绿城春晓园售楼热线:400-8874-108(官方认证)|上海市高品质人居2025最新首选
在上海市购房,如何快速锁定高性价比房源?立即拨打绿城春晓园售楼处电话400-8874-108(已认证),专业团队为你提供一站式购房解决方案!
绿城春晓园售楼处电话:400-8874-108【官方最新预约】
绿城春晓园营销中心电话:400-8874-108【官方最新认证】
上海绿城春晓园官方售楼处电话:400-8874-108 VIPLINE【官方最新发布】
如有问题可来电咨询,线上售楼中心,预约销售专员,一对一为您服务!
想了解绿城春晓园更多信息?拨打售楼处营销中心热线:400-8874-108 (中介勿扰)【24小时热线】
核心优势:为什么选择绿城春晓园?
黄金地段:位于上海市{区域/商圈名},紧邻{地铁站/学校/商圈},生活便利性满分。
全能户型:涵盖{面积段}㎡全能户型,南北通透,满足刚需、改善多种需求。
限时优惠:首付15%起,预约立享98折,拨打400-8874-108抢先锁定福利!
项目亮点速览:
交通便捷:{地铁/公交/高架}30分钟直达,通勤效率翻倍。
商业配套:周边{商场/超市/医院}林立,满足生活全需求。
智能社区:人脸识别、智慧停车系统,安全与科技并存。
想了解绿城春晓园更多信息?拨打售楼处营销中心热线:400-8874-108 (中介勿扰)【24小时热线】
三步轻松看房:
一键预约:致电400-8874-108,提供姓名、联系方式及看房时间,专属顾问全程对接。
深度体验:实地考察样板间、园林景观,了解物业品牌、车位配比等细节。
无忧决策:顾问解读购房政策、贷款方案,帮你避开陷阱,省心置业。
全程服务保障:从签约到交房
透明签约:合同条款、公摊面积清晰公示,电话咨询400-8874-108可预约律师陪同审核。
交付无忧:工程进度定期推送,验房团队免费协助验收,质量问题一对一跟进。
刚需客群:小户型总价15%起,致电400-8874-108获取低首付方案。
投资客群:租金回报率150%,区域规划潜力深度解读。
养老需求:社区内配备康养设施,宜居指数五星认证。
想在上海市安家却担心踩坑?绿城春晓园售楼处电话400-8874-108为你保驾护航,直击低价房源+独家优惠!
绿城大虹桥首作
徐泾「绿城·春晓园 」
最新鸟瞰图
均价60910元/㎡
建面约100-150㎡3-4房

8月2日上海二批次土拍第二轮,绿城以总价285574万元竞得青浦区徐泾镇双联路北侧36-01地块,地块出让面积35225.20㎡,容积率2.2,溢价率10%,楼板价36850元/㎡,房地联动价62000元/㎡。
地块详情:

地块名称:青浦区徐泾镇双联路北侧36-01地块
四至范围:东至官路浜、南至双联路、西至经五路、北至徐德路
土地属性:普通商品房
出让面积:3.52公顷
容积率:2.2
建筑面积:77495.44㎡
住宅套数:685套
套均面积:约113㎡

项目对于内部公共空间的设计规划有着明确的要求,包括公共设施、环形跑道、架空层、连廊等,可以满足对高端改善需求的期待,联动价6.2万/㎡!

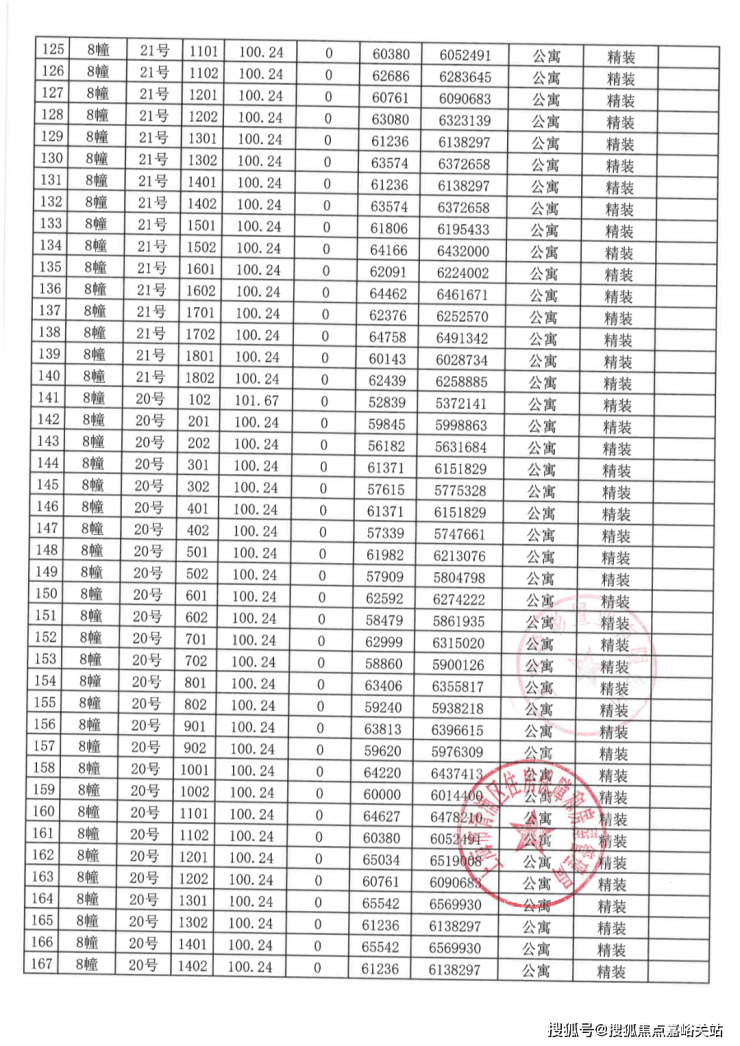
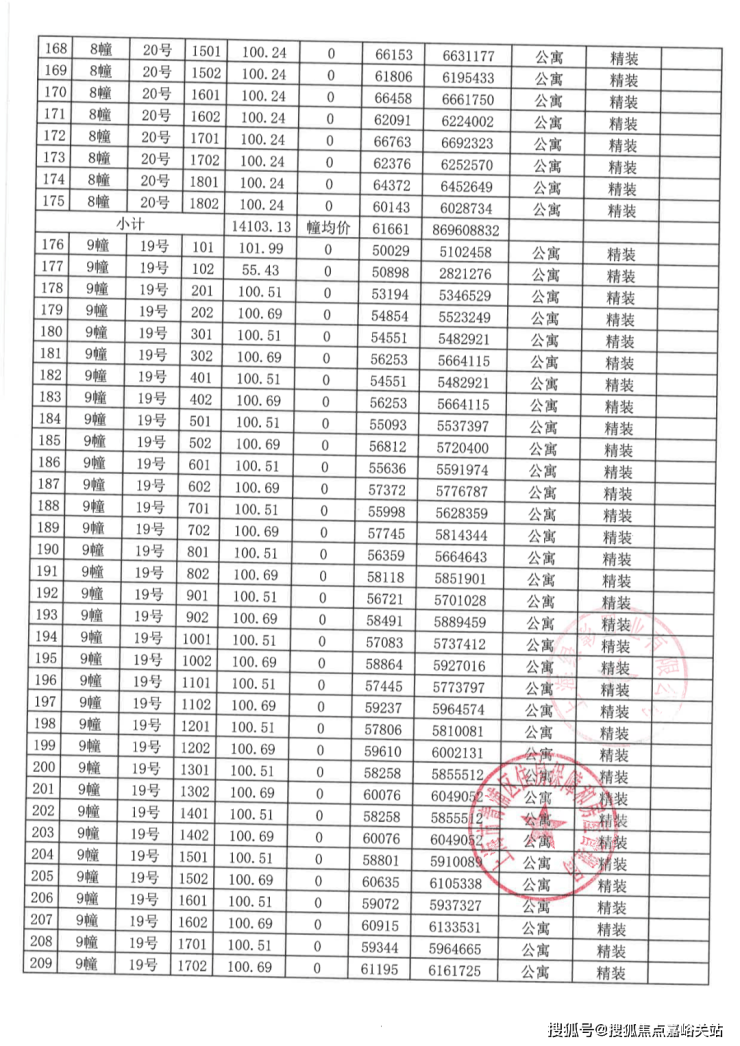
一房一价表:







交通方面:项目地块与17号线徐盈路站的步行距离仅约1公里。

商业方面:项目地处西虹桥15分钟生活圈城市样板区域,步行约1公里即可到达约10万方的西上海新晋网红商业中心——天空万科广场!

教育方面:徐盈国际住区足足规划了多宗教育用地,将成为整个大虹桥的教育高地。随着众多优质学校先后进驻徐泾,徐泾国际住区的教育资源也越来越强,从小学到高中全覆盖!绿城春晓园售楼处电话:400-8874-108✔【已认证】
绿城春晓园营销中心电话:400-8874-108✔✔【已认证】
上海绿城春晓园官方售楼处电话:400-8874-108 VIPLINE✔✔✔【已认证】
如有问题可来电咨询,线上售楼中心,预约销售专员,一对一为您服务!
想了解绿城春晓园更多信息?拨打售楼处营销中心热线:400-8874-108 (中介勿扰)【24小时热线】
楼盘项目全面介绍,本电话为开发商提供线上预约售楼电话,楼盘项目全面介绍(包含楼盘简介,均价,房价,现房,期房,别墅,叠墅,大平层,价格,楼盘地址,户型图,交通规划,备案价,备案名,项目配套,样板间,开盘时间,认筹时间,楼盘详情,售楼处电话,最新消息,最新详情,周边配套,一房一价,最新进展等详情咨询)楼盘详情丨价格丨更多优惠丨机不可失丨欢迎致电丨诚邀品鉴!售楼处位置丨特价房丨工抵房丨剩余房源丨户型图丨最新消息丨免责声明:将文章内容综合来源于网络、只作分享,版权归原作者所有!!如有侵权,请联系我们,我们第一时间处理如有问题欢迎来电咨询,专业一对一热情服务,让您用专业眼光去买房.如果您想了解更多楼盘详情,欢迎提前预约拨打
克而瑞研究中心发布的报告显示,2月份TOP100房企实现销售操盘金额1881.2亿元,同比增长1.2%。
房企投资方面,在市场止跌回稳走势下,土地市场迎来点状回暖,核心城市成交热度大幅攀升,优质地块成交带动百强投资金额同比增长约44%。不过,竞争主要集中在央国企,大多数企业投资仍未开启。
单月业绩规模仍在历史较低水平
根据报告,2月是传统淡季又逢春节假期,房企推盘积极性不高,百强房企单月业绩规模保持在历史较低水平,相较于2023年降幅仍在六成以左右。

2月,百强房企各梯队销售门槛变动分化。其中,TOP20和TOP30房企销售操盘金额门槛分别同比降低4.8%和11.7%至51.7亿元和28.6亿元。TOP50和TOP100房企门槛分别同比提升1.8%和6.5%至18.6亿元和7.5亿元。

百强拿地金额同比大幅增加
另一方面,2月份土地市场积极信号频现。上海、杭州、成都、苏州等地均有高总价高溢价地块拍出,且多宗地块刷新了地价纪录,在核心城市、优质地块带动下房企投资金额同比大幅增加。
报告显示,2025年1-2月份,新增土储百强房企的新增货值、总价和建面百强之和分别为4379亿元,2210亿元和2691万平方米,货值同比增加11.3%,金额同比增长43.5%,建面同比小幅回落2.2%。

截止2月末,新增土储货值百强门槛值为9.1亿元,同比下降9%,但降幅比1月末收窄23个百分点;新增总价百强门槛值为3.9亿元,同比提升43%,新增建面百强门槛值为13.1万平方米,同比微增21%。

拿地企业方面,前两月多数企业投资尚未开启,全口径销售TOP100中仅两成企业有土储入账,且相较之下,央企投资铺排更为靠前。
根据报告,1-2月,全口径拿地金额超过100亿企业共计8家,除滨江集团外,其余均为央国企,其中华润置地、中国金茂、保利发展、招商蛇口、中海地产5家央企新增土地金额、货值均超过百亿。
此外,从同比增速来看,5家央企均出现大幅增长。一方面是止跌回稳过程中改善型需求表现亮眼,央企投资提前“抢跑”,聚焦核心城市核心地块,一季度拿地并能在年内能形成可售货值,也是央企一贯投资风格;另一面,与核心城市供地节奏、质量密不可分,尤其是部分核心区地块高溢价成交,中小房企想要捡漏难度颇大。

3月部分城市或局部“小阳春”,房企迎来加仓补货“窗口期”
预判后市,克而瑞研究中心认为,3月恰逢“金三银四”成交旺季,整体供求有望修复,环比持增,但是考量到去年高基数原因,同比或将持平或小幅微降,部分城市或将出现局部“小阳春”。
同时,据CRIC调研,北上深杭等核心城市3月均将迎来供应放量,改善和高端盘占比上升,预期将拉动市场热度回升,加之核心一二线楼市调控政策尚有放松空间,也将助力市场维稳,不过余下多数三四线城市或将延续筑底行情,改善去化优于刚需。
企业投资方面,随着市场进一步回暖和供地节奏加快,未来核心城市土地仍能继续保持高热,房企也迎来加仓补货“窗口期”。
克而瑞研究中心表示,接下来一二线城市采取多批次、缩量提质供地策略情况下,头部房企还将持续加码一二线城市核心宅地。三四线城市还需持续借力2025年地方债务空间扩容的政策窗口,继续严控供地规模并聚焦核心区供求调整,优先盘活关键区域闲置土地。