——虹桥灿耀星城——
虹桥灿耀星城售楼处电话:400-8874-108✔【最新预约】
虹桥灿耀星城营销中心电话:400-8874-108✔✔【最新认证】
上海虹桥灿耀星城官方售楼处电话:400-8874-108 VIPLINE✔✔✔【最新发布】
如有问题可来电咨询,线上售楼中心,预约销售专员,一对一为您服务!
想了解虹桥灿耀星城更多信息?拨打售楼处营销中心热线:400-8874-108 (中介勿扰)【24小时热线】
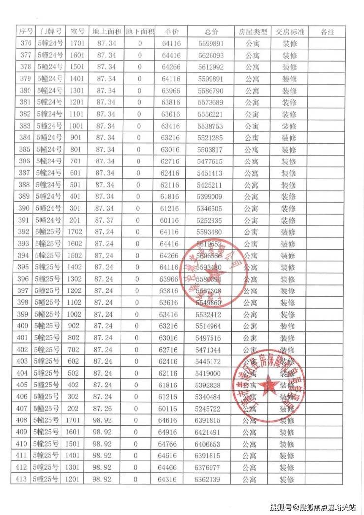
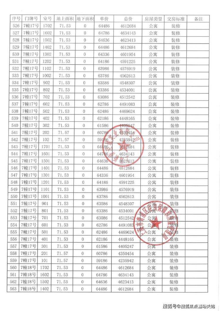
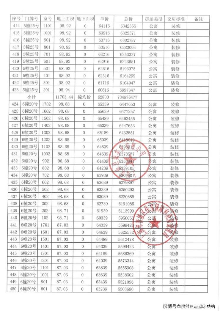
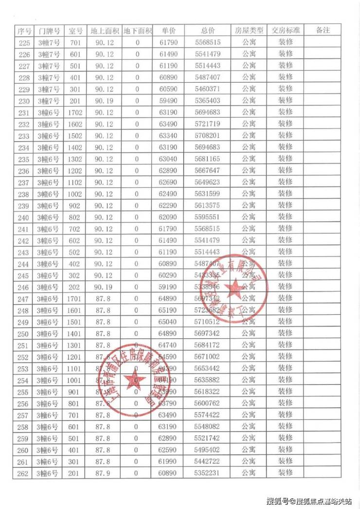
三期住宅基本信息
物业类型:高层住宅
建筑楼层:17层
推售套数:627套
得房率:约74%-78%
建筑层高:约3.15米
梯户比:两梯四户
交付标准:精装修交付,全部采用知名品牌
公共区域+卧室:日立中央空调、德国威能热水器、全屋地暖、新风系统,博世智能门锁,入户玄关柜、实木复合地板、low-E三玻两腔内置百叶窗
厨房:老板油烟机、灶台、洗碗机,海德泰克净水器,松下凉霸,厨柜组合
卫生间:TOTO智能马桶(卫洗丽)、toto台盆、高仪龙头花洒,松下暖风机,摩恩小五金,镜柜组合
阳台:电动晾衣架
所有装修品牌最终以预售合同为准!
交房时间:2024年
车位比:约1:1
小区采用人车分流设计
开发商:上海新徐泾城实业有限公司
物业:灿俊星城物业有限公司
物业费:4.05元/平/月
容积率:2.3
绿化率:35%

项目外立面是现代简约风格, 采用三段式经典格局,让整个建筑立面透出明快简洁、但又富有朝气,打造的是高质轻奢社区。

项目效果图


项目效果图
社区方面景观方面,项目以现代手法结合传统精髓的创新设计与纯净的星空相互融合, 将建筑、文化、艺术与景观完美交融。筑造出星阙、星荟、星野、星际、星云、星河六大盛境,营造中央景观 “景阔似海、品如繁星”的高品质人居环境。




项目还是智能化社区,场地内增加 usb、驱蚊灯;在休闲区和儿童玩乐区会设置户外 WIFI、天使之眼、户外可移动伞座、可视对讲系统、24小时安防系统、一键呼叫等。




项目效果图
户型图及样板间赏析
项目主推建面约72-137平2-3房,建面约72平2房、建面约88平3房、建面约98平3房。项目此次加推的小户型确实难得,预算有限的刚需客也可以低总价上车大虹桥。

A户型 建面约99㎡三室两厅两卫▼

B户型 建面约72㎡两室两厅一卫▼

· 约72㎡户型:大虹桥非常臻稀的小户型,总价仅约422万起,不仅是优秀的自住过渡产品, 更是低总价撬动大未来的资产配置利器!
C户型 建面约89㎡三室两厅一卫▼

E户型 建面约89㎡三室两厅一卫▼

· 约89㎡户型:大虹桥范围不到90㎡的户型大部分都只做到2房,灿耀星城该面积段实现 3房功能性,让自住客户一步到位,也让该产品进入二手市场后具备降维打击的优势!
A户型 建面约99㎡3室两厅两卫▼
· 约99㎡户型:格局上实现 南北通透+三开间朝南,采光通风效果上佳。主卧套房设计,自带卫生间,舒适度颇高!适配对品质有要求或者首改客户!
D户型 建面约137㎡3+1室两厅两卫▼

· 约137㎡户型:格局上做到了三开间朝南+南北通透,大尺度的奢阔横厅设计串联南向观景大阳台,整个公区的视野无比通透;主卧套房,保证了业主的尊崇感和私密性!
装修标准:室内三大件(地暖、新风、日立中央空调)厨房三大件(末端净水、老板洗碗机、油烟机)电动晾衣架,ToTo智能马桶等。

样板间照片如下:





项目区位配套
【灿耀星城】位于虹桥中央商务区西虹桥片区徐泾正芯,总体量约55万方,以大城之势,汇聚品质住宅、活力商业、星级酒店、现代办公、幼儿园、养老院等多种业态,并以城市基建、生态建设、多元业态、产业集群、人居革新,五位一体擎动城市更繁华,赋能城市焕新升级。




立体交通网,速达全城
自驾:三横三纵的立体式道路交通网络(三横为崧泽大道、沪青平公路、沪渝高速,三纵为沈海高速、嘉闵高架、外环高速),自驾可速至市中心和各大核心商圈
轨交:距离2号线潘祥路站(规划中)约1.5公里,距离17号线蟠龙路站约2公里,门口有多条公交直达
公交:沪青平公路明珠路站,有多条公交线路直达17号线蟠龙路站、2号线徐泾东站

多元商业,拥抱人间烟火
成熟的现代商业集群:虹桥食尚天地、希尔顿酒店等与项目仅一路之隔,距离项目1.5KM范围内,还有夏都小镇、永业购物中心等
充满烟火气的老牌街区:京华路、盈港东路,汇聚人气美食、精品老店等
未来可期的全新商业:自带约9万方商办,近享缤纷生活

高端医疗汇聚,为健康护航:周边汇聚远大健康城(一期上海医大医院为三级非营利性综合医院,已运营)、上海德达医院、复旦大学附属华山医院(西院)、上海新虹桥国际医学中心以及徐泾卫生服务中心等。

家门口的公园,休闲打卡胜地:约4.6万方时光公园,将重新改造、统一风格,以后将成为徐泾的绿色地标、打卡胜地。




















「灿耀星城」坐拥虹桥徐泾板块,不仅板块能级较高,与市区的距离和通勤也同样远胜其他同价位区域。地段优势显而易见。
示意图
交通方面,项目毗邻沈海高速(直线距离徐泾道闸口仅约700米),三横(崧泽大道、沪青平公路、沪渝高速)三纵(沈海高速、嘉闵高架、外环高速)立体交通网络,自驾可快速直达中山公园、静安寺、人民广场、徐家汇。
项目周边有地铁2号线蟠祥路站(建设中,直线距离约1.5公里)和地铁17号线徐盈路站(直线距离约2公里),门口有多条公交直达地铁站,出行便捷!
示意图
商业配套方面,「灿耀星城」直线距离虹桥食尚天地仅约300米,直线距离家乐福、迪卡侬、永业购物中心约800米,可满足日常消费需求。
周边3公里半径内在建的就有兰韵文化中心、百老汇剧场群和首位奥特莱斯等商办综合体。
距离上海第一家Costco超市约6公里,西侧约6公里处有青浦奥特莱斯商圈、合生新天地、山姆会员店等,满足家庭不同阶段的购物需求。
示意图
医疗方面,「灿耀星城」周边有京汇医院、复旦大学附属华山医院(虹桥院区)、另有社区卫生服务中心为健康保驾护航。
「灿耀星城」南侧约1.5公里就是总投资达50亿的远大健康城(一期上海医大医院为三级非营利性综合医院,已运营),这里将开设一所三级医院,一所二级国际性医院,预计2023年投入使用。
距离「灿耀星城」约5公里的新虹桥国际医学中心,是虹桥打造的面向世界的权威医疗窗口,整个园区占地100公顷,一期包括华山医院(已开放)、肿瘤医院(在建)、百汇医院(在建)等共8家综合性专科医院,还有二期规划中的协华脑科医院、圣康达医院、绿叶利兰医院等。
2产品
「灿耀星城」三期还是上海为数不多的超低能耗住宅,与传统住宅相比,有4大优势:
1、让生活更经济:领先的节能减排体系,包括外墙&屋面保温/热回收装置/超低能耗照明系统/太阳能热水装置等,每年可节省空调供暖、照明、生活热水相关的电费和燃气费约30%-50%。比如,“可再生能源”太阳能热水系统在部分楼层的使用,大幅度降低建筑能耗!
2、让生活更静谧:通过墙体、窗、楼板、排水、户门房门、设备多维降噪,营造更低分贝的安宁。比如:外窗玻璃采用了三玻两腔,有效降低了外界的噪音、系统窗内还配备了中置百叶,能有效调节进入室内的太阳辐射;
3、让生活更舒适:通过保温系统+气密系统+新风系统带全热回收装置,有效控制室内温度湿度,仿佛给房子穿上羽绒服和冲锋衣,锁温效果提升约60%,拥抱冬暖夏凉的惬意,还可告别冬日窗子结露的烦恼;
4、让生活更健康:新风系统带多重过滤防护,远离pm2.5,让每一口呼吸都自然清新。

效果图
三期户型较二期更丰富,目前剩余建面约72-89㎡2房、3房,满足全龄段置业需求。

虹桥灿耀星城售楼处电话:400-8874-108✔【已认证】
虹桥灿耀星城营销中心电话:400-8874-108✔✔【已认证】
上海虹桥灿耀星城官方售楼处电话:400-8874-108 VIPLINE✔✔✔【已认证】
如有问题可来电咨询,线上售楼中心,预约销售专员,一对一为您服务!
想了解虹桥灿耀星城更多信息?拨打售楼处营销中心热线:400-8874-108 (中介勿扰)【24小时热线】
楼盘项目全面介绍,本电话为开发商提供线上预约售楼电话,楼盘项目全面介绍(包含楼盘简介,均价,房价,现房,期房,别墅,叠墅,大平层,价格,楼盘地址,户型图,交通规划,备案价,备案名,项目配套,样板间,开盘时间,认筹时间,楼盘详情,售楼处电话,最新消息,最新详情,周边配套,一房一价,最新进展等详情咨询)楼盘详情丨价格丨更多优惠丨机不可失丨欢迎致电丨诚邀品鉴!售楼处位置丨特价房丨工抵房丨剩余房源丨户型图丨最新消息丨免责声明:将文章内容综合来源于网络、只作分享,版权归原作者所有!!如有侵权,请联系我们,我们第一时间处理如有问题欢迎来电咨询,专业一对一热情服务,让您用专业眼光去买房.如果您想了解更多楼盘详情,欢迎提前预约拨打
2025年各地两会相继闭幕,各省级政府工作报告已陆续发布。
2025年是“十四五” 规划收官之年,也是 “十五五” 规划谋划之年。在这承上启下的重要节点,各地对2025年房地产工作的部署也成为了业界关注的焦点。
今年各省级政府工作报告均对房地产着墨较多,相关内容被放在包括稳增长、促消费、惠民生、防风险等多个工作大项下。整体来看,在2025年的房地产工作中,各地将全力推进市场回稳向好、促进市场平稳健康发展,因此2025年的稳楼市政策仍值得期待。
此外,各地仍将继续推进城市更新,加强保障性住房建设,做好房地产领域风险防范,系统推进“好房子”建设等工作。
稳楼市是2025年多地首要目标
从各地政府工作报告内容来看,稳楼市是2025年多地房地产工作的首要目标。
如北京2025年政府工作报告指出,要更好满足城乡居民住房需求。不断优化房地产政策,持续推进房地产市场回稳向好。
广东表示,持续用力推动房地产市场止跌回稳。因城施策优化房地产政策,合理控制新增房地产用地供应,盘活存量用地和商办用房,推进处置存量商品房工作,健全租购并举的住房制度,充分释放刚性和改善性住房需求潜力,推动构建房地产发展新模式。
浙江提出,推动构建房地产发展新模式。全面落实国家降利率、降首付、降税费等政策,持续推动房地产市场止跌回稳。
值得一提的是,尽管稳楼市是各地2025年房地产工作的主基调,但是各地对稳楼市这一政策导向的表述略有差异。如北京、海南在政府工作报告中的表述是,促进房地产市场“回稳向好”;辽宁的政府工作报告表述的是“企稳回升”,西藏则为推动房地产市场“止跌回升”;在广东、重庆、广西、浙江、福建、内蒙古、山西、云南、江西、甘肃、宁夏、青海等多地政府工作报告中,提到的均是“止跌回稳”。
此外,上海在政府工作报告中提到,要加快构建房地产发展新模式,促进房地产市场平稳健康发展。
整体看,不同的提法和各个省份房地产所处的行情有关。尽管部分省份的表述存在差异,但稳楼市的总体精神高度一致。
深化城市更新行动
2025年,首次国务院常务会议对城市更新工作做出全面部署,强调“城市更新关系城市面貌和居住品质的提升,是扩大内需的重要抓手”,城市更新被赋予了更高的定位。
这也为各地2025年的城市更新工作进一步指明了方向。多地两会明确,2025年将深化城市更新行动。
北京表示,深化城市更新行动,完善土地混合开发利用和产业用地到期续期政策,加强闲置土地盘活利用,健全核心区平房成片区、整院落退租机制,统筹推进居住、产业、市政基础设施、公共服务设施、区域综合等五类更新改造。
上海提出,深入探索可持续的城市更新模式,完善成本管控机制,优化老旧建筑更新标准。加快推进“两旧一村”改造,全面完成中心城区零星二级旧里以下房屋改造,完成31万平方米小梁薄板房屋等不成套旧住房改造,启动25个城中村改造项目。实施商务楼宇更新提升行动,推进市政基础设施更新改造,推动桃浦、北外滩、杨浦滨江等区域转型发展,加快外滩“第二立面”、衡复风貌区等区域整体更新。
广西方面,深入实施城市更新。开展完整社区试点,打造友好社区。统筹推进城镇老旧小区、街区(厂区)更新改造。加强社区无障碍环境建设,持续推进既有住宅加装电梯。推进新型城市基础设施建设,更新改造城市燃气、水电、通信等老旧管线,大力建设城乡公共充电基础设施。
河北表示,深化城市更新,加强老旧管网改造,打造宜居、韧性、智慧城市。改造城镇老旧小区500个以上,建成交付棚改安置房10万套以上。
天津强调,实施更高质量城市更新,推进中心城区主题园区特色发展,增强地铁沿线、重点商圈辐射带动功能,提升业态品质和产业能级。加快实施设计之都核心区柳林街区等城市更新项目,推进30个城中村改造项目,启动180个城镇老旧小区改造。创新政策工具,探索将低效园区和商圈纳入更新范围,出台规划、土地、产权、债权、金融等针对性措施,破解盘活进程中的共性制约,以市场化合作引入更多社会资本参与各类存量资源盘活。
河南明确,开展城市更新和安全韧性提升行动,加强新型城市基础设施建设,实施城市更新项目3910个,改造城中村416个、老旧小区1459个,统筹改造一批老旧街区、厂区。加强无障碍环境、适老化设施建设,建成一批完整社区。
推进“好房子”建设
随着居民对住房品质要求的不断提升,推动“好房子”建设也成为2025年楼市重要政策方向。今年多地在政府工作报告中,都对“好房子”的建设进行部署。
北京和天津均提出,建设适应群众高品质生活的“好房子”。
广东明确,发展绿色建筑,推广智能建造、模块化建筑、装配式建筑等,引导企业提高住房建设标准、优化物业服务,建设更多好房子、好小区、好社区、好城区。
青海也明确,努力建设适应人民群众高品质生活的好房子、好小区、好社区、好城区。
浙江表示,稳妥推进现房销售试点和“好房子”建设试点。与此同时,重庆、四川、福建、云南、山西等地均表示要推进“好房子”建设工作。
此外,吉林更是定下了具体目标,明确今年大力推动10个以上“好房子”示范项目建设。
持续推进保障性住房供应
2025年,保障性住房筹建工作的持续推进仍是各地的重要工作内容,部分甚至明确了相关定量目标。
如上海表示,坚持租购并举,建设筹措7万套(间)保障性租赁住房,实现“十四五”末总量达到60万套(间)。
北京明确,完善“保障+市场”住房供应体系,优先向轨道交通站点周边和就业密集地区供应住宅用地,建设筹集保障性租赁住房5万套、竣工各类保障房8万套。
海南称,2025年筹集保障性租赁住房6000套(间),发放住房租赁补贴1.6万户。
河南指出,用好地方政府专项债支持收购存量商品房等政策,新增保障性住房5.7万套。
此外,广东指出,加快“三大工程”建设,增加保障性住房供应,推进“平急两用”公共基础设施建设,加力实施城中村和危旧房改造。
浙江强调,加快建立多主体供给、多渠道保障、租购并举的住房制度。
宁夏明确,健全住房保障体系,全面实施“四好”建设计划。
防范化解风险
从各省级政府工作报告来看,今年多地仍将继续做好房地产风险防范化解工作。而对于防范化解风险的工作部署,主要是从满足房企合理融资需求、保交房等方面入手。
如广东表示,积极稳妥防范化解房地产企业风险,用好城市房地产融资协调机制,推动“白名单”项目扩围增效,坚决打好保交房攻坚战。
黑龙江表示,持续用好房地产融资协调机制,健全完善新建商品房预售资金监管制度,有效防范新增风险。做好“保交房”工作,推进符合登记条件已交付房屋的不动产登记。
浙江明确,提高金融监管效能,全力防范企业债务和中小金融机构风险,严厉打击非法金融活动,有效化解房地产风险,全力完成保交楼、保交房任务。
山西提到,切实防范化解风险隐患。“一企一策”满足房地产企业合理融资需求,全面完成保交房任务。
此外,湖北表示,探索建立多层次风险防控机制,稳妥化解房地产、地方债务、中小金融机构等领域风险。