指:建筑物中除房屋以外的东西。
26、什么是期房:是指消费者在购买时不具备即买即可入住的商品房。
27、期房是如何介定的:房地产开发商拿到商品房预售许可证开始至取得房地产权证大产证或竣工验收合格可以直接入住使用)为止。
28、什么是预售合同:消费者在购买期房时签定的销售合同。
29、什么是现房:是指消费者在购买时具备即买即可入住的商品房,即开发商已办妥所售的商品房的大产证(或已经竣工验收合格并交付使用)的商品房。
30、什么是毛坯房:房地产商交付屋内只有门框没有门,墙面地面仅做基础处理而未做表面处理的房叫毛坯房。
31、什么是成品房:是指对墙面、天花、门套、地板实行装修。
32、什么是商品房:是指以完全的市场价格向购房者出售的房子。
33、商品房预售是指:在房地产尚未建成以前,房地产的经销商在取得受买人一定数量的定金后,将期房出售给受买人。
34、商品房现售是指:指房地产开发企业将竣工验收合格的商品房出售给买受人。
35、二手房通常指的是:再次进行买卖交易的住房。
36、经济适用房指的是:面向中低收入家庭的普通住宅。
37、例出3种以上的安居房的种类:准成本房、全成本房、全成本微利房和社会微利房。
38、低层住宅的介定:1-3层的住宅。
39、多层住宅的介定:4-6层的住宅。
40、小高层住宅的介定:7-11层的住宅。
41、中高层住宅的介定:12-16层的住宅。
42、高层住宅的介定:16层以上为高层住宅。
43、超高层建筑的介定:总高度超过100米的建筑。
44、商品房的结构是指:房屋主体所使用的施工工艺和用材。
45、钢结构的意思是:承重的主要结构是用钢材料建造的,包括悬索结构。
46、钢混结构的意思是:承重的主要结构是用钢和混凝上建造的。
47、砖木结构的意思是:承重的主要结构是用砖、木材建造的。
48、砖混结构的意思是:主要是砖墙承重,部分是钢盘混凝土承重的结构。
49、框架结构的意思是:以钢筋混凝土浇捣成承重梁柱,再用预制的隔墙分户的结构。
50、开间指的是:一间房屋内一面墙的定位轴线到另一面墙的定位轴线之间的实际距离。
51、进深指的是:一间独立的房屋或一幢居住建筑内从前墙的定位轴线到后墙的定位轴线之间的实际长度。
52、层高指的是:下层地板面或楼板面到上层楼层面之间的距离。
53、净高指的是:下层楼板上表面到上层楼板下表面之间的距离。
54、占地面积指的是:地块的总面积。
55、1亩约等于多少平方米:666.66㎡
56、居住小区总用地指的是什么用地的总和:住宅总用地,公共建筑设施总用地,道路、广场用地、庭院、绿化用地的总和。
57、住宅总用地是指:住宅用地面积的总和。
58、公建总用地是指:小区内部公共建筑占地面积的总和。
59、建筑用地面积的介定:建设用地位置和界线所围合的用地之水平投影面积。
60、建筑基底面积是指:建筑物首层的建筑面积。
61、建筑高度是指:建筑物室外地平面至外墙面顶部的总高度。
62、房屋的基底面积是指:房屋的基底面积是指建筑物底层勒脚以上外围水平投影面积。
63、道路面积是指:小区内宽度大于1.5米道路的面积总和。
64、广场面积是指:停车、回车广场和有铺砌地面的场地面积之和。
65、庭院、绿化面积是指:小区内集中绿化带、小公园,以及公共活动场所等为小区所有居住人员 共同使用权的绿化面积的总和。
66、假山、小池算不算庭院、绿化面积:算。
67、人均总占地面积(㎡/人)的计算公式:人均总占地面积=建筑红线内总用地÷本小区规划居住总人数。
68、人均住宅用地面积(㎡/人)的计算公式:人均住宅用地面积=小区内总住宅用地÷本小区规划居住总人数。
69、总建筑面积是指:小区内住宅、公共建筑、人防地下室面积总和。
70、人防地下室算不算在总建筑面积之内:算
71、住宅建筑面积是指:住宅建筑外墙外围线测定的各层平面面积之和。
72、套建筑面积是指:一套房屋的整体面积。
73、套建筑面积的构成是:套内建筑面积和套分摊的公用建筑面积
74、幢(栋)是指:一座独立的,包括不同结构和不同层次的房屋。
75、架空房屋是指:一般为底层架空,以柱子作为承重支撑物的房屋。
76、夹层是指:位于两自然层之间的楼层,指房屋内部空间的局部层次。
77、技术层的意思是:用作水、电、暖、卫生等设备安装的局部层次。
78、技术层层高在多少以上计算层数:2.20米以上的计算层数。
79、结构转换层是指:建筑物某楼层的上部与下部因平面使用功能不同,该楼层上部与下部采用不 同结构类型,并通过该楼层进行结构转换,则该楼层称为结构转换层。
80、跃层式住宅是指:一套住宅占两个楼层,由户内楼梯联系上下层,上下两层完全分隔。
81、阁楼是指:利用房屋内的上部空间加建的楼层。
82、阁楼层高在多高以上计算面积:2.20米以上。
83、地上层数是指:即房屋的自然层数,指室内地坪±0.00以上的按楼板结构分层的层高在2.20米以上的楼层数。
84、地上层数用什么数表示:自然数。
85、地下层数是指:采光窗在室外地坪以下的,其室内层高在2.20米以上的地下室的层数。
86、地下层数用什么数表示:负数。
87、房屋总层数是指:房屋的地上层数与地下层数之和。
88、地下层数算不算在房屋总层数之内:算。
89、例出3个以上不算在房屋总层数内的建筑层:假层、夹层、阁楼、装饰性塔楼、楼梯间、水箱间。
90、柱廊是指:有顶盖和支柱,供人通行的建筑物,称为有柱走廊,简称柱廊。
91、骑楼是指:底层为有柱廊房,廊道上方建为楼房的一部分。
92、挑廊是指:指二层以上挑出房屋墙体外,有围护结构,无支柱有顶盖的外走廊。
93、门廊是指:建筑物门前有顶盖,有支柱或围护结构的进出通道。
94、门斗是指:支撑建筑物门前顶盖的是实体墙称为门斗。
95、檐廊是指:房屋檐下方两端有支撑墙体无柱的通道。
96、天棚是指:即天篷,有透明顶篷履盖的屋面。
97、晒台又称什么:露台。
98、露台是指:供人室外活动的上人屋面或底层地面伸出室外的有维护无顶盖的台面。
99、阳台是指:有永久性上盖、有围护结构、有台面、与房屋相连、可以供人活动或利用的房屋附属设施。
100、阳台的分类有:封闭式阳台和半封闭式阳台。
101、封闭阳台是指:在围护栏、墙上部用铝合金玻璃窗等围闭的阳台。
102、封闭阳台面积如何计算:全部计算建筑面积。
103、半封闭阳台是指:除围护栏、墙以外没有进行围闭的阳台。
104、半封闭阳台面积如何计算:计算一半建筑面积。
105、楼梯是指:是指房屋层之间供垂直交通用的通道,
106、室外楼梯是指:依靠房屋外墙体搭建的永久性楼梯。
107、屋顶楼梯间是指:突出房屋屋面有顶盖,四周有围护结构,层高在2.20米以上供上屋顶维修或安全出口用的用房。
108、屋顶楼梯间算不算总层高:不算。
109、屋顶电梯间:指突出房屋屋面,层高在2.20米以上,供停放、检修、升降电梯的用房。
110、屋顶电梯间算不算总层高:不算。
111、设备间是指:一幢大楼内放置各种应用设备以及进行综合布线交接的房屋。
112、功能区的意思是:根据各共有建筑部位的用途而划分的服务范围称为功能区。
113、连廊是指:连接两幢房屋的走廊。
114、连楼是指:连接两幢房屋的楼房。
115、过街楼是指:底层局部为通道的楼房。
116、架空通廊是指:指以两端房屋为支撑,有围护结构,有顶盖无支柱的架空通道。
117、围护结构是指:将空间竖向分割成相对独立,不易通行的两个或多个部分的实体,起隔离作用。
118、墙和栏杆算不算围护结构:算。
119、基地面积是指:一个小区总的占地面积。
120、间距是指:建筑平面外轮廓线之间的距离。
121、国家间距标准的比例是:楼高:间距=1:1.2。
122、国家日照标准是:2个以上居住空间大寒日底层满窗连续日照不低于1小时,全天满足2小时。
123、结构面积是指:房屋建筑中外墙、内墙、柱等结构构件所占面积的总和。
124、公用面积是指:住宅楼内为住户方便出入,正常交往而设置的公共走廊、楼梯、电梯间等所占面积总和。
125、公用面积是如何分摊的:按栋或单元户数面积按比率分摊。
126、套内建筑面积是指:套门内范围的建筑面积。
127、套内建筑面积包括:套内使用面积、套内墙体面积和阳台建筑面积。
128、套内使用面积是指:指套内住户独自使用的面积。
129、套内使用面积的计算包括:卧室、厨房、卫生间、过厅、起居室、内走道、阳台、壁柜等净面积的总和。
130、套内墙体面积是指:套内使用空间周围的维护或承重墙体或其它承重支撑体所占的面积。
131、套内墙体面积的计算:全部。
132、各套之间的分隔墙按多少计入套内墙体面积:一半。
133、套与公共建筑空间的分割墙以多少计入套内墙体面积:一半。
134、外墙以多少计入套内墙体面积:一半。
135、套内自由墙体以多少计入套内墙体面积:全部。
136、套内阳台建筑面积是指:阳台外围与房屋外墙之间的水平投影面积。
137、公用建筑面积是指:各产权主体共同占有或共同使用权的建筑面积,指各套(单元)以外为各户共同使用,不可分割的建筑面积。
138、容积率是指:项目规划建设用地范围内全部建筑面积与规划建设用地面积之比。
139、一个项目总建筑面积为64000㎡,占地面积为40亩,容积率是多少:2.4
140、建筑密度又称:建筑覆盖率。
141、建筑密度是指:项目用地范围内所有基底面积之和与规划建设用地之比。
142、人口毛密度的计算公式:人口毛密度=小区内总居住人数÷小区内占地面积。
143、平均每平方米造价(元):平均每平方米造价=建筑物总造价÷建筑面积。
144、使用面积系数K1(%):使用面积系数=总使用面积(平方米)÷总建筑面积(平方米)×100%。
145、居住面积系数K2(%):居住面积系数=总居住面积(平方米)÷总建筑面积(平方米)×100%。
146、绿地率:指公共绿地、宅旁(宅间)绿地、公共服务设施所属绿地和道路绿地等四类绿地面积的总和占居住区用地总面积的比率。
147、公共绿地的介定:最小的要求是宽度不小于8米,面积不小于400平方米,
148、哪些绿化不能算入绿地面积:距建筑外墙1.5米和道路边线1米以内的用地,地下车库、化粪池等地表覆土达不到3米深度的设施不能计入。
149、绿化覆盖率:所有绿化面积与建设用地面积之比。即绿化面积÷基地面积×100%
150、绿化覆盖面积:所有植被垂直投影面积的总和。
151、得房率:指套(单元)内建筑面积与套建筑面积的比率。
152、公共能耗:是小区共用部位、共用设备和公共设施及在公共性服务中所发生的水、电、煤等能源消耗。
153、公共能耗费:因公共能耗而产生的费用
154、公共能耗费由谁承担:由全体业主承担。
155、规划形态是指:项目的具体建筑构成。
156、单元式住宅:是指在多层、高层楼房中的一种住宅建筑形式
157、居住单元:每个楼梯的控制面积称为一个居住单元。
158、一梯几户是指:一个单元里平层有几户的俗称。
159、房型(户型):是指一套住宅由多少卧厅、厨、卫等组成的总称。
160、面积配比:指的是各种房型面积在项目或单元中所占比例的多少。
161、房型配比:指的是各种房型在项目或单元中所占的比例的多少。
162、阁楼:是指位于房屋坡屋顶下部的房间。
163、普通住宅:是指按一般民用住宅标准造的居住用住宅。
164、准现房:准现房是指房屋主体已基本封顶完工,工程正处在内外墙装修和进行配套施工阶段的房屋。
165、居住组团:指一般被小区道路分隔,配建有居民所需的基层公共服务设施的居住生活聚居地。
166、公寓:是指二层以上供多户人家居住的楼房建筑。
167、纯办公楼:是指专为各类公司的日常营运提供办公活动空间的大楼。
168、商场:是指规划为对外公开进行经营的建筑物。
169、综合楼:是指兼有住家、办公甚至商场的大楼。
170、商住住宅:是住宅观念的一种延伸,它属于住宅,但同时又融入写字楼的诸多硬件设施,使居住者在居住同时又能从事商业活动的住宅形式。
171、别墅:是指在郊区或风景区建造的供住宿休养用的花园住宅。
172、联排别墅:三户或三户以上连体的别墅。
173、双拼别墅:二户连体的别墅。
174、独栋别墅:单楼独栋的别墅。
175、跃层式产品:住宅占有上下两层楼南,卧室、起居室、客厅、卫生间、厨房、及其它辅助用房可以分层布置,上下层之间的交通采用户内独用小楼梯联接。
176、跃层式产品的优点:跃层式住宅的优点是每户都有较大的采光面,通风较好,户内居住面积和辅助面积较大,布局紧凑,功能明确,相互干扰较小。
177、复式产品(LOFT):在建造上仍每户占有上下两层,实际是在层高较高的一层楼中增建一个夹层,两层合计的层高要大大低于跃层式住宅。
178、错层式住宅:是指楼面高度不一致错开之处有楼梯联系的住宅。
179、SHOPPING MALL:大型购物广场的英文名称。
180、共有房产:共有房产是指某一房产属于两个或两个以上的所有人共同所有。
181、半地下室:是指房间地面低于室外地平面的高度超过该房间净高的1/3,且不超过1/2者。
182、地下室:地下室是指房间地面低于室外地平面的高度超过该房间净高的1/2者。
183、一地下室室内净高2.6米,2米低于室外地平面,属于半地下室还是地下室:属于地下室。
184、商品房验收合格指的是:单体(即单幢楼盘)验收合格。
185、商品房综合验收合格指的是:包含所有配套设施在内的全部建筑物的验收合格。
186、空鼓:局部面与基层没有胶合剂或胶合剂没有起作用。
187、地基:建筑物下面直接承受建筑物重量的土层称为地基。
188、基础:建筑物的最下端与土壤直接接触的部分称为基础。
189、基础的作用:基础的作用是承受建筑物全部重量并将之分散传递给地基。
190、墙体是构件,也可以是构件:是维护分割构件,同时也可以是承重构件。
191、在一般砖混结构房屋中,墙体也是主要的:承重构件。
192、停车场:指在建设用地内为停放机动车和非机动车须配置的场地。
193、停车场小型机动车位面积计算:按每车位25平方米计算。