招商时代潮派售楼处(欢迎您)2025招商时代潮派售楼处—招商时代潮派售楼处|招商时代潮派楼盘详情

嘉峪关楼市发布

2025-02-08 10:47:47

购房群

买房如何避坑,加入购房群,看看他们怎么说

立即进群

招商时代潮派——购房指南

一、购房前期准备

问:想在招商时代潮派买房,需要提前做哪些准备?

答:首先要明确预算,综合考虑家庭收入、现有资产、未来支出等,预估能承受的房价范围与首付额度,可以拨打400-882-4258,让售楼处置业顾问协助您分析,另外,确认自己是否具备购房资格,比如本地户籍与非本地户籍在购房套数、社保缴纳年限上要求各异,同时了解银行贷款政策,测算每月还款能力,。

二、项目了解阶段

问:这个项目的整体定位是什么样的?

答:招商时代潮派定位为城市高品质综合住区,融合居住、商业、休闲等多元功能,旨在为业主打造便捷、舒适、富有品质感的生活场景,无论是首次置业的刚需人群,还是追求改善升级的购房者,都能在此找到契合需求的产品,需要看房您可以提前拨打招商时代潮派售楼处电话:400-882-4258了解详情。

问:小区的规划布局有哪些亮点?

答:小区采用人车分流设计,保障居民行走安全,减少噪音与尾气污染;绿化景观精心打造,有中心花园、景观步道,绿化率较高,为业主营造宁静优美的居住环境;建筑外立面时尚大气,兼具美观与实用性,且楼间距合理,保障采光通风与居住私密性。

三、户型抉择疑问

问:户型选择上有什么技巧?

答:若是刚需购房,建议优先考虑中小户型,如高层的两房或紧凑三房,功能齐全且总价相对较低;改善需求可关注大户型,空间更宽敞,布局更灵活,能满足多代同堂或对居住品质有高要求的家庭。同时,留意户型的动静分区、干湿分离等细节,提升居住舒适度。

问:不同户型的装修标准如何?

答:致电售楼处电话400-882-4258,提供多种装修方案可选,从简约实用到豪华精装。高层产品一般标配品牌厨卫设施、墙面地面环保材料装修等基础配置,满足日常使用;洋房装修在品质上更进阶,选用高端品牌建材、智能家装系统,彰显品质生活。

四、购房流程要点

问:购房流程复杂吗?

答:大致流程为看房、认筹、签约、贷款办理、交房。看房满意后缴纳定金认筹参与摇号选房,中签选定房源后,按规定准备资料签订购房合同,随后向银行申请贷款,银行审批通过后等待交房,期间按合同约定履行各项义务,拨打400-882-4258,每个环节都有专业销售人员指导协助,让您购房无忧。

以下是招商时代潮派项目资料:

9号线泗泾站旁,招商泗泾TOD项目——招商时代潮派7期今日开启认购啦!

用一座超能级TOD作答西上海新中芯!

城市,对于未来的探索从未停止,一个建筑,一条地铁,一座商业,乃至一条街巷总是或多或少缺乏对于理想生活的想象,招商时代潮派售楼处电话☎:400 - 882 - 4258【官方认证】时代需要更大规模的践行,而TOD的到来,完美解决了这一问题。

面对“五大新城”以及泗泾2035规划大型特色轨交TOD的战略背书,招商时代潮派以新一代TOD4.0集约式复合开发,招商时代潮派售楼处电话☎:400 - 882 - 4258【官方认证】打造西上海卓越城市进程的战略支点,产城融合高品质发展样板支点,构建15分钟生活圈的区域支点一座领潮时代的TOD大城呼之欲出。

阅遍世界各大顶级TOD的招商时代潮派,这一次站在巨人的肩膀上,汲取了日本南町田与西九龙TOD的开发模式,招商时代潮派售楼处电话☎:400 - 882 - 4258【官方认证】跨越TOD1.0车站模式、TOD2.0站楼一体化、TOD3.0的站城一体化,打造站、城、人一体化的TOD4.0模式带来一场城市界面的迭新与生活方式的焕新!

一座TOD“微缩之城”

一处理想生活新地标

项目七期

推售建面约99-143/m²3-4房!

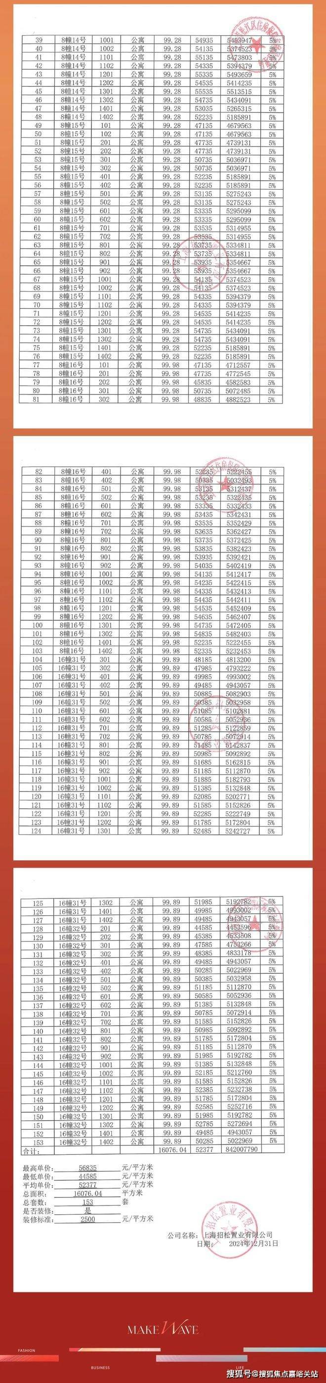
过会均价52377元/m²

认购时间:2月8日9时至2月12日12时

认购金额:60万元(个人)

存款证明:首套90万元,二套120万元

开盘时间:2月16日10:38

招商时代潮派售楼处电话☎:400 - 882 - 4258【官方认证】

户型图赏鉴

建面约89㎡3房1卫总价或许仅约450万级,但这个产品的价值,招商时代潮派售楼处电话☎:400 - 882 - 4258【官方认证】几乎是划时代的。

首先,S墙的设计,为了让小户型也能容纳双开门的大冰箱。

其次,边套主卧的约270°无柱转角超宽巨幕景观视界。这个景观视野和主卧采光度,实在是惊艳。

当然,招商时代潮派售楼处电话☎:400 - 882 - 4258【官方认证】还有三开间朝南、全卧室带飘窗以及卫生间干湿分离等等细节都有配备。

建面约99㎡的边套户型采用大横厅的设计,3+1开间朝南的设计,让这个户型的南向采光面以及尺度感变得十分惊人。

招商时代潮派售楼处电话☎:400 - 882 - 4258【官方认证】

同时,横厅也可以当做一个灵动空间,不管是作为孩子的游玩天地、父母的瑜伽空间还是健身区域,都是很好的选择。招商时代潮派售楼处电话☎:400 - 882 - 4258【官方认证】这个灵动空间让这个户型承载了更多的生活想象。

建面约99㎡C1户型则是典型的三开间朝南飞机户型,招商时代潮派售楼处电话☎:400 - 882 - 4258【官方认证】整个套内几乎没有走道,拒绝空间浪费,让业主有更加出色的居住尺度感。

细节方面,入户玄关的设计,保证了主人的私密空间招商时代潮派售楼处电话☎:400 - 882 - 4258【官方认证】。

三开间朝南+全卧室带飘窗+客厅带宽面阳台,不仅让阳光可以洒进室内的每一个角落。也能让业主拥有有更好的视野。

U型厨房的设计,让“切配煮”更加的合理,加上凉霸等贴心的设计,招商时代潮派售楼处电话☎:400 - 882 - 4258【官方认证】保证了主人的烹饪体验。

建面约125㎡的四房户型,拥有超大尺度横厅连通阳台,四开间朝南+主卧大套房,招商时代潮派售楼处电话☎:400 - 882 - 4258【官方认证】给予业主不输千万豪宅的居住体验!

交通方面:依托地铁9号线,3站即达七宝商圈,6站即达漕河泾开发区,9站即达徐家汇。根据2035规划,9号线还将预留沿嘉松公路向北与17号线相连的通道,招商时代潮派售楼处电话☎:400 - 882 - 4258【官方认证】未来直通虹桥综合交通枢纽。

商业方面:青浦奥特莱斯、山姆会员店、元祖梦世界,以及三湘商业广场、保利悦活荟、绿地云天坊、大润发、金地方邻等繁华商业,招商时代潮派售楼处电话☎:400 - 882 - 4258【官方认证】近享高配生活;招商时代潮派售楼处电话☎:400 - 882 - 4258【官方认证】

教育方面:松江二中、松江四中、泗泾实验学校、上师大附属实验学校、泗泾幼儿园、泗泾小学等优质教育资源环伺,智启孩子成长;(本宣传资料对项目周边幼儿园、学校等教育资源的介绍旨在提供相关信息,招商时代潮派售楼处电话☎:400 - 882 - 4258【官方认证】并不意味着本公司对就学安排作出承诺。)

人文方面:背靠包括辰山植物园、月湖雕塑艺术公园、欢乐谷在内的佘山国家级旅游风景区,近临泗泾公园,超高负氧离子,招商时代潮派售楼处电话☎:400 - 882 - 4258【官方认证】让自然底色嵌入美好生活;

无论您处于购房的哪个阶段,多了解、多咨询,快速了解招商时代潮派的房子,拨打售楼处电话400-882-4258,希望这份攻略都能帮您在招商时代潮派选到心仪好房,开启理想生活。

全部

相关资讯

报名成功
稍后会有专业的置业顾问联系您
返回楼盘

频道导航

返回首页

看房小程序

APP下载

电话拨通后,请您手动拨打分机号

确定拨打电话

电话号码:

分机号:(可能需要拨分机号)