保利西郊和煦首页网站丨保利西郊和煦-2024年最新价格|户型配套

嘉峪关楼市发布

2024-08-07 18:44:26

购房群

买房如何避坑,加入购房群,看看他们怎么说

立即进群

最新消息,保利西郊和煦 火爆认购中!均价约69999元/平方!主推建面约96-165平高层/联排别墅!内附完整一房一价表!

保利西郊和煦 做为西南刚需三兄弟之一,(西南三兄弟九亭、泗泾、洞泾)

缺点:洞泾相比其他两个发展是最晚的,九亭靠近七宝、大虹桥发展比较成熟,泗泾是上海6大动迁基地之一,也有地铁9号线,配套也比较完善。唯有洞泾基本上没有什么大的发展.还是一片空白。

优点:但谁着G60科创走廊的正式落地成长,加上洞泾人工智能高地的正式产出,加上12号线的西延伸,洞泾好像是开挂了一样,一年一个样,发展速度超过前面的两兄弟,在G60科创走廊的持续发力下,洞泾的未来可能是上海的小张江,产业能极非常强,为洞泾的发展加足马力。

保利西郊和煦

首付77万起!

上车利12号线旁墅区洋房红盘!

2024仅此一次,错过不再!

目前少量房源直接认购中

前期建档有2%优惠,据说认购当天可再享总房价1%优惠,抓紧冲!

上海保利西郊和煦预约热线:400-833-6309√√☎贵宾热线

上海保利西郊和煦预约热线:400-833-6309√√☎贵宾热线

对项目有兴趣的朋友,上海保利西郊和煦预约热线:400-833-6309√√☎贵宾热线

预约看房请保持手机畅通

等待官方销售团队与您联系

感谢配合!

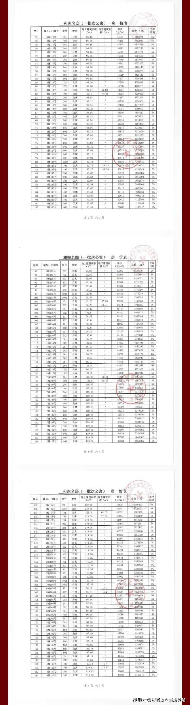
此为这次新货推出的部分一房一价表

2024年7批次新房已经官宣,可以发现,总价400万左右新房,尤其是地铁房已经所剩无几。上海有轨交的热门置业板块,如宝山顾村&杨行、浦东曹路&航头、松江泗泾、青浦赵巷、嘉定菊园等都相续步入5万+,主力总价来到500万级。总价400万左右想要买到精装3房,如果再追求居住品质、舒适度,可供选择的余地可以说微乎其微。

同样直达漕河泾、徐汇,总价相差近100万,这样的区别在于史诗级12号线延长线,改变9号线“独铁难支”的局面

同时5站莘庄,房价减半,

更说明这片土地有前景有便捷度有中心引力!

总价384万起买超感轨交96㎡三房两卫

轨交+配套+中心+品牌+产品+质价比,超越所享

ü地铁!有,12号线延长线,史诗级利好,一脉徐汇

ü中心!有,G60科创中心,首破千亿,11万㎡+3TOD

ü品牌!有,央企保利

ü自然低密安静!有,20年浓荫区500米河岸1.5容积率

ü里子!有,高拓超感,真的将空间做到极致

ü性价比!有,400万左右墅区洋房

保利西郊和煦VS同批次“上车”盘

400万左右保利西郊和煦

一期首开建面约96㎡三房首付77万起

可谓是硬核产品的显眼“质价比”

户户带270°转角飘窗,完全适配双孩书桌+床+收纳的需求,

并且有海派拼花大堂,户户皆楼冠等堪称稀缺的亮点,让市场持续期待!

建面约96㎡进深做到约4.1米的横厅设计,也是小户型里做横厅少见的。

更何况,相比同板块同级产品,四至五飘窗设计,让每户面积至少能多5%(房地产专家看完后评论道)

纵览一脉徐汇,莘庄等地令人却步的天价

对比同莘庄板块,差价达约500万!(数据来源于贝壳)

更何况还是双央企品质,全系户型高拓的越级品质

!低总价低预算,上车上海都会轨交浓荫墅区的绝佳机会来了!

近邻华二,生活及未来跃级超享!

(教育设施相关最新信息及情况,须以政府相关主管部门、教育机构公开最新信息为准。)

有幸一睹超感作品真容,确实被震撼到了。

开放当天人头涌动,坐无虚席!现场客户无不对于海派超感产生浓厚兴趣,而也因为这次的开放,很多客户都对于“超感”有了新的理解——无论是尺度/不计算面积部分,还是风格的领先,礼序的营造,都是超越目前!

真无愧于400W级“必”看的轨交顶级改善热盘,

认购盛启

莘庄下一站+12号线旁(在建)

G60科创中心+西郊科创低密别墅区

保利西郊和煦6.15开启认购啦

建面约96-119㎡墅境平层

更有建面约126-165㎡联排艺墅

约96m三房两卫,首开有总价400万以内房源,不容错过!

六边形战士能打超能打

真的是400W级/首付77万起的产品硬核王

项目主力户型建面约96㎡3房2厅2卫,这是一个功能性和尺度感完美结合的明星户型。户型三开间朝南、室内“3个飘窗+1个270°采光窗面+1阳台”、再加上“2卫”的设计,不管是采光、视野、通风、私密性,还是实用性都十分出色。

飞机户型天然对空间的利用更充分。整个户型以客餐厅为中心点,自然延伸至各个功能间,室内没有多余的过道,几乎没有被浪费的过道面积。房间内几乎每一平米都得到了更大化利用,整体尺度感远超同面积段其他产品!

800库的玄关空间,可以做到约80*110cm的空间,约2.8米高的双层收纳,间兼具收纳功能的同时,出入更具仪式感。

客厅进深约4.1米,面宽约3.5米,南连同尺度宽景阳台,将生活的奢度打开。阳台外窗采用大面积窗墙比,使得室内整体采光面、亮度、通风效果得到提升。

全墙纸交标结合整幅岩板客厅景墙,以定制设计感提升空间立体感。

餐厅空间相当阔绰,可放置四人桌或六人桌,尺度之大在400万左右产品中非常难得一见。

U型厨房带飘窗的设计,左侧预留了双开门冰箱位置,让整个空间的利用率更高。

次卧实现270°L型飘窗,双向窗户采光,可以轻松拓展出书桌及收纳空间,尺度感非常不错。

主卧套房设计,带卫生间+飘窗,舒适度与私密性兼具!

次卫采取干湿分离设计,避免早上洗漱的“排队”,充分体贴日常需求。

卫生间浴室配备品质4件套,同时置物架/镜柜/去水槽等匠心设计,也将卫浴间的精致拉满。上海保利西郊和煦预约热线:400-833-6309√√☎贵宾热线

项目所有起居室+厨房都配备了飘窗,超大附加空间,让室内视觉延展性、收纳空间都得到了更好的提升,性价比超高。

项目精装交付标准更是诚意满满。中央空调、地暖、新风三大件配齐,还采用了高仪、唯宝、科勒等国际知名品牌,整体装修品质有保障。

另外,项目无连廊设计,很大程度上提高了得房率,再加上是10F平层产品,得房率就更高了。项目采用非封闭阳台设计,也在一定程度上降低了客户的购房成本。不得不说,这个建面约96㎡3房2厅2卫户型,能满足业主从二人世界到三口之家,再到二胎家庭的全生命周期需求。

有进阶改善需求的朋友,上海保利西郊和煦预约热线:400-833-6309√√☎贵宾热线还可以选择建面约119㎡4房2厅2卫。建面约119㎡4房2厅2卫,是南北通、3+1开间朝南的飞机户型,做到了南向双卧+主卧套房设计+双卫设计,不失功能性的同时让总价更为友好。客餐厅一体化设计,整个公区视野开阔尺度阔绰,足以彰显业主的非凡气度。

该户型类1梯1户设计,拥有类独立梯厅,给足了业主归家仪式感和尊崇感,同时拥有一个尺度阔绰的入户门厅作为自己家的延伸!

4房的功能性很强,不仅可以满足三代同堂的家庭所需,还能承载三孩家庭的温馨。

便捷交通——史诗级地铁线黄金线

一步到位当选兑现度看得见的!

【史诗级地铁线】

作为黄金三角又一极的G60科创中心,迎来了”新贵线“12号线西延长线史诗级利好,改变缺少一轨连徐汇的历史!同时也为“不堪重负”的9号线减负!

12号线西延长线建成后,从保利西郊和煦出发,1站G60云廊,一脉徐汇滨江,享受四大超级商业巨舰,并能与10条线路无缝换乘,快速接入城市中心!价值逻辑实现颠覆性跃升!

G60科创云廊首次实现千亿营收,夯实引发万亿回响的源头效应,实现从科创中心到超级中心的跃升!

与徐汇南中心/大零号湾,组成被业界喻为科创界的”黄金三角“天花板!

未来有规模/有规划/有产值,动辄千亿万亿,全是高新技术汇聚,共同形成上海”科创南倾“新格局!而相较于两者,只有G60科创中心的兑现全面落地,发展兑现速度超乎所想!

保利西郊和煦,正是位于G60科创中心“20年培育的浓荫墅区”,12号线西延申段建成后,即可享5站莘庄,实现产业区到墅区的浓荫进阶!

在保利西郊和煦,以开阔致意极致,容积率1.5环河排布——拥有约500米的原生水岸岸线。

而更重要的是位于“前城后墅+墅区正核”的优越位置,让生活被一片浓荫包裹,而周边远离厂区/变电站等烦嚣,拥有天然的纯粹基因。

“滨水环绕+心藏浓荫”是一大规划亮点上海保利西郊和煦预约热线:400-833-6309√√☎贵宾热线,整体布局呈现退台式,将滨水及低密的优越性引入到平层的每扇窗!同时约200米区域内首屈一指的园轴设计,让高层栋栋皆楼冠,户户皆阔景,而且甚至做到前排高区完全无遮挡视野,实现浓荫之上的跃级奢享!而这约200米圆轴之上,融入8大主题特色,让四时赏花,全龄趣享不再是想象!

保利发展进入上海20余年来,重点布局滨江两岸、苏河沿岸、五大新城等热点核心区域,累计开发项目超过50个。到2023年以全口径554亿位居上海市场TOP2,厚积薄发,一路向前。

保利发展上海公司参与G60科创中心发展探索之中,带来2024年度墅区力作——保利西郊和煦,以“万物和煦于心”的理念,匹配精英进阶所需。

2024超人气明星红盘

保利西郊和煦已取证

超感美学范本,超高拓,低总价

384万起入门级轨交墅区超感美学平层

大品牌好择址低密墅区迭代营造

首付77万起,上车保利上海轨交红盘

认购盛启,错过难再

兴趣的朋友

上海保利西郊和煦预约热线:400-833-6309√√☎贵宾热线进入报名通道

预约咨询、参观

上海保利西郊和煦预约热线:400-833-6309√√☎贵宾热线

免责声明:本篇分享文案非广告,文案所涉及的图文资料仅供参考,开发商可能对项目细节等做进一步优化调整,具体以最终签订的买卖合同为准,开发商在法律规定的范围内保有最终解释权。部分文案、图片素材来自网络如有侵权联系删除

全部

相关资讯

报名成功
稍后会有专业的置业顾问联系您
返回楼盘

频道导航

返回首页

看房小程序

APP下载

电话拨通后,请您手动拨打分机号

确定拨打电话

电话号码:

分机号:(可能需要拨分机号)