——宝业活力天境——
宝业活力天境售楼处电话:400-8874-108✔【最新预约】
宝业活力天境营销中心电话:400-8874-108✔✔【最新认证】
上海宝业活力天境官方售楼处电话:400-8874-108 VIPLINE✔✔✔【最新发布】
如有问题可来电咨询,线上售楼中心,预约销售专员,一对一为您服务!
想了解宝业活力天境更多信息?拨打售楼处营销中心热线:400-8874-108 (中介勿扰)【24小时热线】
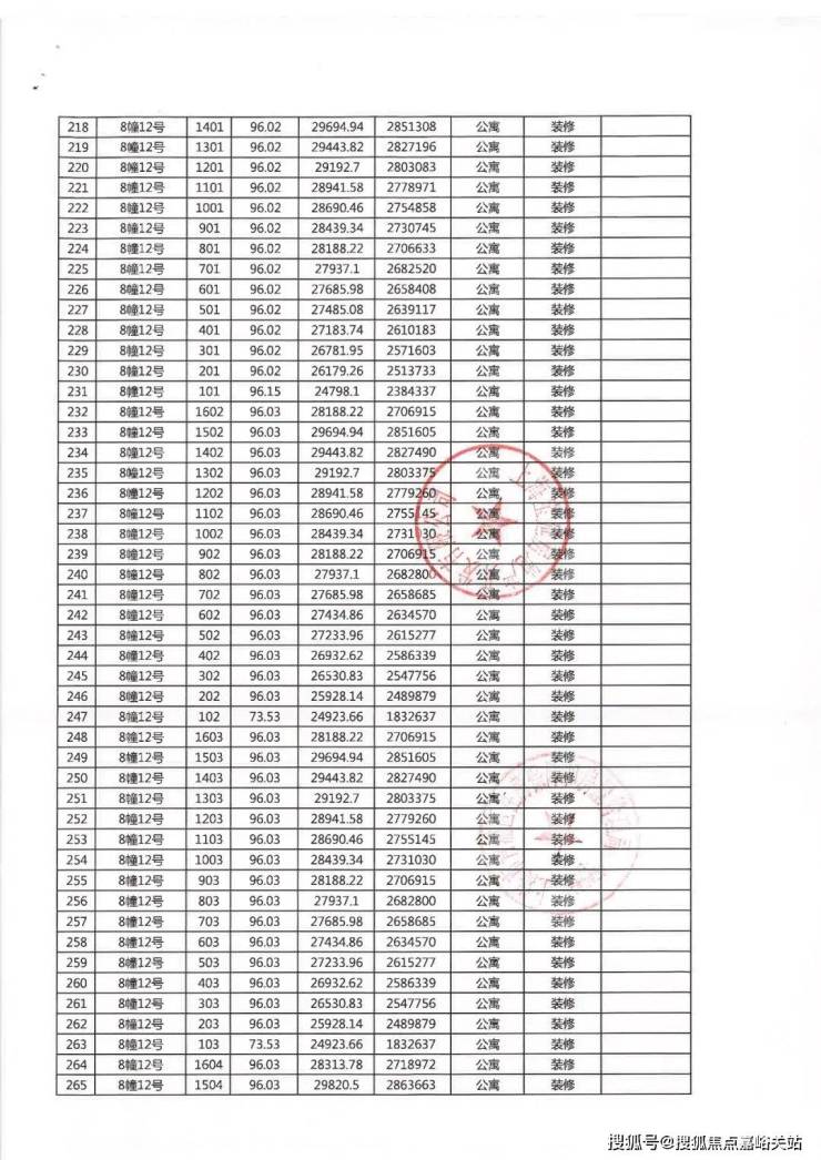
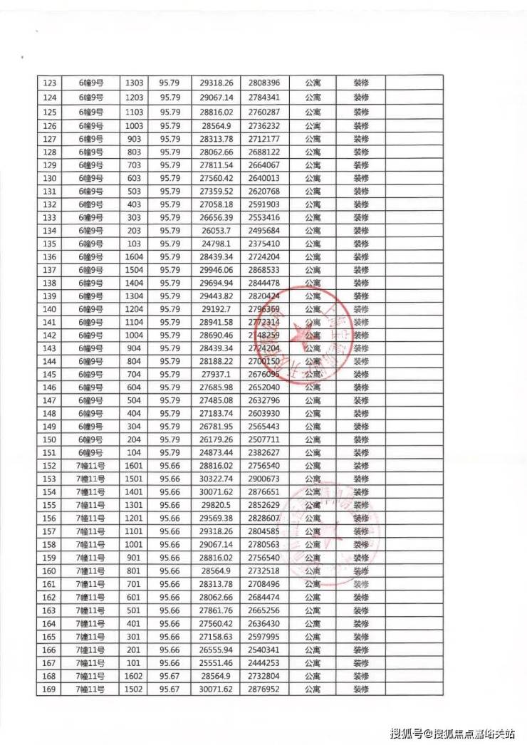
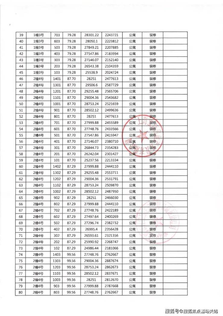
一房一价表






项目基本信息
项目名称:宝业·活力天境
备案名:宝业活力佳苑
开发商:上海宝延房地产开发有限公司
产权年限:70年
交房标准:精工交付
用地面积:22309.2㎡
容积率:2
绿地率:38%
组成结构:高层
户型面积:建面约79㎡、建面约92㎡

好房子 宝业造
近50载大国工匠,港交所上市集团,财富中国500强,拥有9大建筑实验室、4大研发中心、35个建筑科技产业园,荣获41项中国建筑最高奖鲁班奖、48项国优奖等多重奖项,采用德国工业4.0智能智造生产线,开发集成高品质、工业化建筑约5000万方,覆盖绿色、健康、智慧各类建筑。

【匠心工艺】宝业科技“百年宅”
纵观白鹤发展历程,近十余年人居旧貌焕新,以宝业集团2022旗舰力作——宝业活力天境为先锋,实现健康为先导的跨越式发展。
4大维度23项科技,力筑“百年宅”

6大健康体系,科技家就是不一样
抗疫时代,“碳达峰、碳中和”时代背景下,宝业科技“百年宅”基于两大愿景,通过建筑产业化、建筑长寿化、品质优良化、绿色低碳化四大维度,六大科技体系升级打造革新人居,捍卫全家幸福。

【活力社区】24小时剧场,海绵景观社区
24小时生活剧场,开启全天候绿色生活美境

海绵城市为家做“底盘”,打造自然循环之下的生态社区





户型图及样板间照

客厅与餐厅连为一体,约4.8米大面宽设计,外连观景阳台,拥揽四季的人生景致。
L型厨房人性化设计,符合人体工学,也使得操作更为方便。
卧室做到了一南,一北,南向卧室约11.2㎡,且有飘窗设计,享受阳光沐浴。





1、约95㎡的三房,南北通透,全明设计,三开间朝南,户型方正。
2、餐客厅一体化设计,空间合理利用,功能区域分开,无论是休憩还是齐聚一堂,都有空间畅想。
3、主卧套房设计,带有独立卫生间,维护了家人间的私密性,且提升主人的尊荣感。




项目区位配套
长三角一体化“几何中心”
上海2035规划中提到,上海要成为具有全球影响力的长三角城市群的核心城市,基本建成“中心辐射、两翼齐飞,新城发力、南北转型”的空间新格局。
从战略空间看,青浦处于中国国际进口博览会、虹桥国际开放枢纽、长三角生态绿色一体化发展示范区的战略叠加区。
泛长三角区域“几何中心”白鹤镇作为长三角一体化先行示范区、“安花白”节点型城市,将借助区位优势,承接安亭“世界级汽车产业中心”的部分功能。

【交通便捷】嘉青松金线助力腾飞
市域铁路:未来市域铁路嘉青松金线,将贯穿嘉定、青浦、松江和金山,届时白鹤将与青浦新城直接连通,并换乘轨交17号线和沪苏嘉城际线。
双维交通:坐享轨交11号线与轨交17号线青浦“纵贯线”交通辐射,坐享长三角节点交通优势。

【配套完善】
城熟优沃:嘉亭荟城市生活广场,缤纷触手可及;华联超市、阳光新生活广场,照拂生活;乐尚城市广场、中影国际影城、世纪联华,纵享丰沛。
书香为伴:紧邻白鹤中小学、白鹤幼儿园、赵屯小学,朗朗读书声,传递书香雅韵。
白鹤中学:始建于1965年,上海市先进集体、市中学生行为规范示范校、区教育系统先进集体。
白鹤小学:上海市教科研先进集体、上海市安全文明校园、青浦区文明单位。
赵屯小学:创办于1868年,至今已有137年历史。是青浦区有史记载的最古老的学校之一。上海市素质教育实验学校。
白鹤幼儿园:公办二级一类幼儿园。
贴身养护:约600米社区卫生服务中心,贴身关怀。

项目名称:宝业·活力天境
备案名:宝业活力佳苑
开发商:上海宝延房地产开发有限公司
产权年限:70年
交房标准:精工交付
用地面积:22309.2㎡
容积率:2
绿地率:38%
组成结构:高层
户型面积:建面约79㎡、建面约92㎡
车位比:1:1
根据项目最新公示的设计方案,项目将建造包括1栋15F住宅,6栋16F住宅,1栋13F住宅,还有一个社区卫生服务中心公公共设施配套。将提供至少410套房源,100%全装修,其中中小户型占比60%。
近50载大国工匠,港交所上市集团,财富中国500强,拥有9大建筑实验室、4大研发中心、35个建筑科技产业园,荣获41项中国建筑最高奖鲁班奖、48项国优奖等多重奖项,采用德国工业4.0智能智造生产线,开发集成高品质、工业化建筑约5000万方,覆盖绿色、健康、智慧各类建筑。
纵观白鹤发展历程,近十余年人居旧貌焕新,以宝业集团2022旗舰力作——宝业活力天境为先锋,实现健康为先导的跨越式发展。
抗疫时代,“碳达峰、碳中和”时代背景下,宝业科技“百年宅”基于两大愿景,通过建筑产业化、建筑长寿化、品质优良化、绿色低碳化四大维度,六大科技体系升级打造革新人居,捍卫全家幸福。
活力社区,24小时剧场,海绵景观社区,24小时生活剧场,开启全天候绿色生活美境。
项目效果图
户型图
建面约86㎡样板间实拍





项目配套:
上海2035规划中提到,上海要成为具有全球影响力的长三角城市群的核心城市,基本建成“中心辐射、两翼齐飞,新城发力、南北转型”的空间新格局。
从战略空间看,青浦处于中国国际进口博览会、虹桥国际开放枢纽、长三角生态绿色一体化发展示范区的战略叠加区。
泛长三角区域“几何中心”白鹤镇作为长三角一体化先行示范区、“安花白”节点型城市,将借助区位优势,承接安亭“世界级汽车产业中心”的部分功能,未来腾飞在即。
市域铁路:未来市域铁路嘉青松金线,将贯穿嘉定、青浦、松江和金山,届时白鹤将与青浦新城直接连通,并换乘轨交17号线和沪苏嘉城际线。
双维交通:坐享轨交11号线与轨交17号线青浦“纵贯线”交通辐射,坐享长三角节点交通优势。
商业方面,嘉亭荟城市生活广场,缤纷触手可及;华联超市、阳光新生活广场,照拂生活;乐尚城市广场、中影国际影城、世纪联华,纵享丰沛。
医疗方面,项目约600米社区卫生服务中心,贴身关怀。
教育方面,紧邻白鹤中小学、白鹤幼儿园、赵屯小学,朗朗读书声,传递书香雅韵。
白鹤中学:始建于1965年,上海市先进集体、市中学生行为规范示范校、区教育系统先进集体。
白鹤小学:上海市教科研先进集体、上海市安全文明校园、青浦区文明单位。
赵屯小学:创办于1868年,至今已有137年历史。是青浦区有史记载的最古老的学校之一。上海市素质教育实验学校。
白鹤幼儿园:公办二级一类幼儿园。
宝业活力天境售楼处电话:400-8874-108✔【已认证】
宝业活力天境营销中心电话:400-8874-108✔✔【已认证】
上海宝业活力天境官方售楼处电话:400-8874-108 VIPLINE✔✔✔【已认证】
如有问题可来电咨询,线上售楼中心,预约销售专员,一对一为您服务!
想了解宝业活力天境更多信息?拨打售楼处营销中心热线:400-8874-108 (中介勿扰)【24小时热线】
楼盘项目全面介绍,本电话为开发商提供线上预约售楼电话,楼盘项目全面介绍(包含楼盘简介,均价,房价,现房,期房,别墅,叠墅,大平层,价格,楼盘地址,户型图,交通规划,备案价,备案名,项目配套,样板间,开盘时间,认筹时间,楼盘详情,售楼处电话,最新消息,最新详情,周边配套,一房一价,最新进展等详情咨询)楼盘详情丨价格丨更多优惠丨机不可失丨欢迎致电丨诚邀品鉴!售楼处位置丨特价房丨工抵房丨剩余房源丨户型图丨最新消息丨免责声明:将文章内容综合来源于网络、只作分享,版权归原作者所有!!如有侵权,请联系我们,我们第一时间处理如有问题欢迎来电咨询,专业一对一热情服务,让您用专业眼光去买房.如果您想了解更多楼盘详情,欢迎提前预约拨打
2025年是“十四五” 规划收官之年,也是 “十五五” 规划谋划之年。在这承上启下的重要节点,各地对2025年房地产工作的部署也成为了业界关注的焦点。
今年各省级政府工作报告均对房地产着墨较多,相关内容被放在包括稳增长、促消费、惠民生、防风险等多个工作大项下。整体来看,在2025年的房地产工作中,各地将全力推进市场回稳向好、促进市场平稳健康发展,因此2025年的稳楼市政策仍值得期待。
此外,各地仍将继续推进城市更新,加强保障性住房建设,做好房地产领域风险防范,系统推进“好房子”建设等工作。
稳楼市是2025年多地首要目标
从各地政府工作报告内容来看,稳楼市是2025年多地房地产工作的首要目标。
如北京2025年政府工作报告指出,要更好满足城乡居民住房需求。不断优化房地产政策,持续推进房地产市场回稳向好。
广东表示,持续用力推动房地产市场止跌回稳。因城施策优化房地产政策,合理控制新增房地产用地供应,盘活存量用地和商办用房,推进处置存量商品房工作,健全租购并举的住房制度,充分释放刚性和改善性住房需求潜力,推动构建房地产发展新模式。
浙江提出,推动构建房地产发展新模式。全面落实国家降利率、降首付、降税费等政策,持续推动房地产市场止跌回稳。
值得一提的是,尽管稳楼市是各地2025年房地产工作的主基调,但是各地对稳楼市这一政策导向的表述略有差异。如北京、海南在政府工作报告中的表述是,促进房地产市场“回稳向好”;辽宁的政府工作报告表述的是“企稳回升”,西藏则为推动房地产市场“止跌回升”;在广东、重庆、广西、浙江、福建、内蒙古、山西、云南、江西、甘肃、宁夏、青海等多地政府工作报告中,提到的均是“止跌回稳”。
此外,上海在政府工作报告中提到,要加快构建房地产发展新模式,促进房地产市场平稳健康发展。
整体看,不同的提法和各个省份房地产所处的行情有关。尽管部分省份的表述存在差异,但稳楼市的总体精神高度一致。
深化城市更新行动
2025年,首次国务院常务会议对城市更新工作做出全面部署,强调“城市更新关系城市面貌和居住品质的提升,是扩大内需的重要抓手”,城市更新被赋予了更高的定位。
这也为各地2025年的城市更新工作进一步指明了方向。多地两会明确,2025年将深化城市更新行动。
北京表示,深化城市更新行动,完善土地混合开发利用和产业用地到期续期政策,加强闲置土地盘活利用,健全核心区平房成片区、整院落退租机制,统筹推进居住、产业、市政基础设施、公共服务设施、区域综合等五类更新改造。
上海提出,深入探索可持续的城市更新模式,完善成本管控机制,优化老旧建筑更新标准。加快推进“两旧一村”改造,全面完成中心城区零星二级旧里以下房屋改造,完成31万平方米小梁薄板房屋等不成套旧住房改造,启动25个城中村改造项目。实施商务楼宇更新提升行动,推进市政基础设施更新改造,推动桃浦、北外滩、杨浦滨江等区域转型发展,加快外滩“第二立面”、衡复风貌区等区域整体更新。
广西方面,深入实施城市更新。开展完整社区试点,打造友好社区。统筹推进城镇老旧小区、街区(厂区)更新改造。加强社区无障碍环境建设,持续推进既有住宅加装电梯。推进新型城市基础设施建设,更新改造城市燃气、水电、通信等老旧管线,大力建设城乡公共充电基础设施。
河北表示,深化城市更新,加强老旧管网改造,打造宜居、韧性、智慧城市。改造城镇老旧小区500个以上,建成交付棚改安置房10万套以上。
天津强调,实施更高质量城市更新,推进中心城区主题园区特色发展,增强地铁沿线、重点商圈辐射带动功能,提升业态品质和产业能级。加快实施设计之都核心区柳林街区等城市更新项目,推进30个城中村改造项目,启动180个城镇老旧小区改造。创新政策工具,探索将低效园区和商圈纳入更新范围,出台规划、土地、产权、债权、金融等针对性措施,破解盘活进程中的共性制约,以市场化合作引入更多社会资本参与各类存量资源盘活。
河南明确,开展城市更新和安全韧性提升行动,加强新型城市基础设施建设,实施城市更新项目3910个,改造城中村416个、老旧小区1459个,统筹改造一批老旧街区、厂区。加强无障碍环境、适老化设施建设,建成一批完整社区。
推进“好房子”建设
随着居民对住房品质要求的不断提升,推动“好房子”建设也成为2025年楼市重要政策方向。今年多地在政府工作报告中,都对“好房子”的建设进行部署。
北京和天津均提出,建设适应群众高品质生活的“好房子”。
广东明确,发展绿色建筑,推广智能建造、模块化建筑、装配式建筑等,引导企业提高住房建设标准、优化物业服务,建设更多好房子、好小区、好社区、好城区。
青海也明确,努力建设适应人民群众高品质生活的好房子、好小区、好社区、好城区。
浙江表示,稳妥推进现房销售试点和“好房子”建设试点。与此同时,重庆、四川、福建、云南、山西等地均表示要推进“好房子”建设工作。
此外,吉林更是定下了具体目标,明确今年大力推动10个以上“好房子”示范项目建设。
持续推进保障性住房供应
2025年,保障性住房筹建工作的持续推进仍是各地的重要工作内容,部分甚至明确了相关定量目标。
如上海表示,坚持租购并举,建设筹措7万套(间)保障性租赁住房,实现“十四五”末总量达到60万套(间)。
北京明确,完善“保障+市场”住房供应体系,优先向轨道交通站点周边和就业密集地区供应住宅用地,建设筹集保障性租赁住房5万套、竣工各类保障房8万套。
海南称,2025年筹集保障性租赁住房6000套(间),发放住房租赁补贴1.6万户。
河南指出,用好地方政府专项债支持收购存量商品房等政策,新增保障性住房5.7万套。
此外,广东指出,加快“三大工程”建设,增加保障性住房供应,推进“平急两用”公共基础设施建设,加力实施城中村和危旧房改造。
浙江强调,加快建立多主体供给、多渠道保障、租购并举的住房制度。
宁夏明确,健全住房保障体系,全面实施“四好”建设计划。
防范化解风险
从各省级政府工作报告来看,今年多地仍将继续做好房地产风险防范化解工作。而对于防范化解风险的工作部署,主要是从满足房企合理融资需求、保交房等方面入手。
如广东表示,积极稳妥防范化解房地产企业风险,用好城市房地产融资协调机制,推动“白名单”项目扩围增效,坚决打好保交房攻坚战。
黑龙江表示,持续用好房地产融资协调机制,健全完善新建商品房预售资金监管制度,有效防范新增风险。做好“保交房”工作,推进符合登记条件已交付房屋的不动产登记。
浙江明确,提高金融监管效能,全力防范企业债务和中小金融机构风险,严厉打击非法金融活动,有效化解房地产风险,全力完成保交楼、保交房任务。
山西提到,切实防范化解风险隐患。“一企一策”满足房地产企业合理融资需求,全面完成保交房任务。
此外,湖北表示,探索建立多层次风险防控机制,稳妥化解房地产、地方债务、中小金融机构等领域风险。