项目基本信息
开发商:上海金桥集团
产品类型:住宅70年
占地面积:约5.6万方
总建面:约15.5万方(地上约10.6万方,地下约4.9万方)
均价:5.6万
总价:430-965万
在售面积:99(12套1-2楼)、165平(35套)135+139(共计26套中、低楼层)
总户数:843户
楼栋数:15栋
物业类型:高层
总高:14层
层高:99、135、139平高3.05米/165平层高3.15米
容积率:1.8
拿地时间:2022年
得房率:99平约76%、135-139约81%、165平约83%
绿化率:35%
物业公司:金桥物业
物业费:5.6元/月*㎡
占地面积:约5.6万方
装修状况:99平精装/135、139、165平毛坯
车位:1202个
车位比:1:1.3

低密小高层阔奢公园社区产品
【碧云澧悦】由由金桥股份打造,总占地面积约5.6万平方米,容积率1.8,总建筑面积15.5万平方米,其中地上建筑面积10.6万平方米,地下建筑面积为4.9万平方米。
上海金桥出口加工区开发股份有限公司(以下简称“ 金桥股份 ”)成立于 1992 年11月,注册资本 11.22 亿元,1993年3月,公司在上海证券交易所 A 股市场上市(浦东金桥,600639);同年5月,在B股市场挂牌(金桥 B股,900911)。上市30 多年来,公司抓佳浦东开发开放契机,依托上市公司的品牌优势、资金优势,积极承担上海金桥自由贸易试验区范国内的开发建设、招商引资、产业发展和载体运营管理着力打造产城融合的示范园区。2015 年6月,按照浦东新区国资国企改革要求,金桥股份作为首批改革试点企业之一,成为浦东新区直属企业。

展望末来,金桥股份将按照“新兴城区开发运营商”的总体定位,深耕金桥、走向市场,不断巩固和提升国有上市公司的地位和作用,将金桥开发区建设成为宜居宜业的现代化城区。

【碧云澧悦】项目打造了清一色的总高11-14层的高层社区,容积率仅1.8,拥有疏阔楼间距,与市面上高层新房普遍容积率2.2-2.5相比,更大程度上拉开了楼间距,优化视野和采光,居住体验更加舒适!
示意图,仅供参考

社区大门完全区分人行、车行入口,人行入口采用石材与玻璃搭配设计,大气恢弘!门厅景观水院精致高级,入户仪式感满满!


示意图,仅供参考
车行入口也设计了保安门岗,业主驾车入库安全有保障!车库地下入户大堂也是设计感十足!

示意图,仅供参考

项目精心规划“一环一轴三园”,于建筑中另辟一方天地,以绿意包裹整个小区,打造绿氧环绕的公园住区。漫步在花园小径,呼吸新鲜氧负离子,在自然中享受阳光微醺和清新绿意,在生机盎然中安享静谧。


用极简主义描摹生活美学概念打造项目外观,在上世纪的德国建筑大师密斯·凡德罗,“Less is more.”的极简主义审美驱动下,项目规划以简约流线型线条为主脉络,框体结构搭配层叠横向线条,辅以庄重典雅的淡色玻璃,从而营造隐而不喧的优雅色彩,简约的设计更能呈现丰富的内涵,细节的掌控凸显匠心的品质。


奢阔空间绘就品质人居:公园住区,因低密而愈加纯粹,项目以1.8的低容积率,塑造低密人居空间的舒适尺度,疏阔的楼间距,邀阳光与风景入席,避免楼宇间贴合感,推窗即风景,给予生活更多留白。


产品方面,项目规划建面约93-165㎡四种主力户型,家族的生活奢想在此皆有可能。项目二期加推394套房源!
U形厨房设计,动线合理,煎炒烹炸空间充足。
客、餐厅联通绰约尺度阳台,促进家人间沟通交流。
主卧套房设计,隐私性较好,飘窗设计更有效延申室内空间,也可以作为休闲区域使用,收纳空间设计的也比较充足,切实考虑年轻人买买买的购物习惯。
双次卧均设计了衣帽收纳空间,居住舒适度较高。
270度转角阳台更是设计了洗衣空间,非常实用!
入户玄关设计有效隔离室内外空间,增添归家仪式感,玄关处还设计了收纳空间,细节满满!
次卫三段式分离设计,干湿分离的同时还能有效避免使用冲突,可见开发商的匠心考虑。
动静分区设计;主卧套房设计隐私性更强;在玄关、厨房、卫浴等功能区域,充分考量生活场景细节,随时随地满足收纳所需,细节满分!
此户型可以说是改善人群非常喜欢的户型,建面约135㎡3房2厅2卫设计,动静分区,四开间朝南,各空间尺度奢阔,还有一个超大面宽的景观阳台,实现功能性和舒适度兼得。
已关注
关注
重播 分享 赞
关闭
观看更多
更多
退出全屏
切换到竖屏全屏退出全屏沪上好房已关注
分享视频
,时长02:13
0/0
00:00/02:13
切换到横屏模式 继续播放进度条,百分之0
播放
00:00
/
02:13
02:13
全屏
倍速播放中
0.5倍 0.75倍 1.0倍 1.5倍 2.0倍 超清 流畅
您的浏览器不支持 video 标签 继续观看
浦东科创芯 5.6万/㎡抢占张江南 | 碧云澧悦低密公园住区热销中!附官方预约通道!
观看更多
转载
,
浦东科创芯 5.6万/㎡抢占张江南 | 碧云澧悦低密公园住区热销中!附官方预约通道!
沪上好房已关注
分享点赞在看已同步到看一看写下你的评论
视频详情
装修标准参考:
外立面:真石漆+少量铝板+格栅+金属包边+楼顶光伏板、没有连廊
阳台门窗:三玻两腔、未封阳台
三大件:中央空调、地暖、没有 新风
客厅:岩板背景墙
入户:玄关柜
厨房:西门子(抽烟烟机 燃气灶 烤箱)、吊柜、底柜、操作台
卫生间:台盆柜、镜面柜、杜拉维特马桶、汉斯格雅花洒(具体交付标准以预售合同为准)
项目区位配套
【碧云澧悦】项目位于浦东周浦镇,在《上海市浦东新区国土空间总体规划(2017-2035)》中,再次重点强调了周浦的定位:至2035年,发展成为凝聚科创力量,充满人文气息的“魅力小上海”,依托张江科学城,形成以医疗服务、电子商务和时尚创意为主导产业,宜居宜业的综合型城镇。


【交通配套方面】:距离16号线周浦东站约1.8公里、18号线繁荣路站约2.6公里。

【商业配套方面】:3km范围内有万达广场,小上海步行街,绿地缤纷广场,印象生活广场等商业中心。

【教育资源方面】:澧溪幼儿园、傅雷幼儿园、澧溪小学、周浦第二小学、周浦实验学校、澧溪中学、傅雷中学、进才繁荣实验中学等教育配套。(项目周边的幼儿园、小学、中学等教育设施(如有)是城市公共生活配套的重要组成部分。本项目销售过程中,部分展示与介绍可能涉及项目周边已有或规划中教育设施,但并非项目所在的学区,本项目不承诺任何学区,介绍此信息旨在帮助客户更全面的了解项目周边条件,并不代表我公司对此提供保证。)
【医疗资源方面】:浦东新区周浦医院,周浦社区医院,国龙医院,上海中医药大学附属龙华医院(在建)。
【休闲娱乐方面】:周浦文化公园,周浦体育中心已经运营,憩园,周浦花海,浦江郊野公园。
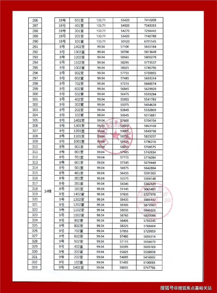
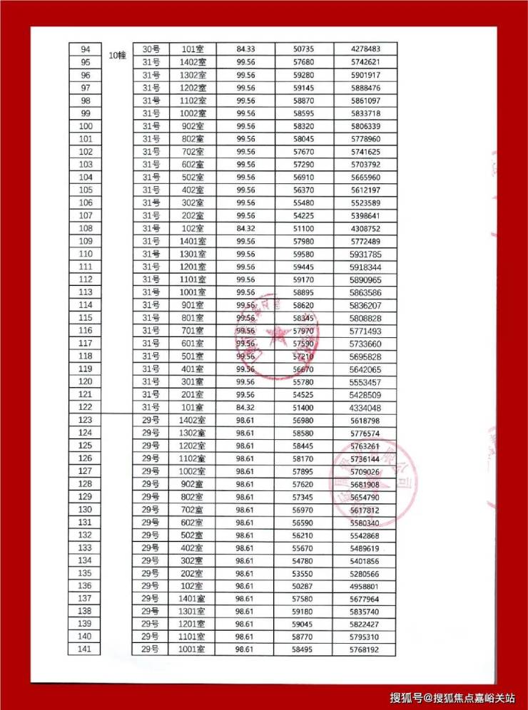
项目一房一价表▼
金桥碧云澧悦售楼处电话:400-8874-108✔【已认证】
金桥碧云澧悦营销中心电话:400-8874-108✔✔【已认证】
上海金桥碧云澧悦官方售楼处电话:400-8874-108 VIPLINE✔✔✔【已认证】
如有问题可来电咨询,线上售楼中心,预约销售专员,一对一为您服务!
想了解金桥碧云澧悦更多信息?拨打售楼处营销中心热线:400-8874-108 (中介勿扰)【24小时热线】
楼盘项目全面介绍,本电话为开发商提供线上预约售楼电话,楼盘项目全面介绍(包含楼盘简介,均价,房价,现房,期房,别墅,叠墅,大平层,价格,楼盘地址,户型图,交通规划,备案价,备案名,项目配套,样板间,开盘时间,认筹时间,楼盘详情,售楼处电话,最新消息,最新详情,周边配套,一房一价,最新进展等详情咨询)楼盘详情丨价格丨更多优惠丨机不可失丨欢迎致电丨诚邀品鉴!售楼处位置丨特价房丨工抵房丨剩余房源丨户型图丨最新消息丨免责声明:将文章内容综合来源于网络、只作分享,版权归原作者所有!!如有侵权,请联系我们,我们第一时间处理如有问题欢迎来电咨询,专业一对一热情服务,让您用专业眼光去买房.如果您想了解更多楼盘详情,欢迎提前预约拨打
对于很多非房地产行业且不太了解上海市场的普通人来说,很容易把“上海的房子”与“豪宅”画等号。
上海的高端市场确实在全国范围内有一定的引领作用,一直都有着非常强劲的韧性,在各大媒体宣传上也经常出现各种与上海豪宅有关的新闻。
然而从上海整体市场来看,豪宅及顶豪市场只是其中的一部分,在上海仍有大量的普通购房者。甚至,从整体市场来看,普通购房者才是主流。
CRIC数据显示,2017年至今,上海一二手房成交套数的比值一直在1:3左右,也就是说每卖1套一手房就有3套二手房成交。从成交套数来看,二手房占据绝大多数。与此同时,虽然一手房经常出现较高成交价格,但上海二手房套均总价一直在300多万元/套,2025年一季度上海二手房套均总价为352.56万元/套。
即从整体市场来看,300万左右的二手房才是上海买房的大多数。
从成交来看,这个价格段的二手房主要为市区“老破小”及郊区相对较大、较新项目,其中“老破小”从2024年起开始成为年轻人的“新宠”。
上海的房地产市场较为成熟,一直以来市场成交以二手房为绝对主力,新房成交规模占比一直都在30%左右。
从历史数据来看,2017年至今,一手房成交套数占上海一二手房整体规模的24.62%,除了2022年至2023年受“三价就低”及一手房集中供应等影响,一手房成交套数占比有所回升之外,其余基本都在25%以内。
从成交价格来看,2017年至今上海二手房套均成交总价都在300多万,其中2025年前3月价格最高,套均总价352.56万元。
这一数据与很多网络上的信息以及对上海市场不太了解的网友们的“直觉”有较大差距,对很多非房地产行业且不太了解上海市场的普通人来说,上海似乎“遍地豪宅”“动辄千万起”“一个卫生间都买不起”……
事实上,很多人对上海市场的误解主要受上海中高端新房市场影响,上海商品房市场发展较早,如今的上海新房主要以“改善型”需求为主,其中还有不少“再改”“终改”等需求。
CRIC数据显示,2017年至今上海一手房套均成交总价大多在600万以上,其中2025年前3月价格最高,套均总价956.17万元/套。上海的新房市场受供应结构影响较大,2024年至今高端项目集中入市,其中不乏多个核心区域风貌别墅项目,因此推动了整体一手房市场的套均总价。但从成交套数来看,与上海一二手房整体成交相比,数量极少。
聚焦到二手房来看,上海总价500万元/套以下的成交占80%以上;300万元/套以下的成交占比在60%以上;总价200万元/套以下的成交占30%以上。且2024年至今总价500万元/套以下的成交占呈下降趋势,总价200万元/套的占比有一定的上升趋势。
这说明上海二手房成交开始出现两头趋势,一方面较高总价成交占比上升,另外一方面则是200万以下低价房源成交占比提升。这也与近年来整体市场房价下行有较高关联度。
从面积段来看,2017年至今上海二手房总成交中小于90平方米的房源占比约70%。细分到不同面积段来看,70平方米以下的占约40%,50平方米以下的占约18%。
2025年前3月上海二手房成交中50平方米以下房源占约16.57%,也就是说2025年至今每卖出6套二手房,就有1套为50平方米以下的“老破小”。
聚焦到具体成交上来看,2024年全年成交前20的项目中仅中远两湾城和仁恒河滨城套均总价较高,其余房源大多为总价300万元/套以内,建筑年代在2000年以后的郊区房源。这些房源中约一半的面积小于70平方米。
当我们集中到上海核心区域(静安、普陀、杨浦、黄浦、虹口、长宁、徐汇)之后,建筑年代及房源面积出现明显变化。
除中远两湾城之外,大部分建筑年代都在1990年前后,套均面积也在50平方米左右。上海外环内大部分“老破小”都呈现这样的特征。
谢先生家住共康四村,他家小区在“上海核心七区2024年二手房成交TOP10”中排第三,达142套。
“首先,我们小区在上海人眼里不算静安区,属于彭浦新村,是老闸北,这也是性价比高的主要原因之一,说么是静安,但和老静安还是有点差距的,我们都出中环了。但是周边各种还是比较方便的,去市区很多地方都挺近,算是一个优势。我们小区流动性一直挺好的,也不是这几年的事,就一直都挺好的。我们是‘美丽家园’小区的示范单位,可能和边上其他老小区相比改造的稍微好一点吧。”谢先生告诉我们,这几年共康四村价格其实跌了很多,尤其是2024年明显下跌,“主要还是实惠。”
CRIC数据显示,2021年至今共康四村成交均价从41782元/平方米跌至34386元/平方米,跌幅达17.7%,套均总价从212.89万元/套跌至184.04万元/套。
一方面是价格明显下跌,另外一方面是较高的高租售比。
以谢先生家共康四村为例,目前一套53平方米左右的一居室整租价格约3500元/月,成交价为182.41万元/套,租金回报率达2.3%,已超过四大行定期存款利率。
贝贝在2025年买入“老破小”,原因是因为她不准备结婚了,“我已经35岁了,算是大龄剩女了,至今也没有找到合适的对象,所以我拿父母原本准备的‘嫁妆’买了一套杨浦‘老破小’,首先是我一个人住不需要太大,其次是市区热闹人多,各种配套都齐,出门溜达一下啥都有,看病上班全部都很方便,这给我很大的安全感。”
中国统计年鉴数据显示,2020年全国共有家庭户近5亿户,其中“一人户”家庭超过1.25亿户,占全国户口总数的25%。
除去人口老龄化的原因之外,另一个重要的因素是选择独居的中青年越来越多。总价低、位置好、通勤近、配套成熟、就医方便的“老破小”成为了像贝贝这样的独居人士的选择。
至于房屋质量及居住环境问题,贝贝告诉我们一方面在买的时候她会提前考虑,另外一方面像共康四村这种上海“美丽家园”建设小区已经越来越多,未来“老破小”可能与以前的“老破小”越来越不一样。
*本文受访者皆为化名
需要注意的是,在我们整理数据的过程中,发现2024年5月是一个重要节点,“527政策”利好非沪籍单身人士购房,购房区域扩大至外环外(崇明区除外)及外环内二手住房。(详见:新“沪九条”稳定上海楼市预期)
此后上海二手房成交出现明显提升,从2024年5月的17099套提升至6月的23906套,随后整体市场出现调整,在“929政策”之后上海二手房成交套数整体迈入“2”字头,2024年10月至2025年3月,除春季期间其余各月都在2万套以上。
正是在这样的背景下,上海“老破小”出现了一波行情。但从各年度面积段及总价段细分来看,上海二手房市场“老破小”占比仍呈下降趋势。
整体来看,近年来真正保持正常交易价格及流动性的房子大多都首先满足“适合居住”这一先决条件,因此在选择入手之前,首先需考虑是否真正符合“自住”需求。