——盛青云锦——
盛青云锦售楼处电话:400-8874-108✔【最新预约】
盛青云锦营销中心电话:400-8874-108✔✔【最新认证】
上海盛青云锦官方售楼处电话:400-8874-108 VIPLINE✔✔✔【最新发布】
如有问题可来电咨询,线上售楼中心,预约销售专员,一对一为您服务!
想了解盛青云锦更多信息?拨打售楼处营销中心热线:400-8874-108 (中介勿扰)【24小时热线】
上海盛青房地产发展有限公司(以下简称“公司”),公司成立于2003年,青浦区属三级公司,由“上海青浦房屋管理有限公司”全资控股,深耕上海青浦21载,步履不停,让城市生活更美好。

盛青“云”字系 高品质人居范本
国匠盛青第二个“云”字系升级作品,在板块、社区、户型、精装等方面实现全维度升级,打造城市滨水人居范本。
【南区入口】
阔尺门头彰显业主尊贵身份;通过沿街界面的景观水景、艺术雕塑等,展现兼具艺术感与庄重感的归家礼仪。

【北区入口】
尺度大气的现代风格门头,入口展现艺术水苑、叠水瀑布以及层级绿化,彰显归家仪式感。

【三重水系】
一重:北侧距离绿地水系公园约百米,如同走进自家后花园,公园面积超9万方,斥资约1.1亿打造。


二重:东侧紧邻城西河与七彩公园,日常休闲,悠然享受慢生活。三重:一条滨水东西向穿过社区,直面水景,与自然双向奔赴。

【归家礼序】
以一轴一带多境的格局,打造迎宾客厅、仪式水景、景观连廊、艺术水苑、森氧绿境、精装大堂六重归家礼序。


【户外泳池】
社区提供专属户外泳池,舒适的社区会客厅,儿童戏水池和阳光草坪。在这里,随时享受畅游乐趣,享受高品质生活体验。

【风雨连廊】
配备休闲座椅,为业主遮风挡雨,营造更加尊贵的生活体验。


【多功能架空层】
融休闲会客、儿童空间、老年活动、文化展示、社区康体等功能于一体,匹配更多人群的需求。

【运动会所】
集合有氧区、力量区、台球、乒乓等多项目的运动空间,让人们享受到丰富运动选择的同时,更融入到运动和健康的生活方式中去。

【建筑风格】
现代简约风,外立面采用大面积玻璃加铝板,打造非对称L型立面,材质造价更高,抗腐蚀性程度更高。

【户型】
项目共14幢14-17层的小高层,共有4个面积段7个户型,建筑层高约3.15米。








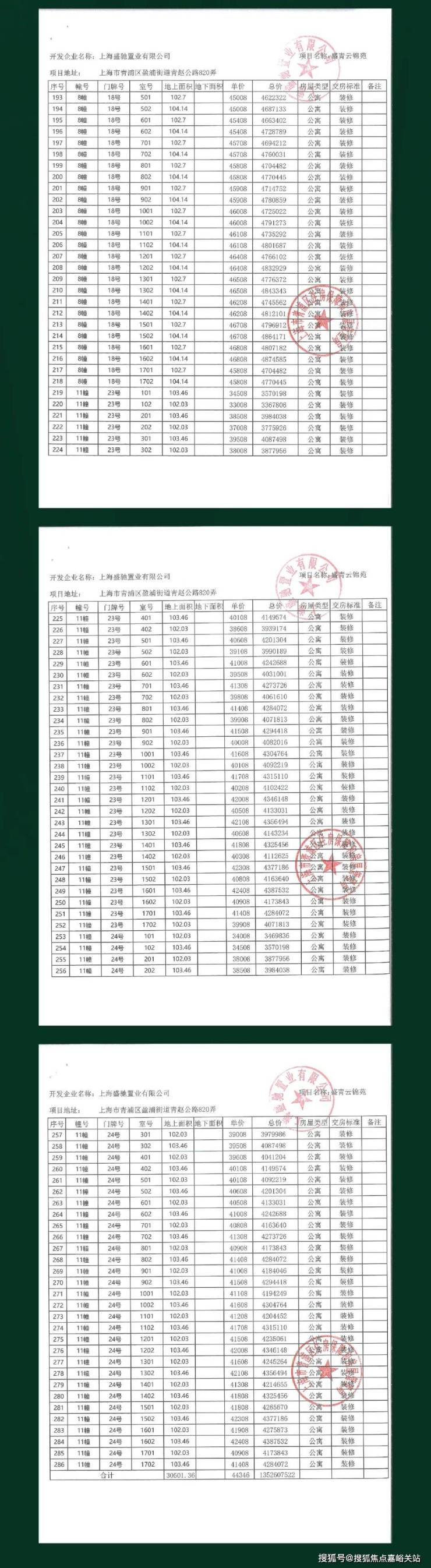
项目一房一价表▼



【交通配套方面】—— 直线距离17号线地铁站仅800米
四横:城中西路、青赵路、盈港路、崧泽高架
三纵:漕稼一路、漕稼二路、漕盈公路
三轨:17号线、示范区线(规划中)、嘉青松金市域线(规划中)

【商业配套方面】—— 黄金1.5KM繁华芯
吾悦广场商圈、百联青浦购物中心、万达茂商圈、桥梓湾商圈(未来规划为江南新天地)等商圈环伺,拥揽璀璨万象。

【医疗资源方面】—— 优质医疗资源集聚
复旦大学附属中山医院青浦新城分院(规划中)、中山医院青浦分院、红房子医院青浦分院、青浦中医医院、长三角智慧医院(建设中)等医院环伺,为家人的健康保驾护航。

【人文休闲方面】—— 人文荟萃艺术熏陶
周边汇集长三角艺术中心、工业博物馆、青浦区市民中心、青浦博物馆等文化艺术配套。

【教育资源方面】—— 学府环伺智启未来
本项目北侧规划幼儿园,周边分布青浦实验中学、逸夫小学、瀚文小学、尚美中学、平和双语、复旦附中等优质教育资源。

五个新城的核心地段上车门槛已然不低了,松江新城价格已突破6字头,嘉定新城入围门槛向来不低;奉贤新城、临港新城的地缘属性非常强。
而 青浦新城,背靠大虹桥+长三角一体化示范区,价格仍在4字头,性价比独树一帜。

区位示意图,数据来自网上房地产
青浦新城是上海重点建设的五个新城之一,同时也是上海都市圈和长三角一体化交集核心区域,还是大虹桥商务区西辐射门户。
新城站位+2大国家战略利好,三位一体的青浦新城想不火都难!
所以,论前景、论上限,青浦新城有不输任何郊区板块的底气。

区位示意图
青浦新城能级颇高的规划可以保证地段价值高度,这里更拥有丰富的城市资源、便捷的交通、优越的生态环境等,居住舒适度在郊区里独一档。
那么,青浦新城还有总价400万级买入改善型产品的机会吗?!
答案是: 当然有!
重磅消息来了,青浦新城核芯地段、17号线旁惊现 改善型红盘——盛青云锦
项目推出286套房源,主力户型包括建面约103、104㎡3房2厅2卫,建面约166㎡4房2厅3卫,精装交付,层高达约3.15米,均价44346元/㎡!

盛青云锦效果图

与17号线直线距离约800米,
7站直达蟠龙天地,9站虹桥核心!
在青浦,有两条交通大动脉,但青浦新城已许久没有轨交盘入市了。
轨交17号线,串联起了 天空万科广场所在的徐盈路站、蟠龙天地所在的蟠龙路站、国家会展中心所在的诸光路站以及虹桥交通枢纽所在的虹桥火车站。
同时,17号线还能在虹桥无缝换乘2号线。
2号线沿途皆是市区高能级商办中心, 淞虹路、中山公园、静安寺、南京西路、陆家嘴、张江……一路连缀。
盛青云锦与17号线漕盈路站直线距离约800米,是不折不扣的轨交盘,步行可达!周边也有公交车站可以直达地铁站,出行非常便捷。

区域示意图
另外,青浦新城站还有在建的 示范区线和规划中的 嘉青松金线。
示范区线往西可以直通青浦华为研发中心,未来还可以直达吴江和嘉善,往东连接虹桥。
嘉青松金线从南至北依次穿过了安亭、青浦新城以及松江新城,直达金山。
区域示意图
未来三轨交环绕的青浦新城将承担起中心枢纽的责任,这里将聚集大量人口、资源以及财富。
盛青云锦未来将坐拥 三轨交,作为青浦新城少有的近轨交项目,性价比不言而喻!

中央商务区在左,江南新天地在右,
丰盛配套入住即享,未来前景值得期待!
提到青浦新城,就要要先说一个概念。
青浦新城“十四五”有1+3重点发展区域:
“1”就是中央商务区。
“3”包括青浦老城厢及周边的“城市更新实践区(江南新天地)”,青浦大道以西及三分荡地区的“未来新城样板区”以及工业园区产业基地内的“产业创新园区”。
盛青云锦位于青浦新城核心,北侧即是新城中央商务区,南侧是全新城市更新板块江南新天地。

青浦新城区位示意图
根据规划,中央商务区选取以青浦新城地铁站为核心的约6.5平方公里土地,采用国际新城开发模式,将商务办公、交通枢纽、文化休闲高度集合起来,打造成为宜居宜业的国际滨水新城。

青浦新城中央商务区效果图
根据规划,江南新天地板块打造满载江南记忆的城市会客厅与特色文化体验区,同时区域内将着重打造低密度花园住宅,将成为青浦下一个宜居高地。

青浦江南新天地环城水系效果图
盛青云锦有中央商务区、江南新天地两大城市级样板区在旁,纵享购物娱乐、教育医疗、生态艺术等丰盈配套。
周边生活配套丰富,尤其是商业资源,超百万商圈环绕,吃喝玩乐购一应俱全!

区位示意图
青浦新城以公园路、青安路、盈港路及城中西路、城中南路、城中北路等主要商业街构成了城区内三纵三横商业网络,东方商厦、世纪联华、永乐家电青浦店和桥梓湾商城成熟已久。
项目步行范围内街区商业繁荣,与 吾悦广场,满天星399广场直线距离仅约1公里,步行可达。

效果图
稍微驱车一段,就可以到达 绿地缤纷城,富绅商业广场,宝龙广场,万达茂和蛙城等多个商业体,完全能满足业主各能级消费需求。
青浦新城商业新地标“江南新天地”已在规划中!

实景图

效果图
项目周边拥有全龄段教育资源,包括 平和双语、复旦附中、兰生复旦等私立学校, 青浦实验中学、逸夫小学、瀚文小学、尚美中学等幼儿园到中学。
*(本宣传资料对项目周边学校等教育信息的介绍旨在提供相关信息,不意味着本公司对就学安排作出了承诺:学校的名称、办学性质、办学规模、开学时间、招生条件、收费标准及招生区域等均存在调整的可能.须以政府教育主管部门及校方的最新政策为准。)

实景图
近几年,青浦的医疗资源迎来大爆发。
项目周边有 三甲中山医院青浦分院、红房子医院青浦分院、长三角智慧医院(建设中)、 上海中山医院(规划中)等医疗配套。

示意图,仅供参考
项目周边有 青龙田庄公园、城西河滨河步道、七彩公园等水系公园, 长三角艺术中心、工业博物馆、青浦区市民中心、青浦博物馆等人文配套。
城市公共景观资源和人文资源非常丰富,是休闲之余的好去处。

效果图

大面积玻璃幕墙+层高约3.15米,
首推建面约103-166㎡滨水奢宅!
继盛青·云驰之后,国企盛青房产于青浦新城之核,打造 第二个“云”字系升级作品:盛青云锦,为城市菁英打造精质滨水人居。
上海盛青房产深耕青浦二十载,匠心品质,让城市生活更美好,至今累计开发建设居民住宅总建筑面积达约415万㎡。

盛青云锦效果图
项目位于城区核心区内,东侧临河及七彩公园,地块内有水系,北侧为公园,水系、绿地天然资源极其丰富。
社区是现代简约风格,采用非对称“L型”立面, 大面积玻璃搭配铝板勾勒的线条众横”线条细节融入时尚立面元素,美观大方、历久弥新。

盛青云锦效果图
对于社区景观的营造,项目 “微度假的滨水花园住宅”的理念更是让人耳目一新!
项目打造轻氧微度假的森系场域,创造一轴一带多境,以庭院为核心的全龄化、多境界的体验型景观。

盛青云锦效果图
一进-迎宾客厅
项目设置尊享南北入户双客厅,南区入户客厅设置景观水景+艺术雕塑+大尺度门头+精致花园,让归家的仪式感和尊崇感备至!
项目做到完全人车分流,居住品质更好,园林景观更优质。

盛青云锦效果图
二进-仪式水景
归家途中,通过 艺术景墙、智能归家、艺术水苑、迭水瀑布及层级绿化构成礼仪景观组团,达到移步换景的效果。
三进-景观连廊
沿途设有尊享景观连廊,串联 迎宾水景、休闲座椅、林下休憩空间。

盛青云锦效果图
四进-艺术水苑
同步高质人居的营造标准,打造 户外泳池、儿童戏水池、景观叠水等艺术水苑。
五进-森氧绿境
设置 礼宾色叶林、滨河花林等森氧绿境, 儿童活动区、成人健身、健康跑道等活力空间,达到“引林入园,化景为园”的效果。

盛青云锦效果图
六进-奢雅大堂
通过 艺术花境、入户景墙、24H 全龄架空层及奢雅入户大堂,打造典雅别致空间,给予业主们尊享星级归家体验。

盛青云锦效果图
产品方面,项目首推286套滨水奢宅,主力户型包括建面约103、104㎡3房2厅2卫,建面约166㎡4房2厅3卫,精装交付。
项目 层高达到约3.15米,20cm层高的跃升,不仅让室内更通透,中央空调、地暖装完后不显压抑,多出来的空间可放置更高的储物柜,增加收纳空间。

建面约103㎡3房2厅2卫,边套户型, 做到了三个面采光+双开间朝南+主卧套房设计+南北通透,室内通透明亮。
阔绰边厅+景观大飘窗的设计,将阳光和景观充分引入室内。


建面约104㎡3房2厅2卫,中间套B户型,做到了 四开间朝南+全卧室带飘窗+主卧套房设计,采光面拉到极致。
客餐厅相连的大横厅,匹配同尺度超大面宽阳台,室内阳光满溢。

建面约104㎡3房2厅2卫,中间套D户型,做到了 三开间朝南+主卧套房设计+朝南卧室带飘窗+动静分离,采光和通风俱佳。
与B户型不同的是,该户型竖厅设计,很好的做到了动静分离,居住舒适度也非常不错。

建面约166㎡4房2厅3卫,做到了 3+1开间朝南+双套房设计+卫生间干湿分离,是“一步到位”的进阶改善4房!
LDBK大边厅,270°飘窗+宽景阳台,拥有极奢侈的瞰景视野;
4房2厅3卫格局比常规户型多出“1卫”,能更好满足大家庭多样化的生活需求!其中南向双套房设计,每个家庭成员都能有自己的小天地。

项目未来更有建面约145㎡3+1房2厅2卫,建面约197㎡4房2厅3卫。
这2个户型都是进阶改善产品,做到了 独立电梯厅+超大面宽采光面+双阳台+主卧套房设计,且位于社区央芯,纵览社区内外美景,彰显主人尊贵身份。
约197㎡户型,更是做到双套房设计,适配大家庭多样化的生活需求!

盛青云锦售楼处电话:400-8874-108✔【已认证】
盛青云锦营销中心电话:400-8874-108✔✔【已认证】
上海盛青云锦官方售楼处电话:400-8874-108 VIPLINE✔✔✔【已认证】
如有问题可来电咨询,线上售楼中心,预约销售专员,一对一为您服务!
想了解盛青云锦更多信息?拨打售楼处营销中心热线:400-8874-108 (中介勿扰)【24小时热线】
楼盘项目全面介绍,本电话为开发商提供线上预约售楼电话,楼盘项目全面介绍(包含楼盘简介,均价,房价,现房,期房,别墅,叠墅,大平层,价格,楼盘地址,户型图,交通规划,备案价,备案名,项目配套,样板间,开盘时间,认筹时间,楼盘详情,售楼处电话,最新消息,最新详情,周边配套,一房一价,最新进展等详情咨询)楼盘详情丨价格丨更多优惠丨机不可失丨欢迎致电丨诚邀品鉴!售楼处位置丨特价房丨工抵房丨剩余房源丨户型图丨最新消息丨免责声明:将文章内容综合来源于网络、只作分享,版权归原作者所有!!如有侵权,请联系我们,我们第一时间处理如有问题欢迎来电咨询,专业一对一热情服务,让您用专业眼光去买房.如果您想了解更多楼盘详情,欢迎提前预约拨打
2025年至今,多地对公积金政策进行调整优化,包括北京、上海、深圳、成都等热点一、二线城市。
从政策内容来看,涉及多个方面,既有调整首付比例及贷款利率、提高贷款额度、提高年龄上限和使用范围等常见调整,也有直付房租、将灵活就业人员纳入住房公积金缴存范围等试点。
截至目前已经有超20城对公积金政策进行优化。对于超1.7亿缴存者来说,这笔钱正变得更可及、更好用。
住房公积金在相当长的一段时间只针对买卖市场,从前几年开始对租赁端有所松动,一直到如今公积金使用的弹性越来越灵活。
这一方面是公积金管理在适应市场的变化,另外一方面也是对整体房地产市场调控的配合。

2月以来,各地密集出台住房公积金贷款优化政策。如长沙、济南、大连等城市,都不同程度提高了住房公积金贷款额度,最高额度都提高了几十万元不等,此外最低首付比例也降到了20%。深圳、福建等多地则明确支持省内购房异地可以提取,厦门、莆田、南平等地还允许父母或子女等家庭成员之间利用住房公积金进行购房贷款。
据不完全统计,2025年至今全国已经有超过20个城市出台了公积金优化调整相关政策。
从具体政策内容来看,部分为以往政策的延续,如降低首付比例、下调存量贷款利率便是对2024年全国层面取消全国层面房贷利率下限、下调房贷首付比例和公积金贷款利率的响应。又如调整住房公积金贷款到期日,将还贷期限延长则是对国家延迟退休的政策的响应。
住房城乡建设部数据显示,2023年,我国住房公积金实缴职工人数超过1.7亿 ,缴存额达到34697.69亿元。
目前每个城市出台公积金政策的角度和细则不一,各地正通过一系列公积金政策“组合拳”,着力盘活存量住房公积金的使用效率,在一定程度上让一些刚性需求和改善性需求进行适度释放,为市场注入新活力。这也是因城施策的具体体现。


从各地公积金政策“组合拳”来看,将灵活就业人员纳入缴存范围正成为新的热点。
目前天津、宜昌、兰州等地已明确将个体工商户、自由职业者等灵活就业人员,也纳入住房公积金缴存范围。灵活就业人员原则上也可享受“商转公”“多孩家庭公积金贷款支持政策”等多重权益。
2024年1月14日上海市人民政府办公厅印发《上海市促进在线新经济健康发展的若干政策措施》,也提出打造灵活就业服务新模式,推进灵活就业人员参加住房公积金制度。
从已试点城市来看,2月17日宜昌住房公积金中心发布最新工作动态:今年以来,宜昌住房公积金中心认真贯彻落实党中央、国务院提出的“推动住房公积金向职业劳动者广覆盖”要求,将住房公积金融入全市发展大局,以获批灵活就业人员参加住房公积金制度全国第三批试点城市为抓手,乘“巳”而上,谋新求变,全力以赴吹响公积金事业高质量发展号角。2025年1月底灵缴全国试点正式启动以来,全市新增灵活就业人员开户6309人,春节前后20天的开户数超过过去五年的总和,新增开户人员实缴金额近2000万元。
从政策创新点来看,其将灵活就业人员纳入住房公积金缴存范围,通过住房公积金支持灵活就业人员租房、购房,助力各类就业群体住有所居。缴存方式上,许多城市也充分考虑到灵活就业人员收入不稳定的特点,极为灵活。
另外,根据《天津市灵活就业人员参加住房公积金制度管理办法》,对于灵活就业人员连续停缴6个月以上(含6个月),无未结清的个人住房公积金贷款或账户余额不足最近一次个人住房公积金贷款月还款额的,可提取全部住房公积金并注销个人住房公积金账户。这也将有力支持此类灵活就业人员公积金贷款权益。
需要注意的是,从灵活就业人员的角度来说,若住房公积金贷款与商业贷款之间没有明显的差异与优惠,其参加住房公积金的积极性或将不足。
目前全国大部分城市已取消房贷利率下限,同时,自2024年5月18日起,中国人民银行下调个人住房公积金贷款利率0.25个百分点。首套个人住房公积金贷款利率2.85%,第二套个人住房公积金贷款利率3.325%。
2024年底广州部分区域商业银行最低房贷利率低至2.6%,曾出现商贷与公积金贷款利率“倒挂”情况。为此2024年11月6日,广东省人民政府新闻办公室官方微信“广东发布”发文曾表示:多家银行及按揭中介确认,自11月7日起广州地区主要商业银行或统一调整房贷利率,各家银行商业房贷利率最低不得低于3%。

截至目前央行公布的新一期LPR显示,5年期以上LPR为3.6%。可以看到随着公积金贷款利率与个人住房商贷利率的利差持续收窄,灵活就业人员自愿参与住房公积金缴存的积极性存疑。

2025年1月20日,北京发布《关于开展提取住房公积金直付房租业务试点工作的通知》。
“直付房租”是指公积金中心根据缴存人的授权和申请,按月将缴存人可提取的住房公积金从其住房公积金账户直接划转至试点住房出租机构指定账户,用于支付房租的提取方式。
共有4类租房提取类型可以申请“直付房租”业务:一是租住商品住房提取;二是多子女家庭租住商品住房提取;三是租住保障性租赁住房提取;四是租住公共租赁住房提取。
申请“直付房租”业务的缴存人,数据互联校验通过的,可实现“零材料”办理。
数据显示,近年来我国住房公积金租房提取金额、人数快速增长,每年支持超过1500万新市民、青年人等缴存群体提取住房公积金支付房租,其中40岁以下青年人占比超过80%。
根据国家规定的缴存比例,每个人及其单位为其账户缴纳的公积金总额,约为其工资总额的10%到24%。对初入职场、缴存总额不高的年轻人而言,能否有效利用公积金,也直接影响着他们的生活质量与幸福感。
此次北京试点住房公积金直付房租对租房领域落实了更为宽松和友好的政策,具有非常好的导向。


2024年全年共有266省市放松公积金政策,整体效果相对有限,尤其是对购房需求的实际撬动作用非常有限,只有少数客户可能因为公积金政策的放宽,而增加购房意愿,或转向选择公积金贷款。
进入2025年,作为第一波政策落地,目前已有超20个城市对公积金政策进行调整优化,在信号上较为积极。
从2024年9月26日中央政治局会议首提“促进房地产市场止跌回稳”,再到12月11日至12日中央经济工作会议再作定调“持续用力推动房地产市场止跌回稳”。从“促进”到“持续用力”表述的转变,不仅凸显了稳定房地产市场的迫切需求,也反映了市场需要持续的政策支持。
我们认为随着越来越多城市对之前各项政策落地实施,2025年整体政策仍将继续保持宽松状态,后续也将有更多政策在紧锣密鼓地优化落地当中。