松江洞泾板块
9/12号线(西延伸在建) 双轨交盘
华发海上都荟售楼处电话:400-8894-638
「华发海上都荟」
主力建面约91-101㎡高层
&约90-136㎡叠加
约450万级拿下,双地铁口高配3房
首开4.91万/㎡超高性价比肉眼可见
作为自带流量基因的红盘,上海楼市少有的双轨交新盘——华发海上都荟一直备受购房者关注。项目首开现场人气爆棚,热度非凡,堪称一场全市级的盛宴。
华发海上都荟售楼处电话:400-8894-638
项目 首开当月劲销7成,约200余套房源名花有主,总销金额高达约11.5亿!

华发海上都荟售楼处电话:400-8894-638

火爆的背后是市场对项目的青睐。
华发海上都荟售楼处电话:400-8894-638
除了双轨交优势,项目无论是 硬核产品高配精装、还是 性价比区域发展潜力等等方面,放在全市范围内来看,都具有压倒性的优势,不难想象项目为何首开就劲销。
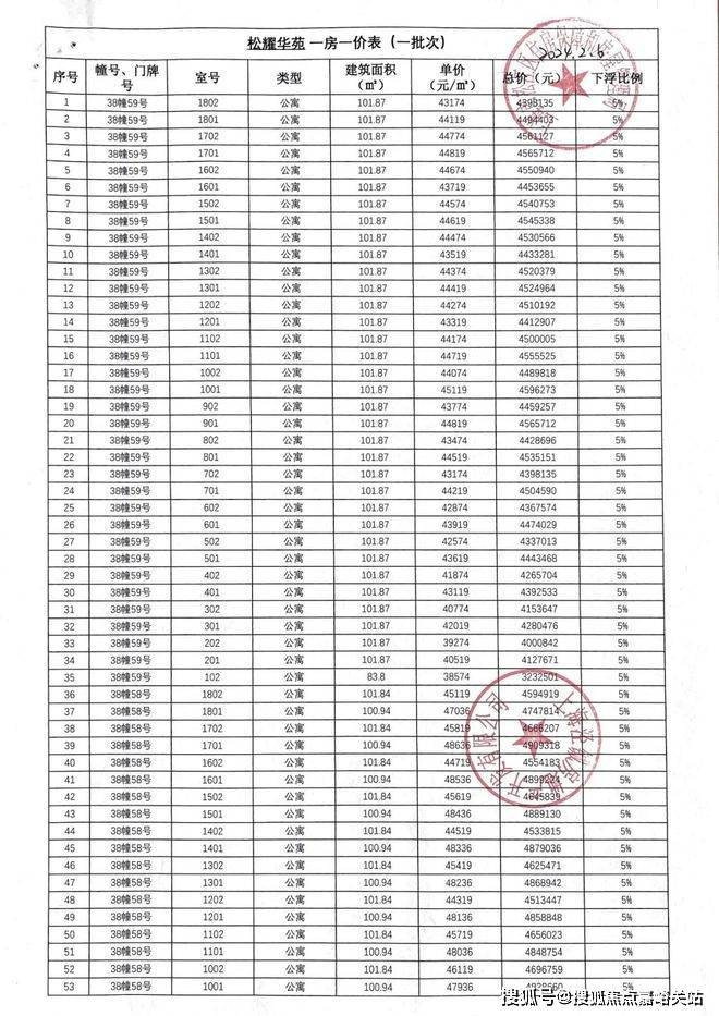
「一房一价表」

华发海上都荟售楼处电话:400-8894-638

华发海上都荟售楼处电话:400-8894-638

华发海上都荟售楼处电话:400-8894-638


华发海上都荟售楼处电话:400-8894-638


华发海上都荟售楼处电话:400-8894-638


华发海上都荟售楼处电话:400-8894-638
9/12号线西延伸(在建中)
双地铁口出行神盘!
刚需买房最关注的因素就是地铁。
原因很简单:地铁带来的不仅仅是通勤方便和资产保值,也代表着整个城市的发展脉络,导入大量的高端产业和人口,让整个板块发展后劲更足。
华发海上都荟售楼处电话:400-8894-638
在去年入市的216个新房中(去重后),与地铁直线距离500米以内的地铁房,仅占比1/4。
拥有双地铁更是罕见。放眼全市,目前外郊环在售/待售双轨交新盘有且仅有五盘。且价格都不低,百平三房需要600万级起步。华发·海上都荟5万/㎡的联动价,首开4.91万/㎡的均价,可以说是刚需置业的福音!
华发海上都荟售楼处电话:400-8894-638
项目直线距离9号线洞泾站约400米,直线距离12号线洞泾站(西延伸线在建中)约500米。

一条南北走向的9号线,直达漕河泾、徐家汇等地区;
华发海上都荟售楼处电话:400-8894-638
一条东西走向的12号线(西延伸段在建中),贯穿了包括莘庄、七宝、漕河泾、徐汇滨江、内环中央活动区、北外滩、东外滩一直到浦东金色中环带的金桥副中心。

双轨的优势不言自明,它能带动整个地区从单向睡城蜕变为交通枢纽型的区域,对吸引人才和产业发展极为重要,同时也意味着更大的升值潜力。
华发海上都荟售楼处电话:400-8894-638
在整个松江,乃至整个沪西南地区都是独一家!
精工墅区
松江品质封面之作
华发海上都荟售楼处电话:400-8894-638
这一次,由华发股份倾情打造,融入了华发优+体系5.0产品打造理念,给松江新城带来全新的品质标杆!
华发海上都荟售楼处电话:400-8894-638
凭借造城的“六大黄金法则”,为上海即将兑现一座澎湃时代的合心之城一一华发·海上都荟,诸多差异化亮点,约2000㎡邻里空间配套、约1000㎡社区配套......让其在同价位新盘中找不到对手。

效果图,仅供参考
具有现代设计风格的外立面,以浅色涂料及灰色涂料搭配为主,门头局部采用石材及铝板,色彩以暖白色与香槟色为基调,端庄、高雅。
华发海上都荟售楼处电话:400-8894-638

效果图,仅供参考
社区景观上,项目邀请了朗道国际景观设计倾力打造,其上海曾经到过上海融创滨江壹号院、上海万科中兴路一号、上海万科翡翠滨江都是上海知名标杆项目.....可见其用心!
华发海上都荟售楼处电话:400-8894-638
小区以 “都市园林,无界生活”为概念,开放更多的街角空间给市民,创造开放,生活活力的城市街角空间,满足全龄段的社交需求。

实景图
同时内向造景,景观最大化,共享景观资源,实现楼栋均好性。园林式布局,通过多重景观营造层次丰富的趣味空间。

效果图,仅供参考
极具仪式感的车库!
华发海上都荟售楼处电话:400-8894-638
车库是网红“星空顶”IP,高标准选材调试打造“星空之约“的归家体验!整体呈现简奢典雅的贵族气质,让归家的尊贵感油然而生。

实景图
华发海上都荟售楼处电话:400-8894-638
小区内部还自带约2000㎡社区配套,致力于打造业主第二会客厅 ,未来将成为小区的能量补给站,激发社区活力。

实景图
不止如此,配套会所内还将配备有泳池、健身房,还有自带的沿街商业!丰富的配套设施,完全可以满足业主的日常生活所需。
华发海上都荟售楼处电话:400-8894-638

实景图

实景图

实景图
华发海上都荟售楼处电话:400-8894-638
实力国企钜制
建面约101㎡3房2卫&
建面约90-136㎡叠墅
对于华发股份,我们并不陌生。

拥有国家一级房地产开发资质,2017年起连续跻身《财富》“中国500强”榜单,“2023中国房地产百强企业”第12名。其在上海打造过静安府、苏河世纪、古美华府、华发·半岛华庭等耳熟能详的作品,口碑与实力有目共睹。
华发海上都荟售楼处电话:400-8894-638
实力国企背书,让购房者吃下一颗定心丸。

三期增加91平小户型图如下:
华发海上都荟售楼处电话:400-8894-638

建筑面积约101㎡三房两厅两卫户型
华发海上都荟售楼处电话:400-8894-638

户型图,仅供参考
项目采用当下备受年轻人喜爱的飞机户型,卧室分布在客厅两边,动静分区很好地保障了家庭成员的私密性。
华发海上都荟售楼处电话:400-8894-638
客餐厅厨一体化+大尺度观景阳台,整个公区几乎没有面积浪费,南北通透,同时三开间朝南,户型的采光和通风条件优越。
u字型厨房的设计,符合人体操作动线。
主卧套房设计,自带衣帽间和独立卫生间,舒适度与私密性兼具;全卧室飘窗,延展了空间尺度感!
华发海上都荟售楼处电话:400-8894-638
叠加的优点非常多,相较于大平层,叠加区域分割清晰,会客区、休息区等可以明显区分开,互不干扰。
同时居住私密性强,在家里随心所欲,自由畅享,给到墅居的空间感,非常适合三代同堂的家庭居住,得房率相较高层产品也更高一些。
上期户型图如下:
建筑面积约90-136㎡叠加户型
华发海上都荟售楼处电话:400-8894-638


华发海上都荟售楼处电话:400-8894-638


华发海上都荟售楼处电话:400-8894-638

户型图,仅供参考
华发海上都荟售楼处电话:400-8894-638
450万起买精装三房
超高性价比
以地铁线为轴,我们可以看到沿线的房价越来越高。
9号线,往前2站的泗泾,新房价格5.11万/㎡,九亭5.4万/㎡;往前5站的七宝,新房已经来到8万/㎡,五站地铁,价差约3万/㎡,同样买百平三房劲省约90万。
12号线,莘庄的新房价格8万/㎡,再往前的徐汇滨江、南京西路等市中心的价格已是高不可攀。
华发海上都荟售楼处电话:400-8894-638

一张图,可以直观感受项目的性价比!
即使是同板块内,华发·海上都荟,也是区域内的价格洼地。
松江新城新房6万+/㎡,泗泾&九亭作为区域内承接市区的重要板块,好一点的二手房都上了6万+/㎡,居高不下。
华发海上都荟售楼处电话:400-8894-638

项目整盘联动价约5万/㎡,首开价格惊喜,仅约4.91万/㎡,高层还是精装交付,450万级的价格,能够入手板块内具有潜力的双轨交精装三房,机会难觅。
60科创走廊+双TOD规划
现在入手,直接买到未来
华发海上都荟售楼处电话:400-8894-638
随着松江的规划建设,地铁+产业+城市界面的焕新,默默无闻的洞泾,终于迎来崭新的发展面貌。
首先是12号线(西延伸段)的开工建设。据最新消息,经过近6个月的管线搬迁和道路施工,12号线西延伸科技园站(G60云廊站)于11月2日完成一阶段道路导改工作,进入实质性施工阶段。整体来看,12号线西延段预计2027年年底正式通车!(来源:上海松江)

其次在产业上,整个G60科创走廊目前是上海产业新高地,已集聚了近50家世界500强、约64家上市公司、约500+家外资企业,贡献了松江约90%的工业产值,占上海工业产值近10%!(数据来源于上海松江官网)
作为G60科创走廊起点,洞泾无疑是未来的科创高地:G60科创走廊连接9个城市,覆盖约7.62万平方公里的超大型世界级制造业集群,更是将这里规划为重要节点!
依据《松江区洞泾镇国土空间总体规划(2021-2035)》,此处立足松江产业重镇,围绕G60科创走廊示范引领的人工智能科创小镇目标愿景,打造“科创高地、城市客厅、和美家园”三张名片,引领未来发展。
华发海上都荟售楼处电话:400-8894-638

来源:科创上海
以王牌人工智能产业加持的洞泾,目前集聚人工智能相关企业已达241家、高新技术企业突破280家、外资总部型企业达18家,持续迸发着科创光芒。(数据来源:上海松江区人民政府新闻办公室官方微信公众号7月30日推送)

图源网络
最后在城市界面上,12号线一次性就带了2个TOD综合体规划。

华发海上都荟售楼处电话:400-8894-638
沪松公路站的未来湾TOD+刘五公路站的生态科技城TOD,集地铁上盖商业、高品质科创办公、综合文化中心和古镇特色商业等多功能于一体,铸就宜居宜业的新高地。(来源,洞泾小灵通,《洞泾镇城市数字化转型2023年重点工作安排》),带着整个板块直接起飞!

项目周边也十分醇熟。直线距离约500米左右有佘山假日半岛商业。
3公里范围内,还有40万方的超级商业航母地标松江印象城;以及宝乐汇广场、五龙商业广场、开元地中海、泰晤士小镇、松江万达等多个大型商业综合体。
华发海上都荟售楼处电话:400-8894-638

图源网络
医疗资源丰富,项目周边有上海市第一人民医院南院,为三甲综合性医院,以及养志康复医院、泗泾医院等医疗设施。

图源网络
生态资源同样出色,佘山国家森林公园、广富林遗址公园、广富林郊野公园、辰山植物园等一共 4 座公园,以及1个市政规划千亩百花港开放休闲林地,共同打造松江大型生态绿肺,是放松身心的好去处。
待未来12号线西延伸(在建中)两个TOD建成,洞泾的面貌会发生翻天覆地的变化。从单向的睡城变为西南双轨交通枢纽、产业人群集聚的高地,指日可待。
总上来看,买的不仅仅是当下,更是未来!华发·海上都荟正在热销中!感兴趣的可千万不能错过了!
华发海上都荟售楼处电话:400-8894-638
上海松江华发海上都荟