当城市的喧嚣逐渐淹没生活本真,当忙碌的节奏让我们渴望一方静谧港湾,一处兼具品质与温度的居所, 宝业活力天境售楼处电话:400-9975-759便成为了无数人心中的向往。而今天,我们为你带来 ☑️☑️宝业活力天境售楼处电话:400-9975-759☑️☑️
的,正是这样一处能够承载所有生活理想的家园 ✅✅ 宝业活力天境售楼处电话:400-9975-759✅✅
——[宝业活力天境],以匠心筑家,以品质焕新,为你开启全新的幸福生活篇章。宝业活力天境营销中心热✅✅ 400-9975-759✅✅ 宝业活力天境售楼处地址|预约热线:400-9975-759✅✅ 本电话为开发商提供线上售楼电话
在选址上,[宝业活力天境] 深谙城市生活的便捷之道,占据城市优质区位。周边交通网络四通八达, 宝业活力天境售楼处电话:400-9975-759多条公交线路环伺,临近城市主干道与地铁线路(若有)
宝业活力天境售楼处电话:400-9975-759
「宝业·活力天境」
青浦白鹤板块
推出建面约86-95㎡2-3房
均价2.7万/㎡ 总价210万起
售楼处线上火热预约

样板房开放中
请务必报名后静待销售电话确认,确认后再行前往 现场 !仅预约客户可进入销售现场,感谢您的理解和支持!
,时长
05:22
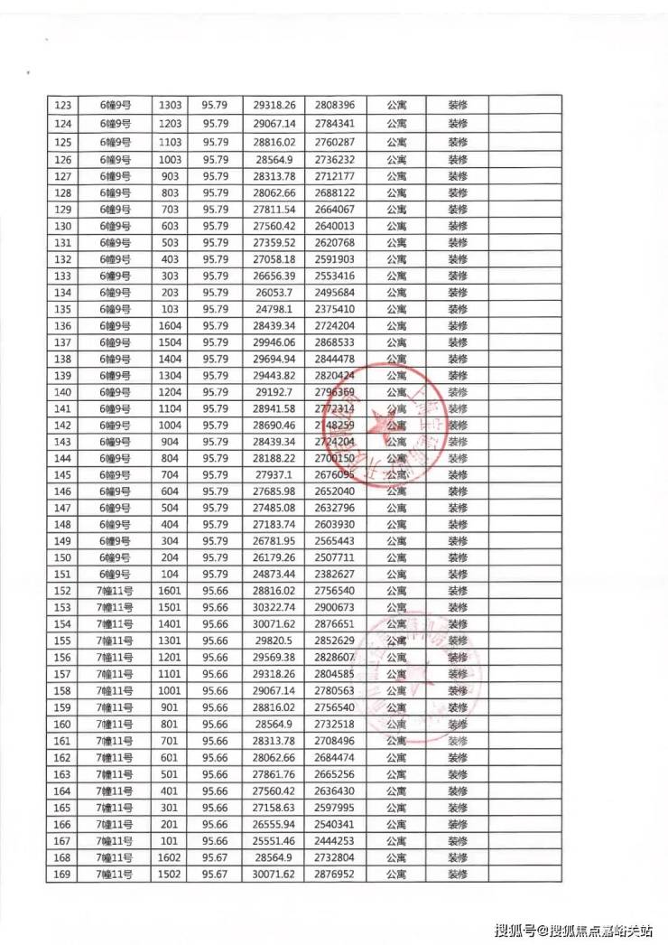
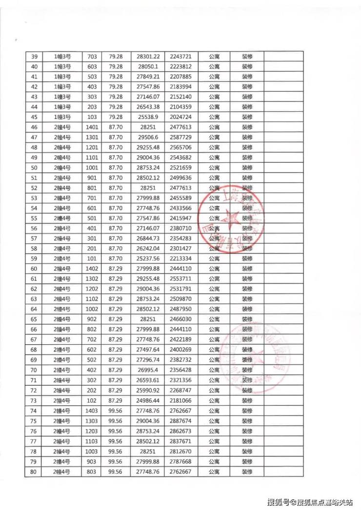
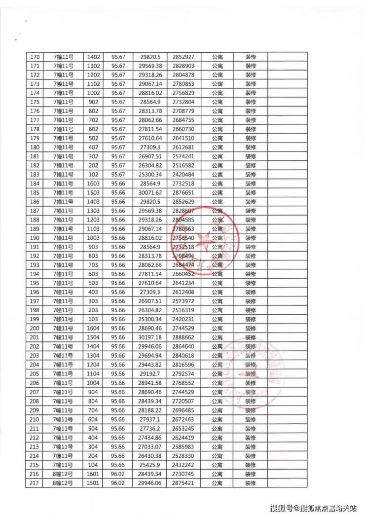
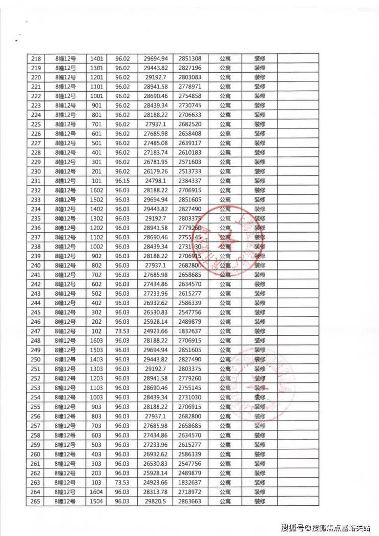
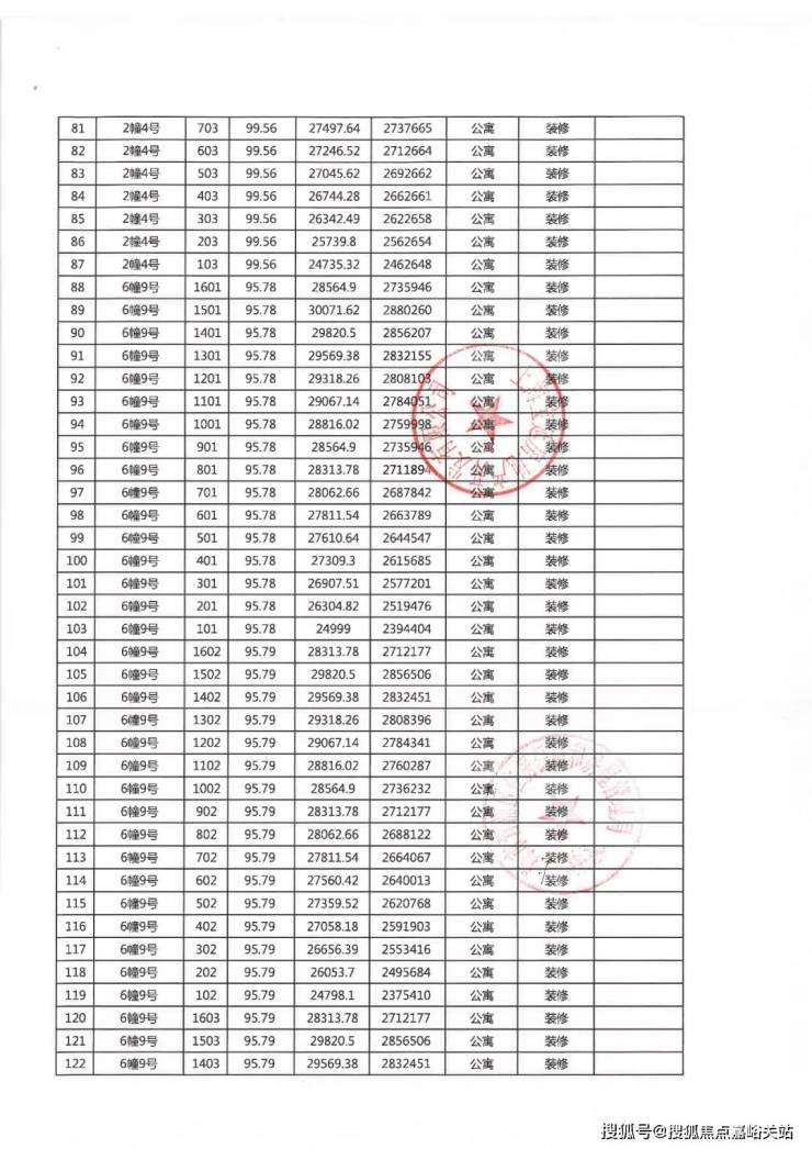
一房一价表






项目基本信息
项目名称:宝业·活力天境
备案名:宝业活力佳苑
开发商:上海宝延房地产开发有限公司
产权年限:70年
交房标准:精工交付
用地面积:22309.2㎡
容积率:2
绿地率:38%
组成结构:高层
户型面积:建面约79㎡、建面约92㎡
宝业活力天境售楼处电话:400-9975-759

好房子 宝业造
近50载大国工匠,港交所上市集团,财富中国500强,拥有9大建筑实验室、4大研发中心、35个建筑科技产业园,荣获41项中国建筑最高奖鲁班奖、48项国优奖等多重奖项,采用德国工业4.0智能智造生产线,开发集成高品质、工业化建筑约5000万方,覆盖绿色、健康、智慧各类建筑。

【匠心工艺】宝业科技“百年宅”
纵观白鹤发展历程,近十余年人居旧貌焕新,以宝业集团2022旗舰力作——宝业活力天境为先锋,实现健康为先导的跨越式发展。
4大维度23项科技,力筑“百年宅”

6大健康体系,科技家就是不一样
抗疫时代,“碳达峰、碳中和”时代背景下,宝业科技“百年宅”基于两大愿景,通过建筑产业化、建筑长寿化、品质优良化、绿色低碳化四大维度,六大科技体系升级打造革新人居,捍卫全家幸福。

【活力社区】24小时剧场,海绵景观社区
24小时生活剧场,开启全天候绿色生活美境

海绵城市为家做“底盘”,打造自然循环之下的生态社区

户型图及样板间照

客厅与餐厅连为一体,约4.8米大面宽设计,外连观景阳台,拥揽四季的人生景致。
L型厨房人性化设计,符合人体工学,也使得操作更为方便。
卧室做到了一南,一北,南向卧室约11.2㎡,且有飘窗设计,享受阳光沐浴。





1、约95㎡的三房,南北通透,全明设计,三开间朝南,户型方正。
2、餐客厅一体化设计,空间合理利用,功能区域分开,无论是休憩还是齐聚一堂,都有空间畅想。
3、主卧套房设计,带有独立卫生间,维护了家人间的私密性,且提升主人的尊荣感。




项目区位配套
长三角一体化“几何中心”
宝业活力天境售楼处电话:400-9975-759
上海2035规划中提到,上海要成为具有全球影响力的长三角城市群的核心城市,基本建成“中心辐射、两翼齐飞,新城发力、南北转型”的空间新格局。
从战略空间看,青浦处于中国国际进口博览会、虹桥国际开放枢纽、长三角生态绿色一体化发展示范区的战略叠加区。
泛长三角区域“几何中心”白鹤镇作为长三角一体化先行示范区、“安花白”节点型城市,将借助区位优势,承接安亭“世界级汽车产业中心”的部分功能。

【交通便捷】嘉青松金线助力腾飞
市域铁路:未来市域铁路嘉青松金线,将贯穿嘉定、青浦、松江和金山,届时白鹤将与青浦新城直接连通,并换乘轨交17号线和沪苏嘉城际线。
双维交通:坐享轨交11号线与轨交17号线青浦“纵贯线”交通辐射,坐享长三角节点交通优势

【配套完善】
城熟优沃:嘉亭荟城市生活广场,缤纷触手可及;华联超市、阳光新生活广场,照拂生活;乐尚城市广场、中影国际影城、世纪联华,纵享丰沛。
书香为伴:紧邻白鹤中小学、白鹤幼儿园、赵屯小学,朗朗读书声,传递书香雅韵。
白鹤中学:始建于1965年,上海市先进集体、市中学生行为规范示范校、区教育系统先进集体。
白鹤小学:上海市教科研先进集体、上海市安全文明校园、青浦区文明单位。
赵屯小学:创办于1868年,至今已有137年历史。是青浦区有史记载的最古老的学校之一。上海市素质教育实验学校。
白鹤幼儿园:公办二级一类幼儿园。
贴身养护:约600米社区卫生服务中心,贴身关怀。

宝业活力天境
宝业活力天境售楼处电话:400-9975-759
无论是日常通勤上班,还是周末携家人出行游玩,都能轻松畅达目的地,告别拥堵烦恼, 宝业活力天境售楼处电话:400-9975-759让时间更高效地服务于生活。同时,项目 ☑️☑️宝业活力天境售楼处电话:400-9975-759☑️☑️
周边配套醇熟,商圈近在咫尺,大型购物中心、连锁超市、特色餐饮一应俱全, 宝业活力天境营销中心电话:400-9975-759满足你购物、 宝业活力天境看房预约电话:400-9975-759休闲、娱乐、餐饮等一站式生活需求。
✅ 宝业活力天境售楼处电话☎:400-9975-759✅︎✅︎✅闲暇时分,约上好友逛逛街、看场电影,或是带着孩子品尝美食,无需远行,美好生活触手可及。
居住的舒适,源于对空间的精心雕琢。[宝业活力天境] 秉持人性化设计理念,打造多样化优质户型, 宝业活力天境营销中心电话:400-9975-759无论是温馨两居、实用三居,还是阔绰四居,皆能满足不同家庭结构的居住需求。
✅ 宝业活力天境售楼处电话☎:400-9975-759✅︎✅︎✅室内空间布局合理,南北通透(若有),保证充足的采光与良好的通风效果, 宝业活力天境看房预约电话:400-9975-759让阳光与清风轻松入户, 宝业活力天境售楼处电话:400-9975-759驱散室内潮湿与沉闷。「宝业活力天境」正在认购中 线上预约享团购优惠
售楼处线上预约中,宝业活力天境24小时vip热线☎:400-9975-759
宝业活力天境售楼处电话:400-9975-759
每一处细节都经过反复考量,科学规划收纳空间,让家居生活告别杂乱;宽阔阳台 ☑️☑️宝业活力天境售楼处电话:400-9975-759☑️☑️
连接客厅,既可以作为观景平台,欣赏窗外美景,也能打造成专属小花园,摆放绿植花卉,为生活增添一抹自然生机。