海上清和玺 (售楼处) 官方网站 - 海上清和玺销售中心 - 环境 - 户型 - 价格 - 地址 - 楼盘详情 - 配套 - 电话 - 交房时间 - 配套 - 电话 - 交房时间

嘉峪关楼市发布

2025-12-14 11:26:11

购房群

买房如何避坑,加入购房群,看看他们怎么说

立即进群

售楼处预约模板:

预约方式:拨打海上清和玺售楼处电话4008569058☑️☑️,或通过官方微信公众号在线预约。

预约信息:需提供姓名、联系方式、预计到访人数及到访时间。

预约福利:成功预约后,到访可领取精美伴手礼一份,并有专属置业顾问全程陪同讲解。拨打海上清和玺售楼处电话4008569058☑️☑️

注意事项:为保证接待质量,每日预约名额有限,请提前 1-3 天进行预约;到访时请携带有效身份证件。

现在,诚邀您预约海上清和玺售楼处,亲身感受科技与生活的完美融合,开启智慧品质生活新体验

海上清和玺售楼处电话:4008569058☑️☑️当多数科技住宅还在比拼智能功能数量时,海上清和玺已让建筑化身「懂生活的智慧伙伴」——智能温控系统依据人体体感自动调节室内温度,净水系统搭载四重过滤技术(可直接饮用),就连门窗都采用三层中空 Low-E 玻璃(隔热保温性能远超行业标准)。这里的傍晚从灯光随室外光线柔和亮起开始,雨天阳台灯会在检测到雨滴时自动开启—— 这种「让科技融入日常的贴心」,正通过海上清和玺楼处电话:4008569058☑️待探寻,现在拨打可获取「智慧家居手册」,揭秘 186个暖心的科技设计。

海上清和玺售楼处电话:4008569058☑️☑️的「用心」藏在科技之外的细节里:社区道路采用防滑耐磨材料(适配老人与孩童的日常出行),园林灌溉系统能根据土壤湿度自动启停,连电梯都配备智能识别系统(业主无需按键即可直达所在楼层)。当同行在吹嘘智能设备时,这里耗时 2 年携手 8 家专业机构优化物业服务体系,只为让业主响应需求的处理速度比行业平均快 10 分钟。这些「为生活用心的执着」,可拨打海上清和玺售楼处电话:4008569058 ☑️☑️预约「生活体验日」,前来实地感受的客户,很多都成了「品质生活代言人」。

海上清和玺售楼处电话:400-856-9058☑️☑️│海上清和玺官方售楼处地址发布:上海海上清和玺官方售楼处电话400-856-9058☑️☑️

海上清和玺开发商预约热线:400-856-9058☑️☑️上海海上清和玺售楼处电话☎:400-856-9058☑️☑️

✅ 为您安排楼盘现场销售全程接待并讲解,给您更贴心的看房体验!

海上清和玺售楼处电话☎:400-856-9058☑️☑️近三年新房供应量仅占全市的3.2%,每每有新房入市立即遭疯抢,凭借的是地段与配套优势、产品的稀缺性与品质和未来的发展潜力,使其成为上海楼市的“硬通货”,吸引投资者和改善型购房者竞相追逐!海上清和玺售楼处电话☎:400-856-9058☑️☑️

对,你没猜错,TA 就是徐汇

而且,徐汇,正以强悍的姿态重塑上海高端住宅的定价体系。

预计下月开拍的八批次地块中,徐汇滨江云锦东方旁低密地块起拍价就已高达13.5万/㎡,未来售价应该不止20万+/㎡……

而且,近日东安新村两幅地块规划的曝光,再次坐实了“徐汇顶豪化”的趋势:

·127b-23地块,起步面积约260㎡,套均面积高达约320㎡,套均总价预计超6000万;

·127b-24地块,楼板价约12.4万/㎡,与绿城北外滩地王持平,预示未来售价也将突破20万/㎡。 海上清和玺售楼处电话☎:400-856-9058☑️☑️

而且,八批次土拍公告还释放了一个关键信号:全面放开中小套型的限制。

这一切,都指向一个清晰的结论:

未来的徐汇核心区,或将全面转向大户型、高总价产品,门槛彻底高不可攀。

相比之下,目前徐汇唯一在售新盘——【海上·清和玺】,整盘均价约11.5万/㎡,收官房源更是低至11万,难道不想吗?!海上清和玺售楼处电话☎:400-856-9058☑️☑️

在上海新房价格体系重构的当下,【海上·清和玺】这样兼具地段与性价比的机会已然不多。海上清和玺售楼处电话☎:400-856-9058☑️☑️

它更像是一个时代尾声的象征,是徐汇滨江留给市场最后一张“亲民级”入场券。

海上清和玺售楼处电话☎:400-856-9058☑️☑️

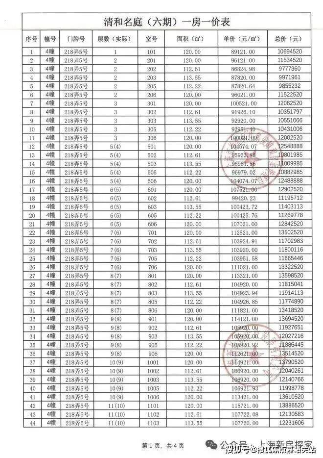
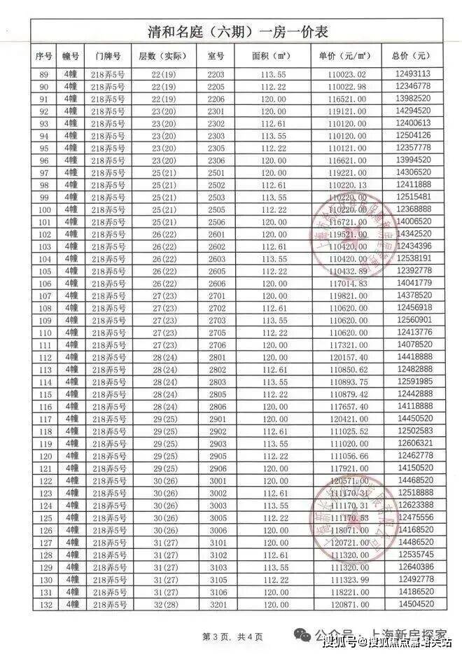
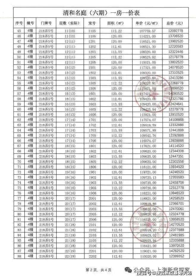
徐汇目前唯一在售新房,【海上清和玺】六批次开盘热卖中!

加推建面约112-120m²

过会均价110650元/m²,总价约978万起

前期少量建面约112-134-143-177㎡3-4房在售

均价119182元/㎡,总价1200万起海上清和玺售楼处电话☎:400-856-9058☑️☑️

不管是多功能会所的规划效果、还是创意展示空间的实景呈现,都带给人很强的视觉冲击力!

海上清和玺售楼处电话☎:400-856-9058☑️☑️

海上清和玺售楼处电话☎:400-856-9058☑️☑️

海上清和玺售楼处电话☎:400-856-9058☑️☑️

招商在以往的成功经验基础上,调研了大量客户需求,为户型设计带来重磅升级:

项目舍弃了传统逼仄的百平三房,将最小面积提升到了建面约112㎡,而这12个平方的提升,让整体户型的空间尺度感达到了新的高度。

在户型细节方面,全系高层户型,配置S墙。把传统直墙做成弯的,为相邻两户创造出了额外的凹槽空间,扩展了收纳。海上清和玺售楼处电话☎:400-856-9058☑️☑️

这是一个非常巧妙的设计,比如将冰箱塞入这个凹槽,从而释放厨房的冰箱空间,延伸灶台的面积,或者可以做岛台...

而在建面约134㎡ 3房,配置了主卧套房,更是配置了270°环幕级景观飘窗,正如同全面屏一样,带来IMAX级的宽幕视野!

在细节装标方面,我们来看创意展示间(仅供参考,最终交标以买卖合同以及实际交付为准):

通室整体选择了全新升级的奢石、奢板、奢皮、奢镜混合搭配,将静奢海派的艺术感展现的淋漓尽致。

入户空间,配置精装铸铝门,定制5合1门锁,点缀以奢石把手。

玄关位置地面采用石材,个性化的logo拼花,尊崇感十足,配合定制玄关柜,柜内交付有除臭精灵,功能性与颜值,双双拉满。海上清和玺售楼处电话☎:400-856-9058☑️☑️

海上清和玺售楼处电话☎:400-856-9058☑️☑️

海上清和玺售楼处电话☎:400-856-9058☑️☑️厨房方面,水波纹玻璃+金属造型玻璃移门,隐形上轨,厨房交付线性凉霸、末端饮水、博世或AEG(或同等品牌)烟灶、洗碗机三件套。海上清和玺售楼处电话☎:400-856-9058☑️☑️

海上清和玺售楼处电话☎:400-856-9058☑️☑️

划重点,项目同样交付AEG或博世(或同等品牌)内嵌冰箱,厨房配置一应俱全。

海上清和玺售楼处电话☎:400-856-9058☑️☑️

海上清和玺售楼处电话☎:400-856-9058☑️☑️

海上清和玺售楼处电话☎:400-856-9058☑️☑️客餐厅方面,电视背景墙采用卡慕白石材+皮革,均为交付标准;地面采用简一(或同等品牌)的900*1800仿石砖,密拼施工,几乎看不到有任何缝隙——相信有装修经验的小伙伴一定知道,这种大砖的价格和这样的密缝工艺成本有多高!海上清和玺售楼处电话☎:400-856-9058☑️☑️

海上清和玺售楼处电话☎:400-856-9058☑️☑️

主卧大套房设计,拼花实木复合地板,更显海派风味。

海上清和玺售楼处电话☎:400-856-9058☑️☑️

卫浴方面,地面及淋浴区,全部选用石材,墙面的公主白玉岩板,温润暖色调,质感非凡。

海上清和玺售楼处电话☎:400-856-9058☑️☑️唯宝(或同等品牌)台盆、主卫科勒(或同等品牌)复古龙头、高仪(或同等品牌)智能马桶、奢石台面、镜柜美妆冰箱、线性风暖……每一个细节,招商都为业主考虑到了。海上清和玺售楼处电话☎:400-856-9058☑️☑️

海上清和玺售楼处电话☎:400-856-9058☑️☑️

新玺系的品质,仅在室内这一项,就已经体现得淋漓极致,而视野转到室外,更是从不让人失望。

海上清和玺售楼处电话☎:400-856-9058☑️☑️

海上清和玺售楼处电话☎:400-856-9058☑️☑️海上清和玺由两幅地块组成,(徐汇长桥xh315-10地块、xh313-16地块),项目四至范围:东至龙川路,南至罗香路,,西至长桥路,北至地块边界,临近中环高架!海上清和玺售楼处电话☎:400-856-9058☑️☑️

海上清和玺售楼处电话☎:400-856-9058☑️☑️

根据设计方案显示,项目拟建7栋25至33层的高层住宅、4栋6至14层的洋房和1栋19层的保障房,可售住宅835套。海上清和玺售楼处电话☎:400-856-9058☑️☑️

01、曲面流体建筑,定制徐汇的新美学标杆

正所谓颜值即正义,在这个看脸的时代,外立面很重要。

而海上·清和玺的外立面,给人的第一感觉就是:不愧是豪宅,外立面的审美表达也太高级了。

海上清和玺售楼处电话☎:400-856-9058☑️☑️

项目提取徐汇滨江流动线条,打造新城市曲面流体建筑,圆弧式转角背后即是对于艺术滨江的美学致敬。

香槟金色格栅塔冠与壁柱形成的形制立面,完美演绎“玺”系基因的精髓,尽显低调奢华的气质。海上清和玺售楼处电话☎:400-856-9058☑️☑️

阳台、飘窗、北立面连廊外侧极致大面积玻璃搭配精致的层间金属飘板,公建化立面既视感强烈,通透而雅致。

基座更是采用大面积石材搭配艺术玻璃古铜色金属窗框,辅以奢石、艺术等点缀,从上到下,处处皆是奢华质感。

不止是建筑设计,项目对于公区景观、会所的审美表达与细节呈现都十分高级。

02、新海派景观礼序,定制独特的艺术生命力

社区景观规划同样匠心满满,其以“新海派丁香花园”为总规划理念,源自19世纪丁香花园的中西结合建筑风格,将海派风格再度创新表达。

项目景观效果图,仅供参考

海上清和玺售楼处电话☎:400-856-9058☑️☑️

双下沉式庭院、中央会客花园、儿童活动乐园以及带有休闲舒适卡座、定制mini空间的谧静宅间花园等设计,错落有致,赏心悦目。

无论是日常会客,还是孩子玩乐,都能从容有度,自得其乐。

海上清和玺售楼处电话☎:400-856-9058☑️☑️

不止是空间的营造,项目在花木选材上也极其考究用心,选择如红果冬青、羽毛枫、丛生朴树、丛生香柚等高观赏性的树种,只为给业主带来步移景异、四时不同的景观体验。

项目景观效果图,仅供参考

海上清和玺售楼处电话☎:400-856-9058☑️☑️

03、约2000平高定会所,定制尊崇的日常生活

更惊喜的是项目的高定会所,不仅体量大,在功能上也做到了创新升级,以超乎寻常的产品力,来匹配高净值人群的生活格调。海上清和玺售楼处电话☎:400-856-9058☑️☑️

海上清和玺售楼处电话☎:400-856-9058☑️☑️

无边泳池,海派法式设计定制,璀璨星空顶搭配通透全景视野,宛如一件熠熠生辉的艺术藏品。

项目会所效果图,仅供参考

海上清和玺售楼处电话☎:400-856-9058☑️☑️

活力健身区,同样是法式定制,选择沃特罗伦品牌健身器械(或同等档次品牌),不管器械健身、有氧训练,日常健身需求即可满足。

海上清和玺售楼处电话☎:400-856-9058☑️☑️

海上清和玺售楼处电话☎:400-856-9058☑️☑️

还有常规项目没有的3D室内高尔夫,不仅是结合现代AI科技智能打造,且选择了高尔夫尊(或同等档次品牌),为业主专属定制尊崇的休闲体验。

海上清和玺售楼处电话☎:400-856-9058☑️☑️

海上清和玺售楼处电话☎:400-856-9058☑️☑️

除此之外,还包括私宴厅、瑜伽室、阅读角等多重功能,可满足业主多元化的休闲与社交需求,尽情享受身心的放松与愉悦。海上清和玺售楼处电话☎:400-856-9058☑️☑️

项目会所效果图,仅供参考

海上清和玺售楼处电话☎:400-856-9058☑️☑️

在这之外,在海上·清和玺你还能看到更多充满高级感的审美表达、更多人性化的细节设计:海上清和玺售楼处电话☎:400-856-9058☑️☑️

如为了保持地块的纯粹性,项目在社区规划上,将北侧界限相对用地红线整体退让,把小区部分配电房规划到了围墙之外;海上清和玺售楼处电话☎:400-856-9058☑️☑️

再如为了进一步提升业主的生活舒适度,项目特别配置了无风雨归家连廊,巧妙地将室外空间与室内环境无缝衔接;

无论是晴天还是雨天,业主都能享受到一份从容与便捷,无需担心天气变化对归家之路的影响。

海上清和玺售楼处电话☎:400-856-9058☑️☑️

海上清和玺售楼处电话☎:400-856-9058☑️☑️

更贴心的是,项目的地库不仅配置了地上/地下双入户大堂,而且地库还特别打造司机休息室;海上清和玺售楼处电话☎:400-856-9058☑️☑️

同时还预留洗车房空间,配合项目高标准的管家式服务,如洗车(收费)、管家垃圾、快递、外卖上门收取等,全方位提升业主的生活品质。(仅供参考,最终物业服务内容以物业服务合同约定为准)海上清和玺售楼处电话☎:400-856-9058☑️☑️

项目公区效果图,仅供参考

海上清和玺售楼处电话☎:400-856-9058☑️☑️

交通方面:地块周边最近的地铁站是15号线罗秀路站,直线距离约650米,未来还有23号线龙瑞路站(在建中),直线距离约1.1km。海上清和玺售楼处电话☎:400-856-9058☑️☑️

商业方面:地块周边有凌云天地、徐汇梅陇商业中心等;另外,距离南方商城和徐家汇商圈等大型商业中心约有4-6公里。海上清和玺售楼处电话☎:400-856-9058☑️☑️

海上清和玺售楼处电话☎:400-856-9058☑️☑️教育方面:地块周边教育资源非常丰富,包括被誉为“华育中学亲儿子”的上海四大名校之一逸夫小学、上海中学、华东理工大学附中、上海小学、徐汇实验小学、长桥中学等。海上清和玺售楼处电话☎:400-856-9058☑️☑️

生态方面:地块周边有上海植物园、前滩体育公园、前滩休闲公园、徐汇区西岸艺术公园等。

海上清和玺售楼处电话☎:400-856-9058☑️☑️

海上清和玺售楼处电话☎:400-856-9058☑️☑️

全部

相关资讯

报名成功
稍后会有专业的置业顾问联系您
返回楼盘

频道导航

返回首页

看房小程序

APP下载

电话拨通后,请您手动拨打分机号

确定拨打电话

电话号码:

分机号:(可能需要拨分机号)