【青云上】项目是2023年7月13日,联发+联发联合体以总价13.365亿元竞得的浦东新区曹路基地15-01地块,楼板价28369元/㎡,溢价率10%,房地联动价51500元/㎡,成交总价13.365亿!

项目规划6栋总层高16层的可售住宅,共448套,主力户型是约95和116㎡,根据出让要求,中小套户型不得低于60%,项目需配建5%以上的保障性住房,全装修比例50%,容积率2.0,限高50米!

社区品质方面,该项目为非人车分流,内部规划有健身点和儿童活动场地,1梯2户,仅12、15F带连廊,楼间距约37-54米!
02.国企品牌背书 买的放心住的安心
选对一家值得信赖的房企品牌非常重要,尤其是近几年,国企越来越受购房者欢迎。
一方面是因为国企整体的品牌、资金实力更强。
另一方面是因为国企品牌,往往附带其他价值,比如社区安全、园林环境……
【建发联发·青云上】由世界500强国企建发集团旗下两大核心房产集团匠心打造。
建发集团 实力国企,2023年《财富》世界500强第69位年营收超8400亿元,资产规模超7200亿元(数据来源于《财富》2022年世界500强排名、建发集团官网)业务涵盖供应链运营、城市建设与运营、旅游会展、医疗健康、新兴产业投资等
联发集团系建发集团旗下核心企业聚焦房地产开发、物业服务、代建业务及城市更新、产业运营等领域连续16年上榜中国房地产百强企业。
一、连续16年上榜中国房地产百强企业
二、2022中国房地产百强企业TOP33
三、布局全国28座城市
四、2022中国房地产公司品牌价值(国企)TOP10
曹路板块地处浦东新区的东部,与产业聚集区域金桥、外高桥、唐镇相邻。
金桥开发区聚焦于三大产业——未来车、新通信、智能造,以浦东1/50的土地贡献了浦东1/4、上海1/15的工业经济规模;外高桥保税区是中国第一个保税区;唐镇北部为上海重点打造的金融信息服务产业基地。
受周边板块辐射影响,曹路板块的发展前景十分广阔。

03.以“诗意东方”美学社区
兑现现代理想舒居
在项目的打造上,建发和联发更是携手给出了令人耳目一新的答案!
不同于常规住宅产品的中规中矩,项目自有独一无二“诗意东方“的风格,用8个字来形容就是:
具古以化,去形留意。
阶段性过程效果图,仅供参考

无论是建筑还是景观,既有东方美学的雅致,也有现代审美的潮流元素。让我们具体了解一下:
01 建筑上,东方飞檐+三段式设计,尽显美学气质
项目建筑外立面主色调为香槟金色与灰色相结合,单元入口部位使用蓝眼睛石材及香槟金色金属;更独特的是,项目将东方飞檐元素融入现代美学立面,形成不落俗套,气质清闲,典雅高贵的现代建筑形象,截取现代潮流元素的同时,亦不失东方大气恢弘之势。
阶段性过程效果图,仅供参考

而在建筑主体上采用了传统中式建筑的三段式手法,运用香槟金色和米白色线条对建筑立面比例进行划分,以非对称的设计赋予建筑灵动与美感,纵横线条交织,次序分明;基座处的入户单元门头,也是独具精工细节,给人以尊贵的入户体验。
阶段性过程效果图,仅供参考

02 景观上,中心大花园+阔绰楼间距,生活更具诗意
为了保证每栋楼具有更好的采光、生活舒适度,项目更是将建筑与景观相融合,以一条中心景观轴线贯通社区,倾力打造超大中庭景观花园,多样化的景观设计,移步异景,也让归家入户增添更多诗意。
阶段性过程效果图,仅供参考

同时项目楼栋之间还坐拥阔绰的楼间距,不仅让室内拥有更多阳光,更有效利用景观资源,给予业主更开阔的观景视野,推窗即景,尽赏诗意园林。
03 匠心惊艳示范区,所见既所得,美好就在身边
而更能让人深刻感受项目匠心的是,项目精工打造的示范区!
对于一个楼盘来说,给购房者呈现的最近“品质感”,就是实景示范区的开放,可以让购房者所见既所得,更能触摸到未来生活的场景。
而建发联发青云上匠心打造“三进四境”多样景观,未来交付后,可以让我们看到一个令人惊艳的生活场景!
一进:登门望府
阶段性过程效果图,仅供参考

主入口结合中国传统府邸的空间礼序规制,“门庭”采用中国古典建筑形制的斗拱结构作为装饰,传承中式美学,尽显东方诗意。
入口松石相抱,结合特色跌水水景、精选造型树等,再加上入口三级台阶的设计,营造出更具品质感、尊贵感的江南大宅形象。
于此便可步入展示中心,在最高处可以眺望到一片面积达约250㎡的水景,宛如镜面般波光粼粼的水景,在未来交付后也将成为业主的日常。
二进:沁心水镜-烟波桥-高山流水
阶段性过程效果图,仅供参考

行至烟波桥,沁心水镜,踏上烟波桥,项目精心打造的高山流水景墙便可呈现于眼前。
整个空间植入中国造园最基本的叠山理水设计手法,随形就势,削低见高,引水成池,筑土为山,使得水韵林烟景致山美如画,水秀如诗,小中见大,再现自然山水的靓丽风采。
沿烟波桥行至月亭,再回看展示中心,之间高山流水、水韵林烟悦然呈现。至此可一览展示中心的建筑风貌,有如“碧水连天石拱影,万山环绕翠岭长”之意境。
三进:冠云落影-月到风来亭-坐石临流
阶段性过程效果图,仅供参考
步入这里,屹立在眼前的是一座茶亭。项目以中式宫灯造型为灵感,将它作为中国传统文化的符号运用在景观中,与植物、置石组合运用现代手法的演绎出独特的气质。于此“宫灯”造型的茶亭,可以看到项目精心选用重达几吨的花岗岩原石手工切凿而成的茶台,未来可以约上三五好友临水而坐,把酒共饮,好不妙哉。
阶段性过程效果图,仅供参考
一条清韵石径,挑选造型独特的石头、三两组合成景,搭配特选的造型植物,极具艺术美感。而清泉石流景墙背后,就是未来业主的生活区。
无论是项目的建筑、景观,亦或是示范区的打造,我们从中都可以感受到一股“诗意东方”的气质,而一处处精益求精的细节设计,也尽显项目对于当代人理想生活需求的深入思考。
04.项目推售详情
最新消息:浦东准轨交盘【建发联发·青云上】推出448套全部房源,共包含建面约95㎡经典3房和建面约116㎡轻奢3房,均价5.15万/㎡,已经开盘,可直接认购。
建面约95㎡3房2厅2卫▼
主卧套房
独立卫浴,尊崇惬意起居生活
三开间朝南
让阳光与清风 交织心灵的温暖
餐客厅一体化
扩容活动空间,延伸家居享受
户型内引入U型厨房设计
空间更实用也更方便。
建面约95㎡样板房
两间卧室朝南,均带有飘窗,主卧自带独立卫浴,小户型也可以拥有酒店套房般的体验。北向房间设计双飘窗,这也就意味着拥有双向景观,给了生活更多一种的可能。
建面约95㎡样板房照片
建面约116㎡3房2厅2卫▼
三卧室全飘窗
科学布局,悦享自然美好
南向宽境客厅
灵动设计书房/儿童乐园,延伸生活尺度
U型厨房
阔绰明亮,美好私厨时光
主卧套房设计
飘窗独卫,境见优雅生活
05.项目区位配套
三大产业高地环抱,无缝耦合金桥
曹路为金桥、外高桥、唐镇三大产业聚集区域环抱,区位优势得天独厚!
金桥定位现代智造创新中心,金桥开发区实际上横跨金桥曹路两镇,部分产业园区落在曹路范围内;外高桥定位国家进口贸易促进创新示范区,其中外高桥港区六期单元也位于曹路;唐镇当下的银行卡产业园二期单元部分也位于曹路!(信息来源:浦东新区曹路镇国土空间规划2035)
示意图,仅供参考
三大产业高地环抱,驱动曹路城市功能快速迭新,也将持续导入高薪高知人才,驱动曹路板块势能澎湃崛起!
在区位上,曹路更是与金桥形成锯齿形耦合,甚至金桥打造的申江地区中心——金鼎天地,相当部分土地就在曹路范围内!
处在金桥与曹路交汇处的金鼎天地,是一个总体量275万方的航母级城市综合体,将办公、商业、娱乐、生活等融合在一起,一站式满足所有需求。该项目商业规模接近30万方,另外打造两幢180米高的双子塔,被定义为“365天永不落幕的明日智慧之城”!(信息来源:浦东发布)
效果示意图,图片来源金桥集团官微

从「建发联发青云上」地块,经在建的轨交崇明线,2站即可到达金鼎天地!
轨交2站到金鼎,新房价格下降近3万/㎡
曹路已经有地铁9号线运营中。值得一提的是,作为上海东西轨交的交通动脉之一,地铁9号线的沿线商圈能级非常高,可以到达金桥、陆家嘴、徐家汇、漕河泾等科创产业高地。
而在建的轨交崇明线则让曹路进一步高效嵌入金桥及浦东地区的轨交网络。
崇明线线路走向图图,图源上海崇明官微

崇明线已经在建,预计2027年建成通车(来源:上海发布)。届时从凌空北路站2站即可到达申江路站,换乘12号线;3站到达金吉路站,可换乘9号线。
崇明线+12号线+9号线,曹路与浦东和上海市区各个重要节点建立了快速连接!
轨交线路示意图,仅供参考

从「建发联发青云上」地块,直线距离约800米(百度地图测距)即达凌空北路站,2站到申江路站和金鼎天地!
令人震惊的是,两站轨交,新房价格差了近3万/㎡!
示意图,仅供参考

金鼎天地配套住宅金鼎阅府,新房备案价格7.95万/㎡,且实际上更靠近崇明线宝高路站点,和「建发联发青云上」实际上就一个站的距离。「建发联发青云上」联动价仅5.15万/㎡!
1站轨交,新房价格差2.8万/㎡!一套100㎡的房子,总价差约280万!
这份性价比,「建发联发青云上」从拿地那一刻,就占据了优势
同价格段高性价比,同环线价格洼地
放在整个浦东范围内,「建发联发青云上」在地段上的优势十分明显:单价5万左右价格上段上的价值高地+外环线上的价格洼地。
从同总价板块来看:
示意图,仅供参考

【建发联发青云上】房地联动价约5.15万/㎡,这个区位和交通捷程度,显然优于其他400-500万级,位于浦东南部的板块的项目
从同环线板块来看:
示意图,仅供参考

【建发联发青云上】直线距离外环仅约3公里,通过北侧的五洲大道可直抵中环。
在目前浦东外环旁区域的新房价格体系中,三林约10万+、周浦约6万+、康桥约6.6万+、唐镇约7万+(来源:根据网上房地产公示数据整理),也就是说「建发联发青云上」从区位上看可以匹配约600-1000万才有的地段价值。
毗邻金桥唐镇外高桥三大产业区,800米到轨交站(在建,直线距离)、轨交2站到申江路站(可换乘12号线)及金鼎天地、3站到金吉路(可换乘9号线)及金桥开发区,新房价格只有5.15万/㎡,总价仅约450万起。
这份性价比已经是浦东其他板块和楼盘难以企及的高度!
建发房产和联发集团摘取这块土地后,带着满满的信心和诚意,将新一代“诗意东方“系列中式产品首次在此项目亮相,以“爆棚”的产品力,不负这块土地,打造区域人居标杆!
交通配套方面:轨道交通崇明线在建中,规划凌空北路站,距离本项目步行直线距离约 800 米。
崇明线一期预计2026年通车,地铁开通后2站申江路可换乘12号线、3站金吉路可换乘9号线,交通便利,可满足日常通勤需求。

商业配套方面:周边有荣欣广场、棠里广场、宝龙城市广场、金泰商业广场等满足日常生活所需。
教育资源方面:12-01地块东侧在建幼儿园,预计2023年7月份竣工,15-01地块南侧在建初中和小学,预计2024年6月份竣工备案完成移交教育局开办,预计招生时间2024年9月。(教育免责:政府不对预售房屋进行学区划分,项目对口学校最终以交房后教育主管部门公布为准)
在建小学实拍

在建初中实拍

医疗资源方面:上海长征医院(在建)、浦东肺科医院、上海市第七人民医院曹路门诊部等。
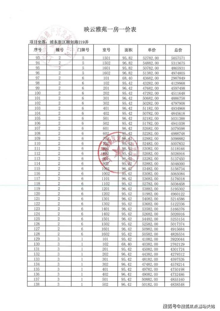
项目一房一价表▼
建发联发青云上售楼处电话:400-8874-108✔【已认证】
建发联发青云上营销中心电话:400-8874-108✔✔【已认证】
上海建发联发青云上官方售楼处电话:400-8874-108 VIPLINE✔✔✔【已认证】
如有问题可来电咨询,线上售楼中心,预约销售专员,一对一为您服务!
想了解建发联发青云上更多信息?拨打售楼处营销中心热线:400-8874-108 (中介勿扰)【24小时热线】
楼盘项目全面介绍,本电话为开发商提供线上预约售楼电话,楼盘项目全面介绍(包含楼盘简介,均价,房价,现房,期房,别墅,叠墅,大平层,价格,楼盘地址,户型图,交通规划,备案价,备案名,项目配套,样板间,开盘时间,认筹时间,楼盘详情,售楼处电话,最新消息,最新详情,周边配套,一房一价,最新进展等详情咨询)楼盘详情丨价格丨更多优惠丨机不可失丨欢迎致电丨诚邀品鉴!售楼处位置丨特价房丨工抵房丨剩余房源丨户型图丨最新消息丨免责声明:将文章内容综合来源于网络、只作分享,版权归原作者所有!!如有侵权,请联系我们,我们第一时间处理如有问题欢迎来电咨询,专业一对一热情服务,让您用专业眼光去买房.如果您想了解更多楼盘详情,欢迎提前预约拨打
2025房地产TOP500测评成果发布会暨房地产企业发展高峰论坛”在北京举行。会上,中国房地产业协会、上海易居房地产研究院联合发布了《2025房地产开发企业综合实力测评研究报告》,业内备受关注的“房地产开发企业综合实力TOP500”、“TOP500首选供应商服务商品牌”等测评成果正式揭晓。这项开展了17年的测评工作,已成为全面评判房地产开发企业综合实力及行业地位的重要标准。
本次发布的测评研究报告指出,2025年以来房地产市场出现“止跌回稳”积极信号,在政策支持显著加强的情况下,市场销售情况有望迎来改善。房企需要加强产品力打造能力,在日益激烈的行业竞争中强化自身优势,为市场复苏做好准备。
会上,来自行业协会领导、经济学家、业内专家、优秀开发企业和供应链企业领袖,以及金融投资机构的代表,共同探讨房地产市场形势发生重大变化下,如何加快探索发展新模式,实现房地产业稳定及高质量发展之道。以下为嘉宾部分观点,供参考。
房地产行业要沿着健康发展的道路向前推进
中国房地产业协会会长陈宜明表示,近日国家统计局发布的1-2月房地产数据,传递了一些积极信号。这些数据和判断,给市场带来更坚定的发展决心,同时也让行业更加理性。这种理性有两个含义:
一是,房地产行业走出今天的困境,也不会继续沿着老的传统道路向前发展。“三高”的问题必须解决,在房地产项目开发过程中一些不理性的行为,应该得到抑制和克服。
二是,刚刚结束的两会上,政府工作报告提出“适应人民群众高品质居住需要,完善标准规范,推动建设安全、舒适、绿色、智慧的‘好房子’。”高品质的生活既是房地产行业发展需要,也是整个国民经济和社会发展的主基调。所以房地产行业克服了当前困难,解决了当前的问题,应该沿着高品质住宅健康的发展道路向前推进。
而对于社会上有人唱衰房地产行业,陈宜明表示,只要世界上还有人类存在,就有住房需求,有住房需求就有房地产行业,就会不断随着人的需求提高品质、提高质量的需要。所有房地产行业同仁和社会上所有关心房地产行业发展的人士,都应该引导房地产行业向高品质、更适合人民群众需要的方向发展。
中国房地产行业依然大有可为
中国房地产业协会康养分会会长、易居(中国)控股有限公司董事局主席周忻表示,中国经济要发展,稳房价、改善老百姓居住环境是重要战略方针。尽管房地产行业难以再现高速增长态势,但中国房地产行业依然大有可为,无论是存量资产盘活,还是旧城改造,亦或是物业管理、物业经营等领域,都有着广阔发展空间 。
在周忻看来,房地产行业依然是中国经济的重要组成部分,地产人依然是整个中国经济当中非常重要的人才聚集地,虽然会走出老的框框,但是迎接房地产行业的一定是新东西。在谈及今年的热点话题AI,周忻认为,真正的AI一定会应用到所有的垂直行业,房地产行业跟AI结合的东西很多。小到案头上的一篇文章,大到大基建、大开发当中的高科技AI应用,有太多的东西可以和房地产行业结合。
而对于给房地产企业未来的建议,周忻称,“放下、学习,然后向前看,向前进”。要放下过去、放下身段,向前看,过去的模式一定会随着时代的改进而改进。只要大家走出去,看到中国马路上这么多房子,只要看到还要建房子,还在改房子,中国房地产仍然大有可为。
头部房企止跌回稳态势显著
中国房地产业协会副会长、上海易居房地产研究院院长、克而瑞集团董事长丁祖昱表示,刚刚过去的两个月里,房地产销售止跌回稳态势显著,尤其是头部房企,特别是央国企的表现格外突出。保利、中海、华润在一二月份的销售权益金额比去年同期有较大幅度上行,招商、绿城等企业销售权益金额同比也基本持平。
今年的全国两会提出,持续用力推动房地产市场止跌回稳,同时还将股市与楼市并提。丁祖昱认为,过去这个待遇是没有的。要求股市和楼市回归到相对平稳、正常的发展过程当中,这一信号极大鼓舞了地产行业从业者。无论是开发商,还是产业链上下游的参与者,信心更足了。在谈到销售情况,丁祖昱认为,从目前趋势看,特别是从供地和新开工来看,今年还有一定的下行压力,整体住宅稳定在8万亿左右,比较符合对整个行业一手房的大致判断。
从风险管控的角度看,房企的压力还没有完全消除掉。丁祖昱指出,不管是长期偿债能力还是短期偿债能力,都有一定压力。特别是短期偿债能力方面,流动比率和速动比率还在下行。而对于资金来源情况,虽然2024年一月份开始全面推进“白名单”制度,但到位资金总量还在持续回落,这也和目前的投资相符合,整个房地产企业目前的资金状况、资金压力和现金流情况还是有压力。
在丁祖昱看来,房地产目前还是处于一个回落期,从财报角度来看,房企销售和最后进入到财报的收入有一个时间差,一般从销售后到竣工基本上有两三年时间,所以当前压力还是比较大的。随着资产收益率还在下滑的过程中,整体盈利回稳还需要一段时间。
收入预期提升是房地产止跌回稳的重要变量
长江证券首席经济学家、总裁助理伍戈指出,尽管当前房地产市场面临诸多挑战,但积极因素正不断积累。从政策端看,因城施策、降低房贷利率等举措已产生一定效果,市场成交面积降幅收窄,政策的脉冲效应显现。而且中央对房地产止跌回稳的明确表态,极大地稳定了市场预期。
伍戈表示,日前中央发布了促进消费的相关文件。消费的增长依赖于民众收入的提高,而收入的提高又与诸多因素相关。从根本上来说,老百姓收入预期显著的抬升,有助于把消费带动起来,从而把房地产带动起来。所以,收入预期的提升是房地产止跌回稳的一个重要变量。
房地产+AI,可能会有更多化学反应
阿里巴巴钉钉CTO、副总裁程操红表示,AI不是独立的,需要跟各个行业结合起来。伴随AI的进步,在房地产这样庞大的产业里,可能有更多的化学反应,把一些能够执行的事情交给AI做,真正的内心坚守和坚持留给房地产人。
程操红认为,不管是500强企业还是行业龙头企业,原有的技术优势很容易被AI颠覆,现在小型组织在AI加持下可以迅速把大型企业或公司的知识,以及人才积累的核心洞察,包括产品力快速补齐。
程操红指出,在AI驱动的新时代,有一些观念需要改变。怎么样消费所有数据,怎么样让AI消费数据,如何构建类似像数字员工这样的劳动力,并把这些数字劳动力加入到现有的工作场景和协作网络里,这是整个生态需要一起推进的事情。
通过价值兑现实现逆周期高质量突围
华发股份执行副总裁、首席运营官、首席营销官戴戈缨表示,现在商品房市场规模在收缩,但客户需求一直在升级,政策导向也提到优化存量。所以,房企在产品力、服务力和运营能力的竞争愈发激烈,要求也越来越高。企业要实现高质量突围,就要以产品力为根基,服务力为纽带,对接客户价值,通过价值兑现,实现逆周期高质量突围。
戴戈缨强调,一定结合属地化的客户需求,打造客户适配、竞品适配、成本适配的好产品。作为完整的协同,从客户需求调研到设计、施工,最后的落地交付,最终使产品贴合属地化的客户需求,为客户设计美好生活,创造情绪价值,打造全生命周期的好房子。同时叠加友好的生活体验和全场景功能,实现对整个市场和客户的诉求。此外,还要加强服务能力的提升,全周期的服务赋能长效增长,包括客户体验升级,重塑服务竞争力。
代建企业价值创造是客户的共性需求
金地集团高级副总裁、金地管理董事长郝一斌表示,整个代建行业规模增长趋缓,随着供应端竞争的愈发激烈,行业费率下降明显,集中度下降,这些变化表明代建行业正面临严峻挑战,需要探寻应对之策。
在郝一斌看来,代建行业客户结构日益复杂,客户细分越来越明显。不过客户需求仍有一些共性,本质还是价值创造。比如质量安全、成本可控、品质口碑、服务周到、高效沟通等,这是不同类型客户的共性需求。
同时,代建行业差异化需求很多,代建企业需要深入了解客户核心诉求,制定个性化解决方案,管理体系也要做相应调整,以满足客户需求。
做好产品和服务,中小房企也能实现突围发展
新东升置业集团创始人、董事长曲东升表示,中小房企虽然规模小,但也有其自身优势,就是可以聚焦。中小房企可以通过聚焦把房子盖好、把服务做好这两点,也可以成为本地企业的龙头,来实现中小企业突围发展。在盖好房子方面,要注重品质建设力、景观营造力、成本控制力、产品创新力和服务完善力这“五力”。服务方面,不仅服务业主,还将服务外延至政府、社会及合作伙伴,以此提升企业影响力,在地方市场取得领先地位。
曲东升认为,高品质不等于高价格与高成本,成本可控的高品质才有可复制性与可落地性。如在建设过程中,严控成本,同时注重成本投入产出比,在景观等受客户关注领域合理投入。采用低成本解决隔音、渗漏、开裂等实际问题,既保证品质又降低成本,为中小房企在有限预算下打造高品质住宅提供了可行思路。
供应链数智化转型助建“好房子”
立邦中国TUB事业群副总裁林就芳表示,不管是从业者还是个人对“好房子”的渴望,都代表了目前房地产整体行业趋势。对于供应链企业,未来要从智能算法、涂装工艺数据库,供应链管理能力三大方面助力“好房子”建设。
据林就芳介绍,通过数字化供应链平台助力客户从设计端到服务端,再到材料产品端和落地交付端,都有相应的数字化手段做整体跟踪。从未来整体的供应链数字化三大协同方向看,希望建立行业标准,包括重构利润分配机制,引入合作伙伴参与到整个供应链里面。另外,对全生命周期的管理,也是呼应国家绿色环保的方向。
对于共建好房子的数字生态,林就芳称从好房子的标准、设计、材料、服务方面,希望通过技术研发和创新,最终提供给合作伙伴和客户一个安全可信赖的解决方案。
今明两年有机会看到止跌回稳趋势的实现
中金公司研究部执行负责人、董事总经理、不动产与空间服务行业首席分析师张宇谈到了止跌回稳的逻辑顺序问题。在其看来,量是价格的前提指标。一手房和二手房有分化,一手房止跌回稳的前提,可能是二手房先止跌回稳。另一方面,还有区域的分化,全国的止跌回稳以一线城市为前提,北京的止跌回稳需要以北京的核心区域为前提。张宇指出,未来止跌回稳需要看到的,首先是一线城市核心地段的二手房市场成交量和价格的止跌回稳,然后市场再逐步扩散。
对于需要多久时间,张宇认为跟政策等都有一定关系。无论如何,今明两年基本还是有机会看到这个趋势的实现。此外,张宇强调,在这个过程中信心是一方面,耐心比较重要。无论如何这个过程能够实现,因为房地产是周期性行业,有上行就有下行,有下行就有上行,这是理解和习惯的运行过程。
房企未来一定是赚产品和服务的钱
路劲地产集团主管董事刁露表示,过去20年地产行业历经起伏,如今正处于洗牌阶段。穿越了周期,对于企业来讲,要用心铸造品质生活,造好房子,未来一定是赚产品和服务的钱。对于企业而言,要做好房子,首先得把房子盖好,把服务做好。打造好产品,既需要企业自身的努力,也离不开政府的大力政策支持。尤其是过去出台的新规划标准,为企业在规划与建造方面提供了广阔空间。企业能否利用好这些条件,造出好房子、好产品,这便是房地产行业的核心技能。
刁露认为,好房子应当是安全可靠健康的,更重要的是可持续。可持续性特别重要,开发商将建好的房子交付给物业后,房子要能经受住70年的考验,在往后的几十年里,持续为业主提供适宜的居住空间,满足更多人的需求。在当下,对于企业而言,唯有把房子、产品做好,才能生存,这是不变的道理。
重构房地产价值链,企业仍要从自身出发
星河控股集团副总裁、星河地产集团总裁章建波表示,房地产企业可以通过产城融合重构价值链,打造集多种功能于一体的城市空间载体,从单纯建造者转变为运营者,以优质服务提升运营成效,探索出具有可借鉴、可复制性的发展模式,助力应对行业发展需求。
章建波认为,房地产行业历经三年市场下行,但自去年九月份政策救市以来,目前市场形势是能够趋于平稳的。可以看到,三四线城市有企业通过做好产品取得了不错的成绩,三四线城市中仍有部分公司表现出色。
“归根结底,重构房地产价值链,企业还是要从自身出发,提升自身竞争力、产品竞争力以及服务水平”。章建波称,未来市场依然存在真实的客户需求,房地产作为近十万亿规模的大行业,对未来发展充满信心。
如何在新周期下拥有生存空间
绿城中国华北区域执行总经理张胜利介绍了绿城这几年在“好房子”的实践和思考。他认为,首先要把企业标准做完整的制定,其次是技术的创新实践,最后是服务在践行标准的落地。绿城通过思考建立标准、技术落地和服务支撑,把整个“好房子”体系从头到尾做下来,这是大致过去一年的实践。
对于接下来的产品方向,张胜利称,谁能用品质兑现居住价值,谁能把客户需求挖掘到位,谁能用创新吃透政策红利,谁才能在新的周期下有自己的生存空间。张胜利强调,做好产品和服务,满足人民群众美好生活的向往,房地产行业一定会迎来新的春天和健康稳健的发展,也以此在这么卷的环境下共勉。
未来全屋智能在人居的广泛应用会成为标配
腾云筑科副总裁祝军华谈到对好房子的理解,他认为很多高品质住宅在物理空间的材质、审美等方面已经卷到了极致。但从科技服务力来讲,远远没到卷的地步。包括全屋智能、绿色节能和人工智能等方面,在住宅的应用和理解,还处于初始阶段。
据祝军华介绍,腾云筑科今年开始聚焦健康宅,智慧家,也就是康养科技。确立了产品迭代、孵化、创新的支出体系。同时,建构了从社区到养护到医院,再到业主本人,穿戴式开始整个的数据链体系,康养已经建立完毕的体系。另外,从全屋智能到智慧园区,包括到数字化的操作系统已经建构完毕了,这些技术需要市场验证。
“就跟DeepSeek发展一样,每天都是日新月异,我们也有非常强的紧迫感。”在祝军华看来,与精装交付一样,未来全屋智能或者AI在人居里面的广泛应用会成为一个标配,但是这个技术包括这个体系还正在建构过程中。如果从这个视角来看,房地产真的还可以重新做一遍,还有非常多的机会。
“好房子”的本质是服务于人
老板电器工程事业部总经理洪伟光表示,“好房子”不等同于大、奢、豪。“好房子”的本质是服务人、服务业主,为他们带来优质生活体验。
洪伟光坦言,作为厨电企业,虽然无法像开发商那样对房屋进行整体打造,但可以聚焦厨房领域。厨房是人们回到家后能放松身心的关键场所,也是家庭交流的重要空间。为了让厨房在家庭场景中更具意义,确保厨房环境良好与降低烹饪门槛、改善烹饪环境这两方面尤为重要。