大华公园柏翠售楼处电话→售楼中心电话→​​大华公园柏翠楼盘百科→首页网站→售楼处电话→售楼中心电话→楼盘详情→楼盘地址→首页网站→24小时热线电话

嘉峪关楼市发布

2025-06-19 13:35:40

购房群

买房如何避坑,加入购房群,看看他们怎么说

立即进群

项目为大华公园城市的四期,东至15-06地块(公共绿地)、南至15-04地块、西至大康路、北至共康路,占地面积43500㎡,总建筑面积140051.13㎡,容积率2.20,总户数957户。

大华公园柏翠售楼处电话:400-8894-638

根据项目规划设计方案,拟建15幢16-18F住宅(含1幢保障房)以及配套用房等建筑。

大华公园柏翠售楼处电话:400-8894-638

超宽楼距:低密小高层,采光、视野无遮挡,保证了清风阳光对流。

(效果示意图)

大华公园柏翠售楼处电话:400-8894-638

约80米气派门面:非凡界面昭示,彰显大家门风。

(效果示意图)

高感车库:引光入径,指引回家方向,营造明亮温馨的仪式感。

(示意图)

大华公园柏翠售楼处电话:400-8894-638

星级酒店大堂:全T2设计,出入从容,悦享私密尊崇。

(效果示意图)

大华物业:国家一级物业管理资质,中国物业服务百强企业,为逾百万家庭幸福生活保驾护航

(示意图)

大华公园柏翠售楼处电话:400-8894-638

奢氧无界秘境·内外双园

秉持 "内外双公园、城市公园一体化"的理念,融合 “奢尚、自然、静谧、温暖”,打造 【一轴、一带、一环、九园】的生态品质社区。

(效果示意图)

一轴:纵向公园归家轴

一带:横向精致花园带

一环:阳光有氧环形跑道

大华公园柏翠售楼处电话:400-8894-638

(效果示意图)

九园:潮汐花园(社区外围口袋花园)、浔湾秘境(会所式入户)、社交剧场、漫游森境、下沉会所、阅读花园、社交花园、自然博物馆等。

(效果示意图)

项目推售详情

据悉, 大华·公园柏翠此次加推约101-142㎡3-4房,共计68套房源,

均价63270元/㎡.

大华公园柏翠售楼处电话:400-8894-638

在户型设计领域,大华一直是业内的匠造大师!而在大华公园柏翠身上,我们同样看到了一以贯之的产品力!

约5.3M阔尺横厅/约11.5M南向面宽

官方户型图如下:

产品力上:

如果你熟悉上海市场,你会发现目前市面上的户型普遍会面临:利用率低、有连廊、采光不足、卫生间少/功能性差、卧室太小不够等问题。

但大华公园柏翠的建面约101㎡3房2卫,却很好的解决了以上所有问题:

约5.3米的大横厅、整体约11.5米的巨型南向面宽!

一方面,在整个中环甚至是整个上海, 百平米3房能做到约11.5米面宽的新房,只有大华公园柏翠。

另外一方面,这个南向采光面带来的居住舒适度是MAX级的。

尤其是 约5.3米的大横厅+超大阳台的设计,撑起气场的同时,也能为家庭带来更多的生活想象。

大华公园柏翠售楼处电话:400-8894-638

实景图

小高层+飞机户型造就真3房的实用性!

小高层的天然高得房率+飞机户型带来的0走道优势,让这个百平米户型做到了 真正的3房

相比竞品户型的 2房+1个功能房,其功能性天壤之别。

大华公园柏翠售楼处电话:400-8894-638

实景图

南北通透带来极为宜居的居住环境!

大华公园柏翠的客餐厅以及厨房一脉相连,中间套也能实现完全的南北通透,出色的空气流动性能为业主带来更加舒适、宜居的居住氛围。

LDKB的设计,在撑起气场的同时,也增加了更多的生活想象!

还有细节方面的设计,例如:次卫的干湿分离保证室内的干燥;入户的玄关、主卧的套房,保证了主人的私密空间...

这个户型拥有一个“好户型”的所有特质,上车必看的首选户型!

建面约142㎡类一梯一户顶奢4房:

大华公园柏翠售楼处电话:400-8894-638

稀缺属性上:

2021年至今,整个上海140-145㎡新房仅供应532套,占比 不足5%。光这个产品在整个市场中就已经足够稀缺了。

产品力上:

说实话,到建面约142㎡的维度,各个项目的户型设计都很不错。

但有几点真的是大华公园柏翠独有的。

类一梯一户,享独立电梯厅,在入户仪式感和私密性拉满的同时, 增加了实际使用面积,变相提高了“得房率”。

四开间朝南南向面宽达约15.4米,其中三卧朝南。一般来说,4房户型中2房朝北是逃不掉的问题,但大华公园柏翠长面宽短进深的设计,让这个户型的 得房率、采光度更上一层楼。

约5.9米面宽的巨幕横厅,加上同样面宽的宽绰阳台,为业主带来更多的生活想象。

这个户型拥有一个好户型应该拥有的所有特质!

大华公园柏翠售楼处电话:400-8894-638

实景图

这两个产品,真的是如今上海市面上,同级别户型中设计感最强的户型。

最后,还有一点: 项目将标配国际家装大牌、臻选精奢材质

再来看比肩千万级豪宅的奢华公区:

在归家动线上特别打造了“三进式”归家礼序,并且每一层归家礼序的打造,都是按照千万级豪宅才有的规格。

一进:宽约80米、高约6米的气派大门。

并且在选材上选用来自吴哥窟的 进口石材,尽显静谧奢华的气质。

主入口利用 108片伯爵灰大理石打造12座景墙单元,辅以 香槟色不锈钢修饰。

整体迎宾空间耗材 约1800片大理石,这样的大门规格、石材用料以及用心程度, 无不体现出大华公园柏翠对标豪宅的决心。

大华公园柏翠,打造的是清一色16-17层的小高层住区,容积率仅为2.2,这也造就了项目 低密的体质。

大华公园柏翠售楼处电话:400-8894-638

(示意图,图片源于网络,且学校不作为购房承诺)

·首先,自然生态,让家时刻生长于公园里。项目外部生态环境非常优越,内部同样采取公园的模式,以 “一轴、一带、一环、九园”的设计手法,打造了一座公园里的家。

二进:围合庭院。

庭院由 4处归家通道、8扇造型屏风和1座水景雕塑的一体化设计打造而成。

用料上,庭院两侧设计师选用 大理石与镂空铝板虚实结合,利用2层柏翠造型铝线条错拼而成,更显精致;

实景图

三进:宅门。

整座大堂外墙 采用伯爵灰大理石满铺高墙,电动门镶嵌 宝格绿奢石,实现无感通行;

这些用料和最终呈现出来的浓郁海派氛围,是对大华集团实力和匠心最好的体现。

另外,大华公园柏翠利用12级叠水、2座树池、9步水上汀步,运用六重造景的手法打造近500平的中央水景!

大华公园柏翠售楼处电话:400-8894-638

用一颗柏翠树型的构筑物形成独具艺术气质的“大树咖啡厅”,不仅拔高了社区的整体审美艺术和品味,也可供业主闲时聊天赏景、遛宠遛娃。

并且将中心场地抬高1米,在水系池底通铺1300多片的PRADA绿石(仿石砖)、精选斜飘乌桕、造型紫薇等名贵树种...

不难看出,大华公园柏翠不仅卷用料,更在审美艺术、生活方式上接轨国际前沿,拔升了高端住宅的品味和调性,整体的公区用料更是媲美高端豪宅!

大华公园柏翠售楼处电话:400-8894-638

实景图

总的来说,大华公园柏翠的产品力,有着不输任何对手的底气!一旦步入二手,这就是整个中环旁的王者,拥有极强的未来潜力。

·其次,品质细节,让家时刻保持于高品位。建筑设计整体通透明亮,即有现代的审美又有采光引入的实用,保持着永不过时的风格。而且 超宽楼距,阳光与风景都无遮挡。

约80米气派门头,尽享气派的归家仪式感。

星级酒店大堂,让尊贵的仪式感无限延伸。全T2设计,悦享私密的遵崇,让出入更从容。

大华公园柏翠售楼处电话:400-8894-638

公区品质也细心的打磨。比如 ,高感车库,营造明亮的泊车环境。以及, 人车分流,创造更为安全的生活空间。

(示意图,来源于网络)

大华公园柏翠距离 静安区只有约400米左右的直线距离,是整个宝山距离中心城区最近的新房。 加上周边1号线、18号线、南北高架等城市主动脉的加持,整个大华公园柏翠去哪儿都方便。

市北高新以数字经济全生态+数据要素创新等产业形态,与张江科学城(硬科技)、漕河泾(电子信息)形成错位竞争.其能级位居上海中心城区科技园区第一梯队,更是上海数字化转型的核心引擎之一。

大华公园柏翠售楼处电话:400-8894-638

从地图上看,该地块距离静安区的直线距离只有400米,距离大宁核心区域仅约5公里,不仅离大宁国际商圈近,周边还有宝山万达、大华商圈等大型商业配套。

大华公园柏翠售楼处电话:400-8894-638

除此之外,依托经过传统市中心的 1号线,可以快速直达大宁、人民广场、淮海路、陕西南路等,经转乘通往陆家嘴、南京东路、南京西路也极为便捷。

大华公园柏翠售楼处电话:400-8894-638

1号线线路图

区别于其他区域或者其他刚需项目,这个地块不仅公共交通无死角,商超配套、教育资源,自驾出行也刚好都跟得上,刚好能满足你所有的生活需求!

商超配套方面,大宁区域内的大宁国际广场、大宁音乐广场、静安大融城、协信星光广场、大宁久光百货等大型商业,还能享受社区商业,同时毗邻社区菜场,生活非常便捷。

协信星光广场 配套实景图

大华公园柏翠售楼处电话:400-8894-638

大宁音乐广场 配套实景图

教育方面,附近不仅有陈伯吹实验幼儿园、华东师大实验学校等名校,项目还规划配套学校。

大华公园柏翠售楼处电话:400-8894-638

陈伯吹实验幼儿园

生态也是一大亮点,家门口就拥有千亩城市绿地。日常放松身心、休闲散步都有了好去处。项目坐拥五大公园:约80万方伟岸绿境环抱,约等于两个长风公园大小!包括千亩绿境(约60万方绿化在侧),约3万方庙行公园、约4.2万方共和公园,约2.7万方三泉公园、约9.3万方彭浦四季公园等。

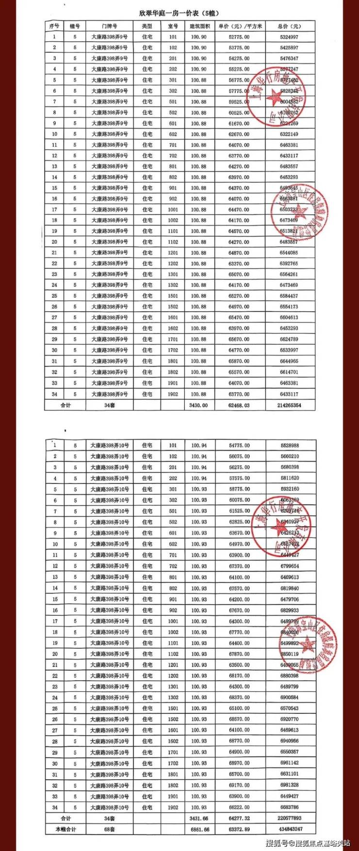
大宁北1/18号线旁「公园柏翠」少量建面约101-142㎡3-4房,均价65327元/㎡!

一房一价表如下:

大华公园柏翠售楼处电话:400-8894-638

大华公园柏翠售楼处电话:400-8894-638

大华公园柏翠售楼处电话:400-8894-638

大华公园柏翠售楼处电话:400-8894-638

全部

相关资讯

报名成功
稍后会有专业的置业顾问联系您
返回楼盘

频道导航

返回首页

看房小程序

APP下载

电话拨通后,请您手动拨打分机号

确定拨打电话

电话号码:

分机号:(可能需要拨分机号)