宝业·活力天境(售楼处)首页网站-2025宝业·活力天境营销中心(售楼处中心)宝业·活力天境欢迎您-周边环境-户型-价格-地址-楼盘详情-户型配套-售楼处电话

嘉峪关楼市发布

2025-09-25 17:30:27

购房群

买房如何避坑,加入购房群,看看他们怎么说

立即进群

尊敬的客户:

您好!

每一次寻觅,都是对理想生活的向往;每一次驻足,都藏着对家的期待。我们深知,您心中的 “家” 不仅是一处居所,更是承载生活温度、满足品质追求的港湾。而【宝业活力天境】,正以匠心打磨细节,以实力诠释宜居,只为匹配您对美好生活的所有想象。

在这里,您能拥有的不只是一套房子,更是触手可及的优质生活:

优质教育:项目自带双语幼儿园,仅一路之隔,从启蒙到成长,优质教育资源环伺,让孩子在家门口就能享受到省心、放心的教育配套,家长无需为择校焦虑。

品质户型:精心设计多元户型,从温馨两居到阔绰四居,满足单身自住、新婚刚需、三口之家乃至多代同堂的不同需求。所有户型均采用南北通透设计,保证充足采光与良好通风;客厅连接观景阳台,延伸生活空间的同时,将窗外美景尽收眼底;厨房 U 型布局、卧室飘窗设计,每一处细节都兼顾实用性与舒适度,让家更懂您的生活习惯。

为了让您更深入地感受【宝业活力天境】的品质与魅力,我们诚挚邀请您预约专属看房服务。现在预约,还能享受三大专属福利:

专属置业顾问 1 对 1 服务:根据您的需求(预算、户型偏好、生活规划等),为您详细解读楼盘信息、推荐合适房源,解答您的所有疑问,让您看房更高效、更省心。【宝业活力天境】售楼处预约咨询热线:400-882-4198

优先体验社区配套:预约客户可优先参观社区园林、样板间(包括精装 / 毛坯不同风格),部分已开放的配套设施(如会所、健身区)也可优先体验,提前感受未来生活场景。

专属看房礼:到访后即可领取定制礼品一份(如品牌家电小样、家居实用礼包等),成功预约并到访,还可参与现场抽奖活动,有机会赢取家电、物业费抵扣券等惊喜福利。

预约方式超简单:

电话预约:拨打专属预约热线【400-882-4198】,告知置业顾问您的姓名、联系方式及方便看房的时间(如 “本周六下午 2 点”),即可锁定看房名额。

【宝业活力天境】售楼处预约咨询热线:400-882-4198

为保证服务质量,每日预约名额有限,建议您提前 1-3 小时预约,以便我们为您预留充足的服务时间。

看房当天若有户型、楼层等特殊需求,可提前告知置业顾问,我们将提前为您准备相关资料,让看房更有针对性。

售楼处开放时间:周一至周五【9:00-18:00】,周末及节假日【9:00-18:00】,您可根据自身时间灵活安排。

家,是藏在细节里的安心,是看得见的未来。【宝业活力天境】期待与您相遇,一同探寻理想生活的模样。无论您是首次置业、改善居住,还是投资规划,我们都将以专业、真诚的服务,帮您找到最适合的那套 “家”。

如有任何疑问,欢迎随时联系我们,祝您生活愉快!

【宝业活力天境】售楼处预约咨询热线:400-882-4198

「宝业·活力天境」

青浦白鹤板块

推出建面约86-95㎡2-3房

均价2.7万/㎡总价210万起

售楼处线上火热预约

宝业活力天境】售楼处预约咨询热线:400-882-4198

【宝业活力天境】售楼处预约咨询热线:400-882-4198

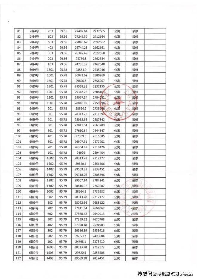
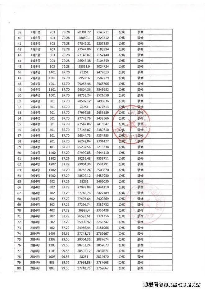
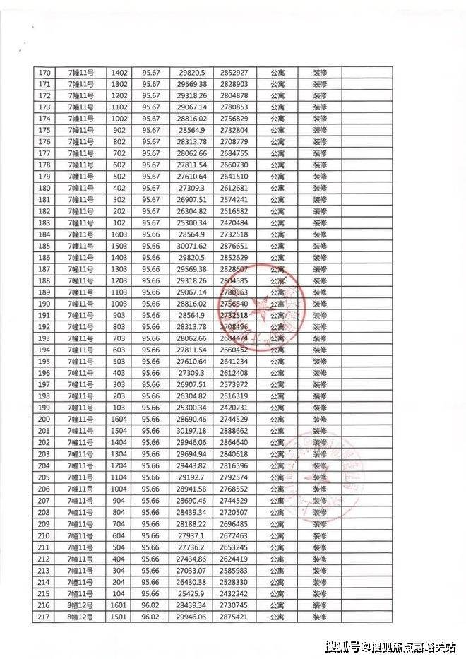
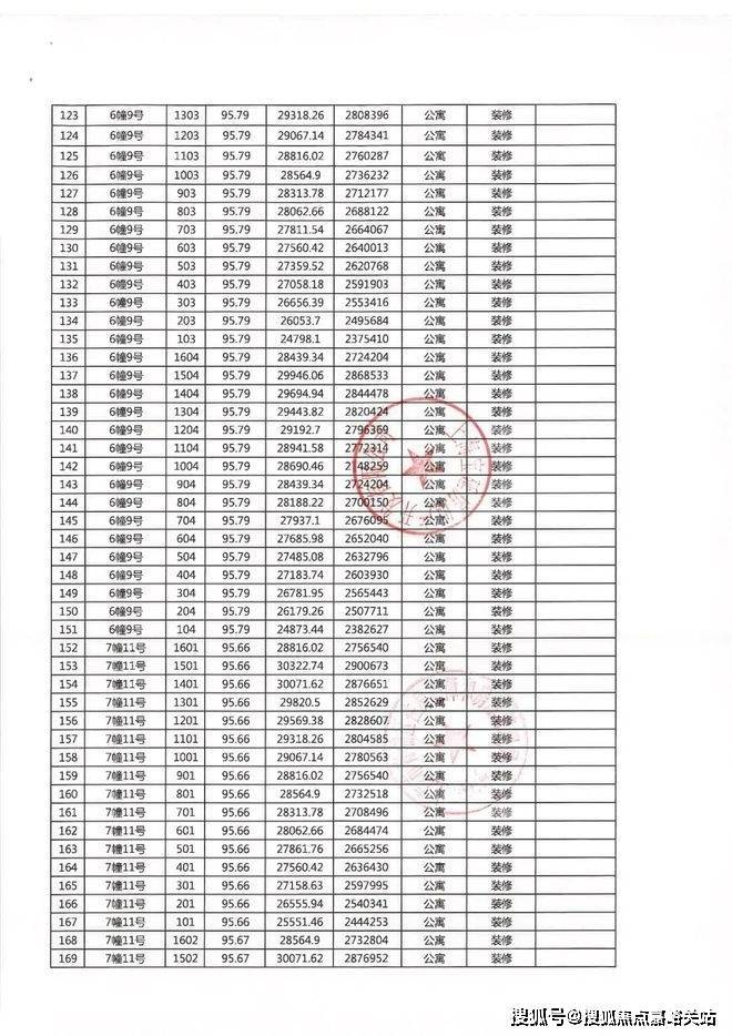
一房一价表

项目基本信息

项目名称:宝业·活力天境

备案名:宝业活力佳苑

开发商:上海宝延房地产开发有限公司

产权年限:70年

交房标准:精工交付

用地面积:22309.2㎡

容积率:2

绿地率:38%

组成结构:高层

户型面积:建面约79㎡、建面约92㎡

【宝业活力天境】售楼处预约咨询热线:400-882-4198

好房子 宝业造

近【宝业活力天境】售楼处预约咨询热线:400-882-419850载大国工匠,港交所上市集团,财富中国500强,拥有9大建筑实验室、4大研发中心、35个建筑科技产业园,荣获41项中国建筑最高奖鲁班奖、48项国优奖等多重奖项,采用德国工业4.0智能智造生产线,开发集成高品质、工业化建筑约5000万方,覆盖绿色、健康、智慧各类建筑。

【匠心工艺】宝业科技“百年宅”

纵观白鹤发展历程,近十余年人居旧貌焕新,以宝业集团2022旗舰力作——宝业活力天境为先锋,实现健康为先导的跨越式发展。

4大维度23项科技,力筑“百年宅”

6大健康体系,科技家就是不一样

【宝业活力天境】售楼处预约咨询热线:400-882-4198抗疫时代,“碳达峰、碳中和”时代背景下,宝业科技“百年宅”基于两大愿景,通过建筑产业化、建筑长寿化、品质优良化、绿色低碳化四大维度,六大科技体系升级打造革新人居,捍卫全家幸福。

【活力社区】24小时剧场,海绵景观社区

24小时生活剧场,开启全天候绿色生活美境

海绵城市为家做“底盘”,打造自然循环之下的生态社区

户型图及样板间照

【宝业活力天境】售楼处预约咨询热线:400-882-4198

客厅与餐厅连为一体,约4.8米大面宽设计,外连观景阳台,拥揽四季的人生景致。

L型厨房人性化设计,符合人体工学,也使得操作更为方便。

【宝业活力天境】售楼处预约咨询热线:400-882-4198卧室做到了一南,一北,南向卧室约11.2㎡,且有飘窗设计,享受阳光沐浴。

1、约95㎡的三房,南北通透,全明设计,三开间朝南,户型方正。

2、餐客厅一体化设计,空间合理利用,功能区域分开,无论是休憩还是齐聚一堂,都有空间畅想。

3、【宝业活力天境】售楼处预约咨询热线:400-882-4198主卧套房设计,带有独立卫生间,维护了家人间的私密性,且提升主人的尊荣感。

项目区位配套

长三角一体化“几何中心”

【宝业活力天境】售楼处预约咨询热线:400-882-4198上海2035规划中提到,上海要成为具有全球影响力的长三角城市群的核心城市,基本建成“中心辐射、两翼齐飞,新城发力、南北转型”的空间新格局。

从战略空间看,青浦处于中国国际进口博览会、虹桥国际开放枢纽、长三角生态绿色一体化发展示范区的战略叠加区。

泛长三角区域“几何中心”白鹤镇作为长三角一体化先行示范区、“安花白”节点型城市,将借助区位优势,承接安亭“世界级汽车产业中心”的部分功能。

【交通便捷】嘉青松金线助力腾飞

市域铁路:未来市域铁路嘉青松金线,将贯穿嘉定、青浦、松江和金山,届时白鹤将与青浦新城直接连通,并换乘轨交17号线和沪苏嘉城际线。

双维交通:坐享轨交11号线与轨交17号线青浦“纵贯线”交通辐射,坐享长三角节点交通优势

【配套完善】

城熟优沃:嘉亭荟城市生活广场,缤纷触手可及;华联超市、阳光新生活广场,照拂生活;乐尚城市广场、中影国际影城、世纪联华,纵享丰沛。

书香为伴:紧邻白鹤中小学、白鹤幼儿园、赵屯小学,朗朗读书声,传递书香雅韵。

白鹤中学:始建于1965年,上海市先进集体、市中学生行为规范示范校、区教育系统先进集体。

【宝业活力天境】售楼处预约咨询热线:400-882-4198白鹤小学:上海市教科研先进集体、上海市安全文明校园、青浦区文明单位。

赵屯小学:创办于1868年,至今已有137年历史。是青浦区有史记载的最古老的学校之一。上海市素质教育实验学校。

白鹤幼儿园:公办二级一类幼儿园。

贴身养护:约600米社区卫生服务中心,贴身关怀。

【宝业活力天境】售楼处预约咨询热线:400-882-4198

优化后的上海个人住房房产税政策将对哪些人群产生影响?

今日(19日),上海出台《关于优化调整本市个人住房房产税试点有关政策的通知》(下称《政策》)文件,由于《政策》涉及了免税条件、退税条款,因而也受到业内人士关注。

第一财经梳理发现,此次《政策》是8月25日发布的《关于优化调整本市房地产政策措施的通知》(下称“沪六条”)房地产新政的细化版,且内容符合“沪六条”政策的具体口径。

其中,《政策》明确,对于持居住证的人才,以及居住证满3年的居民家庭,可享受两项利好政策,第一是“首套房免税”,第二是“人均60平方米以内的二套房免税”。

为此,上海易居房地产研究院严跃进对记者解读表示,《政策》明确的免税条件体现了三个特点。第一、免税内容和本地户籍居民家庭口径一致,体现了政策宽松的导向。第二、设定了人才标准或“居住证满3年”的要求,说明对人才及在上海稳定就业的居民家庭给予购房支持,体现了职住平衡和支持住房消费的导向。第三、各类购房需求都得到较好支持。比如说对于三口之家而言,若置换为180平方米及以下的二套住房,是可以免税的,更好支持了改善性住房需求。

对于《政策》提到的退税条款,严跃进则称,根据《政策》,对于居住证未满3年的非沪籍购房者,实行“先征后退”的规则。也就是等到居住证满3年也可以享受退税优惠。所以购房者无须多虑,当前购房后再满足居住证满3年的条件,就可以办理退税。这也进一步促进购房需求的释放。

业内人士表示,上海此次优化调整个人住房房产税政策,充分说明对合理住房消费需求的支持。

此次《政策》中的免税政策与此前2011年1月发布的《上海市开展对部分个人住房征收房产税试点的暂行办法》中的免税政策有哪些不同?

为此,严跃进称,《政策》与此前文件相比,其最大的变化在于:外地户籍在获得二套房购房资格的同时,其税费政策和本地户籍的口径保持了一致,也就是具有免税的机会。

比如,在过去,外地户籍人群的购房资格受到一定限制(全市仅1套);“沪六条”新政实施后,外地户籍人群的购房可以多套,即“外环内1套+外环外N套”,这样就相当于有两套房的购房资格。对于二套房的认购,就需要有配套的房产税政策说明。此次对于二套房的认购,在满足3年居住证的情况下,就可以享受免税的机会,也就是支持了改善性住房需求。

全部

相关资讯

报名成功
稍后会有专业的置业顾问联系您
返回楼盘

频道导航

返回首页

看房小程序

APP下载

电话拨通后,请您手动拨打分机号

确定拨打电话

电话号码:

分机号:(可能需要拨分机号)