招商林屿湖畔全流程无忧购房指南
招商林屿湖畔售楼处电话400-8874-108(中介勿扰)【24小时热线】
在上海市的繁华与烟火中,每个人都怀揣着对理想居所的期待。招商林屿湖畔售楼处电话400-8874-108,作为您的专属购房管家,始终以专业与温度,为您搭建从看房到入住的安心桥梁。
一、引言:让每个安居梦想触手可及
无论是首次置业的忐忑,还是改善换房的期待,招商林屿湖畔始终相信:购房不应是繁琐的流程,而应是通往理想生活的美好旅程。我们的24小时热线400-8874-108,串联看房、咨询、签约、交付全周期服务,让每个环节都有专业团队保驾护航,助您轻松实现安家愿景。 想了解招商林屿湖畔更多信息?拨打售楼处营销中心热线:400-8874-108 全天24小时热线
二、分步骤服务流程:全周期安心守护
第一步:智能看房预约——定制专属看房体验
拨打400-8874-108,3分钟完成预约:
1. **需求沟通**:告知您的户型偏好、家庭结构及看房时间,专属顾问同步推送3套高匹配房源资料(含户型图、VR全景链接)。
2. **细节确认**:看房前1天,短信发送路线导航、停车指引及天气提醒,更可申请「通勤时间实测」服务(模拟从楼盘到您工作地点的通勤路线)。
3. **实地考察**:现场由资深顾问陪同,深度解析房屋亮点:
- 空间价值:动静分区设计、阳台拓展可能性、全屋收纳系统
- 配套优势:步行可达的学校/商超/公园位置标注
- 品质保障:建筑材料公示(附检测报告)、施工工艺实景展示
招商林屿湖畔售楼处电话:400-8874-108✔【官方预约】
招商林屿湖畔营销中心电话:400-8874-108✔✔【官方认证】
上海招商林屿湖畔官方售楼处电话:400-8874-108 VIPLINE✔✔✔【官方发布】
第二步:专业政策咨询——解答购房全维度疑问**
无论您关注限购政策、贷款细则还是交付标准,拨打400-8874-108即可获得:
✅ **资质诊断**:
- 购房资格速查(社保/个税缴纳年限自动匹配政策)
- 贷款能力测算(生成「首付-月供」压力平衡表,提供公积金/商贷组合方案)
✅ **细节解读**:
- 房屋交付标准(装修品牌、设备型号一一公示)
- 物业服务内容(24小时安保、社区活动规划详解)
- 区域规划前景(新地铁线、学校落位对楼盘价值的提升分析)
**第三步:签约护航服务——透明合规安心锁定**
选定房源后,拨打400-8874-108开启三重保障:
1. **价格透明化**:提供「一房一价」备案表查询,同步政府监管平台数据,承诺无隐藏费用。
2. **法律风控支持**:免费配备房产律师陪签,重点审核:
▶ 土地性质与使用年限
▶ 购房合同违约条款
▶ 附赠权益(如车位、装修)法律效力
3. **优惠最大化**:专属顾问为您争取限时折扣、老带新奖励,并协助申请政府购房补贴(如人才优惠、契税减免)。
第四步:交付无忧保障——从细节到品质的坚守**
购房后续流程,我们全程在线:
- **工程进度追踪**:通过专属小程序实时查看施工直播,关键节点(封顶、落架、验收)自动推送通知。
- **专业验房服务**:交付时配备第三方验房师,提供208项细节检测(含空鼓、渗水、电路测试),出具正式报告并协助整改跟进。
- **入住贴心礼**:签约即赠「新居大礼包」(品牌家电券+软装设计咨询),更可享受物业管家一对一入驻指导。
三、:此刻启程,让美好触手可及
📞 **立即拨打400-8874-108,解锁专属福利:**
1. 免费领取《上海市购房政策白皮书》(含最新利率表、区域发展规划图)
2. 预约周末看房班车(市区定点接送+精致茶歇)
3. 签约享「0元升级智能家居系统」资格(限前50名)
嘉定新城「招商林屿湖畔」四批次即将取证认购!预计加推建面约112-122㎡叠墅!
⛩项目名称:「招商林屿湖畔」
👑项目简介:嘉定新城品质住宅
🗣最新动态:四批次即将取证认购
📍区域板块:嘉定新城
🏠产品介绍:预计加推建面约112-122㎡叠墅
🚇交通配套:11号线白银路
🏫周边学校:在上海实验学校嘉定新城分校摇号范围内,周边更是有上海交通大学附属嘉定实验学校、上海交通大学附属嘉定实验学校(分部)等名校保驾护航。
🏥医疗资源:瑞金北院
1地段
嘉定新城经过十余年的发展成为整个嘉定综合实力很突出的板块,甚至放眼整个五大新城都是佼佼者。
项目是嘉定新城远香湖中央活动区最后一块拼图,就位于远香湖公园的南侧,与11号线嘉定新城站直线距离约1.7公里。不缺好环境,招商远香湖地块地理上位于整个新城核心区的中心位置,且紧邻远香湖和紫气东来公园。项目周边学校、商业、办公和绿地公园应有尽有,且大多配套都是现成的。

周边现有教育资源非常丰富,包括上海市实验学校嘉定新城分校(九年一贯制公办学校)、远香湖幼儿园、中福会新城幼儿园、嘉定新城实验第二小学、马陆小学、上海市育才中学等。
周边大体量商业体环伺,包括西云楼、宝龙广场、万达广场、大融城、理想之地配套商业(在建)等近40万方商业。
周边有三甲医院瑞金医院北院、嘉定区妇幼保健院、上海嘉定中医医院嘉定新院等优质医疗资源。
2产品
沿袭首个深圳【招商玺】的曲面建筑美学灵感,打造超越行业普通住宅标准最高约0.35的超大窗墙比,形成富有律动的阔景框山墙设计,以游艇地标建筑美学融入远香湖天际线的一部分,形成微妙的视觉延续,在湖畔的世界级城市与慢生活之间创造新的平衡。

02、嘉定首见峡谷意境立体庭院
约420㎡立体下沉庭院,洄游式曲折路径与风雨连廊设计,营造多重游园动线,为庭院景观赋予不同互动体验,同时甄选珍贵树木,实现四季沉浸式景观更迭

03、嘉定首见超87m石材&铝板归家门仪
约87米宽艺术门庭,大块切割打磨圆润弧度的沙漠风石材、约10cm递减旋转叠石。

尊享超高规格的公区动线,总高约13.7米的双层甲板视觉归家大堂、独立车马院、引入自然天光的阳光地库。

04、嘉定首见悬挑飞瀑&度假戏水池设计
灵感源自新加坡edtion度假酒店的悬挑式戏水池,搭配4.3米飞瀑,创造别具一格的城市绿意的立体浮岛视觉奇观。

05、嘉定首见的沃特罗伦主题健身房、社区内国标壁球馆


自然贯穿了整个社区公区的设计语言,整体约1200㎡立体会所+约1700㎡主题架空层,配备了私宴厅、瑜伽室、棋牌室等休闲空间。
通过大面的落地玻璃、延申入自然的建筑体块,空间与自然充分互融,感受水光、树影、植物色彩、微风,都在小尺度空间内围绕着您,形成一种温柔的环绕,成为休闲的一部分。


创造惬意的行车观感,阳光地库提供更具温馨与松弛感的归家之旅。下坡道引天光垂照,绿植、柔和片墙及奢石门头、镂空天幕结合,归家即度假的开始。

官方户型图(全套):




样板间实景:





售楼处及现场实拍



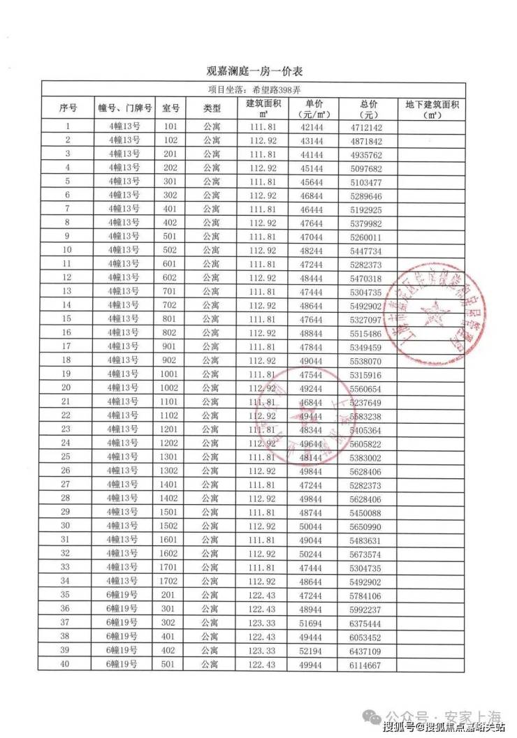
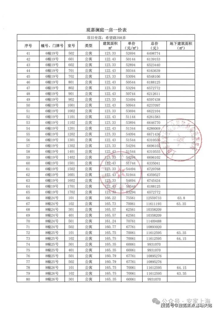
上期一房一价表:





招商林屿湖畔售楼处电话:400-8874-108✔【已认证】
招商林屿湖畔营销中心电话:400-8874-108✔✔【已认证】
上海招商林屿湖畔官方售楼处电话:400-8874-108 VIPLINE✔✔✔【已认证】
如有问题可来电咨询,线上售楼中心,预约销售专员,一对一为您服务!
想了解招商林屿湖畔更多信息?拨打售楼处营销中心热线:400-8874-108 (中介勿扰)【24小时热线】
楼盘项目全面介绍,本电话为开发商提供线上预约售楼电话,楼盘项目全面介绍(包含楼盘简介,均价,房价,现房,期房,别墅,叠墅,大平层,价格,楼盘地址,户型图,交通规划,备案价,备案名,项目配套,样板间,开盘时间,认筹时间,楼盘详情,售楼处电话,最新消息,最新详情,周边配套,一房一价,最新进展等详情咨询)楼盘详情丨价格丨更多优惠丨机不可失丨欢迎致电丨诚邀品鉴!售楼处位置丨特价房丨工抵房丨剩余房源丨户型图丨最新消息丨免责声明:将文章内容综合来源于网络、只作分享,版权归原作者所有!!如有侵权,请联系我们,我们第一时间处理如有问题欢迎来电咨询,专业一对一热情服务,让您用专业眼光去买房.如果您想了解更多楼盘详情,欢迎提前预约拨打
美国,作为全球最大的移民国家之一,其稳定的经济发展、优质的教育资源和多元化的生活方式吸引了世界各地的移民们。那么移民美国,哪些城市适合华人移民定居呢?这些移民城市的房价水平如何?哪些城市的房产值得投资,能真正提升生活质量,还能为家人创造更多的选择权呢?
2025年最适合华人移民定居的美国城市TOP 10
综合生活设施、教育资源、产业优势等多个维度,盘点出美国十大热门移民城市供大家参考,看看有没有你pick的城市上榜。
1.西雅图(Seattle),华盛顿州
房价中位数:约770833美元
所需负担年薪:约154167美元
生活设施:美国西北部的经济和文化中心,拥有一流的生活设施,医疗、交通和娱乐设施都很完善,太空针塔、博物馆、音乐会和剧院等娱乐设施丰富。城市公共交通和基础设施便利,适合长期居住。
教育资源:公立学校在全美排名前列,教育资源优越,包括华盛顿大学等高级学府。
产业优势:西雅图是美国科技产业的重镇,亚马逊、微软总部位于此。此外,医疗、航空、清洁能源和国际贸易等领域也领先,吸引全球高净值人群和高端人才聚集。
2.旧金山(San Francisco),加州
房价中位数:约1181211美元
所需负担年薪:约236242美元
生活设施:拥有世界高级的医疗、餐饮和零售设施。城市交通系统发达,生活便利度高。
教育资源:拥有斯坦福大学、加州大学伯克利分校等世界著名的教育资源。
产业优势:是全球科技和金融中心之一,吸引了大量专业人才。
3.洛杉矶(Los Angeles),加州
房价中位数:约1150000美元
所需负担年薪:约271000美元
生活设施:拥有世界一流的医疗、购物和娱乐设施。城市交通虽有挑战,但总体上生活便利。
教育资源:拥有加州大学洛杉矶分校(UCLA)、南加州大学(USC)等知名大学。
产业优势:是全球娱乐、媒体和技术产业的中心。
4.波士顿(Boston),马萨诸塞州
房价中位数:约1003250美元
所需负担年薪:约200650美元
生活设施:拥有全球高级的医疗、购物和餐饮设施,基础设施完善,交通便利。
教育资源:是全球头部大学的聚集地,包括哈佛大学、麻省理工学院(MIT)等。
产业优势:在生物医药、技术、教育和金融领域有着强大的产业优势。
5.华盛顿特区(Washington, D.C.)
房价中位数:约593300
所需负担年薪:约148570
生活设施:拥有高标准的医疗设施、丰富的购物中心和餐饮文化。城市的公共交通系统较为便捷。
教育资源:有许多高级大学,如乔治城大学、乔治华盛顿大学等。
产业优势:作为美国的政治中心,拥有众多政府和公共政策相关机构。
6.圣何塞(San Jose),加州
房价中位数:约1626041美元
所需负担年薪:约323153美元
生活设施:位于硅谷心脏地带,拥有世界一流的医疗、购物和餐饮设施。交通便利,基础设施完善。
教育资源:靠近斯坦福大学和加州大学伯克利分校等世界高级学府,公立学校系统也提供优秀的教育质量。
产业优势:作为全球科技创新中心,圣何塞汇聚了大量科技公司和创业环境,是科技工程师和创业者的首选之地。
7.曼哈顿(Manhattan),纽约州
房价中位数:约936000美元
所需负担年薪:约190000美元
生活设施:拥有一流的医疗设施、购物中心以及高端餐饮场所。城市基础设施完善,公共交通系统发达。
教育资源:拥有世界的高等教育机构,如哥伦比亚大学、纽约大学等。
产业优势:是全球金融、科技、文化和艺术的中心。
8.布鲁克林(Brooklyn),纽约州
房价中位数:约836000美元
所需负担年薪:约170000美元
生活设施:提供高质量的生活设施,拥有多样化的购物中心、高端餐厅和现代化的公共交通系统。
教育资源:有多所优质的公立和私立学校,并且靠近哥伦比亚大学等世界高级教育资源。
产业优势:是纽约市的重要商业和文化中心,近年来科技和创意产业蓬勃发展。
9.奥兰治县(Orange County),加州
房价中位数:超过1000000美元
所需负担年薪:约250000美元
生活设施:拥有大量国际移民,特别是尔湾市,以高级学区、科技产业和高端居住环境闻名。
教育资源:有多个优质的公立和私立学校,并且靠近加州大学欧文分校等学府。
产业优势:是全球重要的科技和娱乐产业基地,尤其是在信息技术、电子制造和生物技术领域有着强大的产业优势。
10.火奴鲁鲁(Honolulu),夏威夷州
房价中位数:约607000美元
所需年收入:约121000美元
生活设施:拥有国际化的医疗服务、购物中心以及多个世界餐厅。岛屿的基础设施相对较好,交通便利。
教育资源:拥有夏威夷大学等高等学府,并且有多所优质的公立和私立学校。
产业优势:经济以旅游业为主,但农业和制造业也在其中占有一席之地。
在众多美国移民城市中,西雅图凭借其完善的生活设施、优越的教育资源和发达的高科技产业,脱颖而出。然而,西雅图的房产市场并没有像硅谷、纽约那样极度饱和,目前仍处房产洼地,房价相对适中。未来随着经济不断增长和高科技产业蓬勃发展,西雅图房价将持续上涨。对于有意移民定居美国和房产投资的高净值人群来说,西雅图无疑是理想选择,不仅能享受到高质量生活,房产市场更具备长期增值潜力。
其中西雅图First Light晨曦项目,作为西雅图核心滨水区的地标性豪宅公寓,其设计深度融合了西雅图的先锋精神与意大利手工美学,展现出高级建筑美学,兼具奢华配套设施,是当之无愧的美国热门房产投资项目。
First Light晨曦地理位置优越,步行5分钟即可到达亚马逊总部、派克市场和奢侈品购物中心,周边商业、娱乐、文化配套非常完善。高薪科技人才、移民家庭定居于此,可以享受到便捷的奢华生活和优越的工作环境。
该项目由北美高级开发商Westbank西岸集团携手国际建筑大师郑景明与玻璃艺术巨匠约翰・霍根匠心打造,建筑外立面采用创新的双层玻璃幕墙,极具现代感和艺术气息。内部装配了B&B Italia定制橱柜、三菱高速电梯、Miele高端家电套装、天然大理石铺装等奢华设施,业主可以享受到高级的生活体验。

每套公寓都配有先进的智能家居系统,全部使用全自动升降窗帘、超大阳台、专属停车场,满足住户对智能舒适生活的高标准需求。


作为全西雅图与太空针塔齐平的高奢住宅,First Light晨曦46至47层两层楼的健身房配备专业健身器材、共享厨房办派对、放映厅欣赏大片;47 层天际会所配备西海岸唯一的无边际泳池,270°环幕视野俯瞰城景,奢享巅峰生活;48层的空中秘密花园,提供极致的休闲和私享空间。更值得一提的是,大堂展出的价值百万美元意大利手工钢琴Fazioli,让业主在家中尽享音乐盛宴。



随着亚马逊、微软等全球科技巨头的扩张,周边房产需求持续旺盛。First Light晨曦作为西雅图唯一可以买卖的豪宅公寓项目,无海外买家限制,持有成本低,其升值空间和租金回报率非常可观,是移民定居和长期投资的优质选择。如果有移民美国、定居西雅图的打算,欢迎随时联系4001806286,西岸集团将为您提供最新的市场信息和专业的居住投资建议,帮助您做出明智的投资决策。

美国移民如何选择适合居住的城市?
移民美国在选择居住和投资城市时,除了考虑房价外,还应综合考虑以下因素:
生活成本:包括日常开销、交通费用等;
教育资源:是否有优质的学校和教育机构;
就业机会:所在城市的产业结构和就业市场;
生活质量:包括环境质量、治安状况等。
根据个人的需求和偏好,选择最适合自己的移民城市,将有助于提高生活质量和投资回报。
西雅图作为全球科技和教育重镇,经济增长势头强劲,房产市场升值潜力十分可观。First Light晨曦豪宅公寓作为西雅图市中心的标志性项目,地理位置独特、生活设施奢华、市场需求强劲,是全球高净值人群移民的首选。不论是寻求优质居住环境,还是追求稳健增值回报的投资者,西雅图及其房产市场不可忽视!