静安玺樾首页网站-静安玺樾售楼处电话-静安玺樾楼盘详情-交房时间-地址-最新房价户型图-小区环境-楼盘详情-交房时间-周边配套-售楼处电话

嘉峪关楼市发布

2025-10-21 16:53:17

购房群

买房如何避坑,加入购房群,看看他们怎么说

立即进群

静安玺樾售楼处电话☎:400-9975-759【售楼热线】✔✔✔

静安玺樾营销中心热✅✅ 400-9975-759✅✅ 静安玺樾售楼处地址|预约热线:400-9975-759✅✅ 本电话为开发商提供线上售楼电话,

楼盘项目全面介绍(包含楼盘详情,最新房价,户型图,容积率,小区配套环境,楼盘简介,售楼处位置,户型图,交通规划,备案价,项目配套,楼盘详情,售楼处电话,最新消息,最新详情,最新进展等详情咨询。

如有问题欢迎来电咨询,专业一对一热情服务,让您用专业眼光去买房。

静安玺樾售楼处电话:400-9975-759【预约热线】

静安玺樾售楼处电话:400-9975-759✔【已认证】「静安玺樾」

静安内环内 国际中兴城

加推约97-106㎡2-3房海派著品

8号线中兴路站距离约330米

均价124191元/㎡ 共165套

另前期少许94-165㎡2-4房在售

均价125777元/㎡ 总价约945万起

奢华地库+海派园林+万科物业

样板房线上火热预约

静安玺樾售楼处电话:400-9975-759✔【已认证】

,时长

01:46

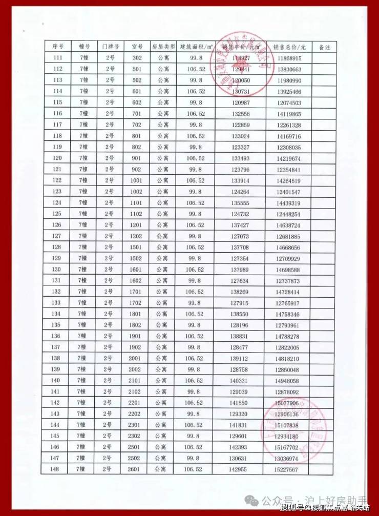
静安玺樾三期一房一价表▼

静安玺樾售楼处电话:400-9975-759✔【已认证】

最新消息:静安玺樾三期加推2号楼的18单元和20单元、7号楼的2单元,主力户型包括建面约98-107㎡2-3房,3房总价约千万级起!

2号楼18单元和20单元:往外可瞰芷江绿地,内可赏入口中轴景观。

项目社区景观效果示意图,仅供参考,以实际交付为准

7号楼2单元:可远眺三件套、中兴公园,楼下还有中心景观。

项目基本信息

开发商:上海市静安城市更新投资发展有限公司

板块:静安内环内•国际中兴城板块

在售面积:94㎡/98㎡/100㎡2房2厅2卫

103㎡/104㎡/122㎡/134㎡3房2厅2卫

165㎡4房2厅3卫

总价:945-2354万

均价:125000元/㎡

总体量:926套

总层数:17层、19层、33层

层高:3-3.1m

交房时间:2026年6月

物业公司:上海万科物业服务有限公司(一级资质)

物业费:9.8元/m/月

在售楼栋:1号/2号/4号/5号/7号,3号/6号 待加推(预计10月底)

总用地面积:31352.4㎡

总建筑面积:152702.85㎡

住宅建筑面积:91316.33㎡

得房率:75-79%

容积率:3.05

绿化率:35.25%

车位总数:1150个

【静安玺樾】是位于上海市静安区中兴城社区内的典型城市更新项目,是继佘山玺樾后,又一top系力作,代表着北方集团在静安内环标杆项目,以好的产品力,高标准的实力呈现。

里面/地库/园林/样板间正式公开

众所周知,示范区是整个项目未来品质的超前剧透,它究竟为你带来了怎样的惊喜呢?它没有去考验业主的想象力,而是把生活场景、规划的蓝图提前搬到了面前,不惜成本给业主优先带来了一波产体验。

据悉这一次开放,整个项目的立面、地库、园林、样板间将全部亮相此次示范区。这意味着窥其一二,全貌都可 “一览无余”。

【静安玺樾】沉淀北方集团近20载城市更新修为,从雅、境、奢、艺四相出发 ,构筑品级、建筑、公区、用材、精装、景观、户型、服务、配套、层等12大维度标准,打造上海心上的矜贵珍藏。

效果图

海派立面 看到品质的具象化

作为项目面向未来的建筑表情,静安玺樾从在地化角度思考,与静安气质保持一致,以海派风格为主,采用石材,铺以横向铝板线条,通过对材质细部的精细化设计,真实还原海派立面的摩登风格,很具识别度。

海派建筑立面,香槟金与经典咖的审美复兴,惊艳上海心

色、材、纹、饰,从色彩到材质,再到细节,纯粹匠心

实景图

社区景观 翡色礼境 归家的度假感拉满

进园后,从入口的奢石、到内部的水景、雕塑甚至是局部的海派拼花铺装……从里到外,可观可赏可感。

美学展示区,非交付标准

整个景观设计,按照 “翡光礼境”的概念,不是硬生生地塞进社区中,而是做到了与水景、雕塑、绿植一起,体现未来住区的海派生活气质。

入口处酒店港湾式落客空间,艺术感造型树,蓝翡翠奢石达到第一眼的惊艳;内部精致典藏的水院空间,以雕塑、喷泉水幕、造型树经典组合,打造全区景观点,更大地扩充与景观的接触面,度假的松弛感油然而生。

美学展示区,非交付标准

此外,静安玺樾还研究植物,营造春季赏花,夏季观绿、秋季观叶,冬季赏姿的四季环境,展现出生活的另一面。

社区景观打造上还考虑了空间的功能丰富性, 打造了三大花园空间:中心港湾花园、水溪花园,西入口归家花园,实现社区内各区域景观不同的丰富视觉盛宴~

户外定制化主题儿童区+架空层泛会所构成双儿童系统,“秘境童话专列”的火车主题串联儿童活动空间,兼顾全年龄儿童不同游玩体验。

更有贴心细节设计:儿童活动区和老年健身的器械均考虑防磕碰设计,地面均采用塑胶,以防磕碰受伤。

效果图

地库公区

对标超星级酒店 驾车归家不寻常

这种仪式感,同时延续到了地库,且非常出彩。

对照顶级酒店车库,通过 石材包边、超耐磨地坪、三合一门禁等这些标配设计,媲美豪车展厅级别,充分考虑到业主的身份地位。

效果图

静安玺樾售楼处电话:400-9975-759✔【已认证】

项目推售详情

【静安玺樾】三期,已过会, 均价124191元/㎡,将推97-106㎡2-3房!共165套房源。其中2号楼105套,均价11.8万/㎡,7号楼(无敌景观房,无遮挡)60套,均价13.8万;

另一期少量3#/6#房源在售,建面94-165㎡2-4房在售!均价12.5万/㎡,总价约945万起!可直接认购!

建面约98㎡2房2厅2卫▼

静安玺樾建面约94㎡样板间鉴赏

,时长

01:27

静安玺樾售楼处电话:400-9975-759✔【已认证】

静安玺樾建面约98㎡样板间鉴赏

,时长

01:17

建面约98㎡的舒阔两房,是城央新房非常罕见的存在,而且将每个房间的体量放大,同时拥有了更多收纳空间,舒适感更高一筹!

第一个亮点, 就是动静分离,功能区和休息区互不干扰,客餐厅、厨房等公共活动区集中在一侧,卧室等休息区全部一侧,保证了私密性!

样板间实景图

第二个亮点, 就是尺度感!不仅客餐厅朝南面宽大,而且像两间卧室都能轻松放下双人床,甚至还多出储物空间,让美好生活画卷就此展开。

样板间实景图

第三个亮点, 是客餐厅一体化设计,外连阔景阳台,采光非常好,空气更加流通,同时增进了家人间的互动。

静安玺樾售楼处电话:400-9975-759✔【已认证】

样板间实景图

第四个亮点, 是主卧套房设计,自带独立卫生间和大飘窗,增强私密性。

样板间实景图

第五个亮点, 宽阔的L型厨房,两面靠墙,灶台和水槽布置空间充足,实际使用能够满足各类烹饪需求。

样板间实景图

样板间客卫实景图

建面约100㎡3房2厅2卫▼

静安玺樾建面约100㎡样板间鉴赏

,时长

01:16

静安玺樾售楼处电话:400-9975-759✔【已认证】静安玺樾售楼处电话:400-9975-759✔【已认证】

建面约104㎡3房2厅2卫▼

静安玺樾建面约104㎡样板间鉴赏

,时长

01:05

静安玺樾售楼处电话:400-9975-759✔【已认证】

建面约103㎡3房2房2卫▼

建面约122㎡3房2房2卫▼

建面约134㎡3房2房2卫▼

建面约165㎡4房2房3卫▼

品质,是置业者密切关注的要素。由国企——上海静安城市更新投资发展有限公司出品的住宅,不仅品质有保障,后续交付也是给购房者吃下一颗定心丸。

从装标来看,静安玺樾尽管入市均价仅12.5万元/㎡,但其交付标准足以媲美市中心几千万级豪宅。

静安玺樾售楼处电话:400-9975-759✔【已认证】

以豪宅三大件而言,项目全装全配,甄选大金(或同等档次)中央空调、地暖;霍尼韦尔(或同等档次)的新风系统,这些具有说服力的品牌,都是实打实的居住保障。

样板间实景图

厨具方面,油烟机、灶具、洗碗机、烤箱、甚至一般不作为交付的冰箱,均采用了国际知名品牌—— 美诺(或同等档次),这样的五件套配置放眼全市豪宅都非常罕见。

样板间实景图

项目甄选柏丽(或同等档次)的橱柜、台面;铂浪高(或同等档次)的洗涤槽和龙头;卫浴方面,甄选杜拉维特或高仪(或同等档次)马桶、台盆、龙头等,都是国际知名的品牌。

静安玺樾售楼处电话:400-9975-759✔【已认证】

静安玺樾售楼处电话☎:400-9975-759【售楼热线】✔✔✔

上海购房政策

上海购房政策在2025年8月25日进行了重大调整,以下是最新政策要点:

一、限购政策

外环外上海户籍家庭/单身:不限购套数。

非上海户籍家庭/单身:社保/个税满1年,不限购套数。

外环内上海户籍家庭/单身:限购2套。

非上海户籍家庭/单身:社保/个税满3年,限购1套。

特殊政策非沪籍置换唯一住房,可不提供社保/个税单。

崇明区参照外环外政策,只需满足1年社保/个税。

二、贷款政策

商业贷款利率不再区分首套/二套,由银行根据市场和客户情况定价。

首付比例:首套15%,二套25%(主城);二套购买临港、嘉定等区域为20%。

公积金贷款首套最高额度184万,多子女家庭首套可达216万;二套最高额度149.5万。

购买二星级及以上绿色建筑住房,额度上浮15%。

支持提取公积金支付新建预售房首付款,不影响贷款额度。

三、税费政策

房产税非沪籍首套房免征,二套房及以上按家庭人均60㎡免税,超出部分征收。

持《上海市居住证》连续满3年或积分达120分,首套房免征。

增值税满2年免征,不满2年按5.05%征收。

契税首套房:面积≤140㎡,税率1%;>140㎡,税率1.5%。

二套房:面积≤140㎡,税率1%;>140㎡,税率2%。

四、其他政策

企业购房:满足纳税或社保条件,可购买2000年前竣工、面积≤70㎡的二手房用于员工租住。

新房摇号积分制:根据家庭情况、社保年限等打分,积分越高越优先摇号。

以上政策自2025年8月26日起施行,具体执行以官方最新通知为准。建议购房前咨询相关部门或专业机构,确保符合政策要求。

全部

相关资讯

报名成功
稍后会有专业的置业顾问联系您
返回楼盘

频道导航

返回首页

看房小程序

APP下载

电话拨通后,请您手动拨打分机号

确定拨打电话

电话号码:

分机号:(可能需要拨分机号)