中国铁建·西派云间售楼处首页 - 销售中心 - 环境 - 户型 - 价格 - 地址 - 楼盘详情 - 配套 - 电话 - 交房时间 - 配套 - 电话

嘉峪关楼市发布

2026-01-13 16:29:58

购房群

买房如何避坑,加入购房群,看看他们怎么说

立即进群

松江新城迭新封面

「中国铁建·西派云间」认购中!

加推96套约125-148㎡小高层

&建面约155-160㎡4层叠墅

均价5.7万/㎡!认购金30万!

认购时间:12月10日-12月14日

中铁建西派云间售楼处电话:400-8894-986VIP24小时官方热线

往下阅读项目一房一价表!

中铁建西派云间售楼处电话:400-8894-986VIP24小时官方热线

8月25日重磅新政正式落地:外环外全面解除限购,仅需一年社保即可购房。 闸门一开,新生购买力即将席卷外环,但并非每一块土地都能稳稳承接——唯有真正的“六边形战士”,才有机会尽收红利。

在上海新城群像中,多数板块仍有残缺,规划、生态、教育、产业往往顾此失彼,需要漫长的“补课”。 唯有松江新城,天生带着上海最完整的基因:数千年的广富林文明为它打下无法复制的城市底盘。更难得的是,它并未躺在过去之上。

中铁建西派云间售楼处电话:400-8894-986VIP24小时官方热线

G60科创走廊已写入《长三角一体化发展规划纲要》,而松江正是这条时代动脉的起点与龙头。

中铁建西派云间售楼处电话:400-8894-986VIP24小时官方热线

G60科创走廊 来源网络

再造一座新城或许不那么难,但再造一个松江新城却绝无可能——历史、山水、学府、产业在此一次性集齐,不可复制的过去与澎湃可期的未来,在此叠合为一。

这样的松江新城,配得上一个豪宅级的标杆楼盘。

中铁建西派云间售楼处电话:400-8894-986VIP24小时官方热线

中铁建西派云间售楼处电话:400-8894-986VIP24小时官方热线

松江新城,正是常年居于上海二手房成交量榜首的“全能冠军”,其碾压式的领先实力早已被市场反复验证。

而在松江新城,值得把目光锁定的新盘,唯有「西派云间」。

中铁建西派云间售楼处电话:400-8894-986VIP24小时官方热线

中铁建西派云间售楼处电话:400-8894-986VIP24小时官方热线

最新消息!上海整个外环最高规格的壹号作品【中国铁建・西派云间】加推96套约125-148㎡小高层&建面约155-160㎡4层叠墅;均价5.7万/㎡!认购金30万!认购时间:12月10日-12月14日;售楼处线上火热预约中!

一房一价表如下:

中铁建西派云间售楼处电话:400-8894-986VIP24小时官方热线

中铁建西派云间售楼处电话:400-8894-986VIP24小时官方热线

中铁建西派云间售楼处电话:400-8894-986VIP24小时官方热线

中铁建西派云间售楼处电话:400-8894-986VIP24小时官方热线

前期少量建面约104-125-148㎡3+X房(小高层)过会均价54026元/m²!目前,104户型售罄,仅少量125及148户型在售,总价616万起!

久违的产品力盛事,不断吸引各方客户纷纷到访参观,一众媒体与行业人士齐聚,共同见证松江人居的全新突破。

中铁建西派云间售楼处电话:400-8894-986VIP24小时官方热线

中铁建西派云间售楼处电话:400-8894-986VIP24小时官方热线

中铁建西派云间售楼处电话:400-8894-986VIP24小时官方热线

中铁建西派云间售楼处电话:400-8894-986VIP24小时官方热线

项目户型图如下:

中铁建西派云间售楼处电话:400-8894-986VIP24小时官方热线

中铁建西派云间售楼处电话:400-8894-986VIP24小时官方热线

中铁建西派云间售楼处电话:400-8894-986VIP24小时官方热线

中铁建西派云间售楼处电话:400-8894-986VIP24小时官方热线

中铁建西派云间售楼处电话:400-8894-986VIP24小时官方热线

中铁建西派云间售楼处电话:400-8894-986VIP24小时官方热线

中铁建西派云间售楼处电话:400-8894-986VIP24小时官方热线

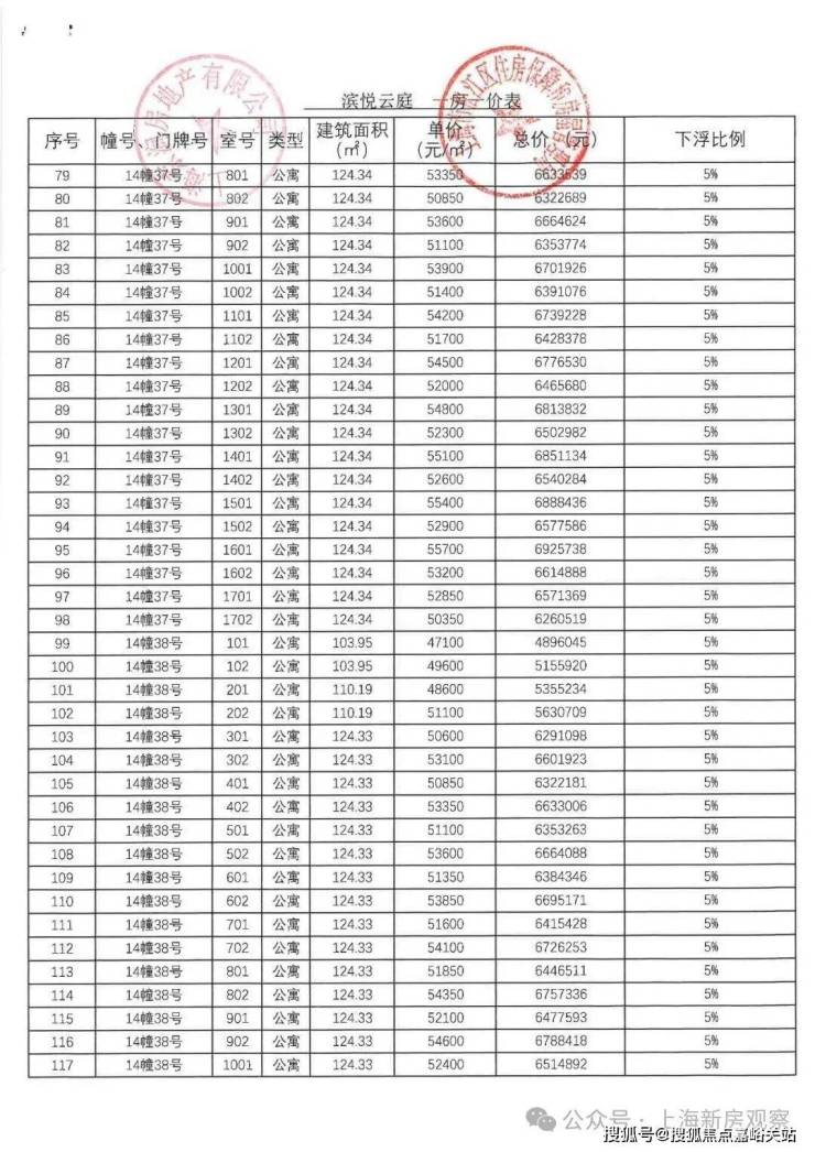
上期一房一价表如下:

中铁建西派云间售楼处电话:400-8894-986VIP24小时官方热线

中铁建西派云间售楼处电话:400-8894-986VIP24小时官方热线

中铁建西派云间售楼处电话:400-8894-986VIP24小时官方热线

中铁建西派云间售楼处电话:400-8894-986VIP24小时官方热线

中国铁建以远超市面标准的投入,于产品设计、选材营造等环节倾注心力,打造了一个匹配新城核芯地位的品质标杆。

中铁建西派云间售楼处电话:400-8894-986VIP24小时官方热线

整个项目有几个颠覆性的设计,跟大家分享下:

约2000㎡奢装会所。 西派云间约2000㎡的超大规模双下沉庭院艺术会所,是氛围与功能的极致融合。

首先,会所的入口设计奠定了整个空间的艺术基调。 实景中,地面常采用 天然石材的拼花工艺 ,不同色调的石材精准对缝,形成简洁而富有层次的几何图案,彰显低调的仪式感。

中铁建西派云间售楼处电话:400-8894-986VIP24小时官方热线

中铁建西派云间售楼处电话:400-8894-986VIP24小时官方热线

中铁建西派云间售楼处电话:400-8894-986VIP24小时官方热线

上方悬垂的 艺术吊灯 并非一味追求宏大,而是更注重造型的现代感与光影的层次,光线柔和地洒下来,营造出静谧、高级的氛围。

中铁建西派云间售楼处电话:400-8894-986VIP24小时官方热线

我们实在一点说,外部配套中大家更看重的无非就是交通、商业、教育以及绿化公园。而这些配套,中国铁建西派云间的表现真的堪比市区。 中铁建西派云间售楼处电话:400-8894-986VIP24小时官方热线

中铁建西派云间售楼处电话:400-8894-986VIP24小时官方热线

我们先来看步行范围内的配套:

中铁建西派云间售楼处电话:400-8894-986VIP24小时官方热线

中国铁建·西派云间距离松江万达仅约850米, 旁边还有五龙商业广场、三迪曼哈顿、富悦财富中心、凯悦酒店、中展马利来等众多商业资源。目前已有的商业规模就已达约60万方,亲子、购物、聚餐、看电影...日常需求统统能在步行范围内得到满足,这个成熟度真的堪比。 中铁建西派云间售楼处电话:400-8894-986VIP24小时官方热线

中铁建西派云间售楼处电话:400-8894-986VIP24小时官方热线

中铁建西派云间售楼处电话:400-8894-986VIP24小时官方热线

教育上, 项目约100米外一路之隔就是12年一贯制的上外云间学校。软实力上,这所学校当初的建设总投资约8亿元,是松江迄今为止投资总量更大、设计标准更高、设施配套更全的学校。硬实力上,上外系的学校在松江几乎都是梯队内的标杆学校,实力之强有目共睹。 中铁建西派云间售楼处电话:400-8894-986VIP24小时官方热线

中铁建西派云间售楼处电话:400-8894-986VIP24小时官方热线

除此之外,南侧不远处还有赫贤双语学校(原赫德双语学校),补充了国际教育需求。(预售房屋不划分学区,项目周边学校等教育资源的介绍仅为提供相关信息参考,开发商不对项目交房后所属学区、学校做任何承诺,教育资源分配或学校/学区划分以及学校的具体招生规则等请以政府相关主管部门、教育机构公开的最新信息为准。)

中铁建西派云间售楼处电话:400-8894-986VIP24小时官方热线

生态上: 项目步行范围内就有一座五龙湖公园,约16公顷的广阔面积,与约5.9公里的绿道长度相得益彰。湖畔风光旖旎,很适合早上晨练,晚饭后散步,居住环境优美。

中铁建西派云间售楼处电话:400-8894-986VIP24小时官方热线

中铁建西派云间售楼处电话:400-8894-986VIP24小时官方热线

最后,来重点聊一下交通:从项目出发,经T2电车直达9号线松江大学城站。 上车后,业主6站七宝、9站漕河泾,并且能轻松畅达徐家汇、打浦桥等浦西区域。除此之外,1站就能换乘即将通车的12号线西延伸段,即可畅达莘庄、徐汇滨江、南京西路。 中铁建西派云间售楼处电话:400-8894-986VIP24小时官方热线

中铁建西派云间售楼处电话:400-8894-986VIP24小时官方热线

除了轨交外最值得一提的是项目的自驾: 距离项目直线约900米的沪松快速路,预计2028年通车。

中铁建西派云间售楼处电话:400-8894-986VIP24小时官方热线

这条快速路链接着通往市区的外环、中环以及漕宝路快速路; 通往虹桥以及闵行南部的嘉闵高架;还有直插浦西腹地的烫金大动脉延安高架。未来,沪松快速路+漕宝路快速路+中环/外环去往前滩、世博;沪松快速路+外环+延安高架去静安寺、南京西路等浦西核心;沪松快速路+嘉闵高架直通虹桥机场。...

中铁建西派云间售楼处电话:400-8894-986VIP24小时官方热线

中铁建西派云间售楼处电话:400-8894-986VIP24小时官方热线

也就是说,只需零星几个红绿灯,西派云间的业主就可以一脚油门直达浦西、浦东等大多数的核心CBD。再加上已然成熟的顶级繁华和就连市区都不曾拥有的高端生态居住环境。西派云间的地段和配套,就是外环TOP级的存在。

中铁建西派云间售楼处电话:400-8894-986VIP24小时官方热线

中铁建西派云间售楼处电话:400-8894-986VIP24小时官方热线

松江新城「中国铁建·西派云间」加推约125-161㎡墅区藏品!均价5.7万/m²!

全部

相关资讯

报名成功
稍后会有专业的置业顾问联系您
返回楼盘

频道导航

返回首页

看房小程序

APP下载

电话拨通后,请您手动拨打分机号

确定拨打电话

电话号码:

分机号:(可能需要拨分机号)